Making Sense of Restframe MidUV Spectra of Galaxies


![Age(z, zf) Age(MSTO Teff, [Fe/H]) Mg. UV l>3500<8000 log. Z -2. 0 -1. 5 Age(z, zf) Age(MSTO Teff, [Fe/H]) Mg. UV l>3500<8000 log. Z -2. 0 -1. 5](https://slidetodoc.com/presentation_image_h2/7631272dcc6772e4ae6b9ff37d844373/image-3.jpg)




![The spread in Teff increases with lower metallicities Isochrone log g [Fe/H]=0 [Fe/H]=-1. 01 The spread in Teff increases with lower metallicities Isochrone log g [Fe/H]=0 [Fe/H]=-1. 01](https://slidetodoc.com/presentation_image_h2/7631272dcc6772e4ae6b9ff37d844373/image-8.jpg)


























- Slides: 34
Making Sense of Restframe Mid-UV Spectra of Galaxies Using Hubble’s Next Generation Spectral Library Sally Heap, NASA/Goddard Granada, 3 Oct 2007 BC 03 GOODS K-band mosaic Daddi et al. 2005
The major spectral diagnostics, Mg. UV, D 4000, and Hd are all visible in the spectra of galaxies at z~0. 4 -1. 0 z=
Age(z, zf) Age(MSTO Teff, [Fe/H]) Mg. UV l>3500<8000 log. Z -2. 0 -1. 5 -1. 0 -0. 5 +0. 5
z~1 galaxies • oldest stars <6 Gyr • wide spread in restframe B-V • restframe near-UV comes into view z=0. 36 z=0. 62 z=1. 0 z=1. 7 De Lucia & Blaizot 2006, astro-ph
The Mid-UV (2000 -3000 Å) flux is produced mainly* by MSTO stars, the clock for stellar evolution Hottest stars =MSTO Dealing with MSTO stars simplifies things greatly: • Observed spectrum looks like that of a single F-type MS star • Modeling of the atmosphere and spectrum is easier for MS F-type stars • Modeling of the interior structure is easier for F-type MS stars.
* Except that blue HB stars may contaminate the UV spectrum of very old, metal-poor stellar populations Blue HB
At z~1, blue HB stars should not be a problem
The spread in Teff increases with lower metallicities Isochrone log g [Fe/H]=0 [Fe/H]=-1. 01 [a/Fe]=0. 3 Teff V-R isochrones
The primary mid-UV feature is Mg. UV (composed of Mg. II, Fe. II, etc. ) BC 03 models Kurucz library HST UDF Daddi et al. 2005
The Mg. UV feature can distinguish between a dusty, star-forming galaxy and an older, passively evolving galaxy but it cannot tell its age because of the age-metallicity degeneracy. Can we do better? BC 03 Models of the Evolution of Mg. UV Adapted from Daddi et al. 2005
Line blanketing, especially in the UV, distinguishes high-metallicity stars Can UV colors help?
Problems with Spectral Models: Assumption of LTE, Missing Opacities B 2640 Munari Castelli Mg. II 2800 Mg. I 2850 Chromospheric Emission
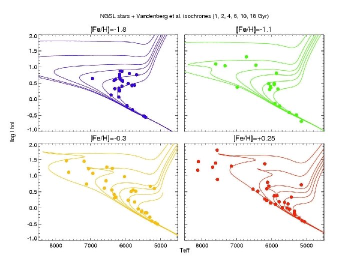
Next Generation Spectral Library HD 16031 HD 2665 (G 5 IIIw) Teff=5004 Teff log g=2. 27 log. ZZ= -1. 96 ELODIE log g log 6341 6114 FEATURES 4. 19 4. 07 -1. 12 (this study) -1. 79 (Clem et al. 2004) BENEFITS Wide l coverage: 0. 2 -1. 0 m Define new spectral indices; get wide-baseline SED, colors Absolute flux calibration Do wide-band spectrophotometry; measure spectral breaks Moderate spectral resolution Measure spectral indices, Check model spectra Large number of program stars: 378 312 are good observations 248 have good fits to their spectra Trace systematic trends of spectral indices
Estimating the Stellar Parameters: Teff, logg, log. Z, E(B-V) • Set up: • Resample STIS spectrum to resolution of Castelli’s models • Normalize observed & model spectra over 0. 4 -0. 7 m • Make c 2 fit to spectrum (Dl=0. 20 -1. 00 m) for Teff, log. Z, and E(B-V) • Determine Lv range corresponding to V, p, ep • Calculate Lbol from BCv(Teff, log. Z, E(B-V)) • Derive possible ilogg from comparison with V-R evolutionary models ilogg cube (DT x DL x DZ) • Make c 2 fit for Teff, logg, log. Z, and E(B-V) with wt =1 for l=0. 2 -1. 0 m, and wt =10 for Mgb wt = 0 for Mg. II and Ca. II resonance lines
The most important stars for the UV-blue spectrum have Teff=5000 -8000 K, log g ~ 3. 8 -4. 5 Flux Contributions to stellar population at 6 Gyr, [Fe/H]=0
Mid-UV colors are good distinguishers of metallicity among MSTO stars having similar line spectra 2500 2600 2700 2800 2900 3000
BC 03 Predictions
Even fine spectral analyses have their uncertainties! (1)
Even fine spectral analyses have their uncertainties! (2) Log g. SME – iso log g ~ +0. 1 Valenti & Fischer 2005
log g MSTO stars can have the same Teff and log g but very different ages if they have different metallicities Teff
MSTO
0. 1 0. 3 10 Gyr