La chimica di alcoli e tioli Gli alcoli
































- Slides: 32
La chimica di alcoli e tioli
Gli alcoli e gli eteri devono essere attivati perchè possano andare incontro a reazioni di sostituzione o di eliminazione Nel caso degli alcoli, occorre trasformare il gruppo OH- in un buon gruppo uscente
Non danno reazione di eliminazione in ambiente basico
In ambiente acido danno reazione di eliminazione La disidratazione
E’ una reazione E 1. E’ il processo inverso all’idratazione degli alcheni. Stadio lento la formazione del carbocatione
Gli alcoli terziari sono i più reattivi. Il prodotto principale è l’alchene più sostituito
Attenzione ai riarrangiamenti
Reazione con acidi alogenidrici
I secondari reagiscono solitamente via SN 1 Possono avvenire trasposizioni
E’ necessaria sempre la protonazione del gruppo OH
Per gli alcoli secondari e terziari, il secondo stadio è la formazione del carbocatione
Disidratazione e trasformazione in differiscono per il destino del carbocatione alogenuri
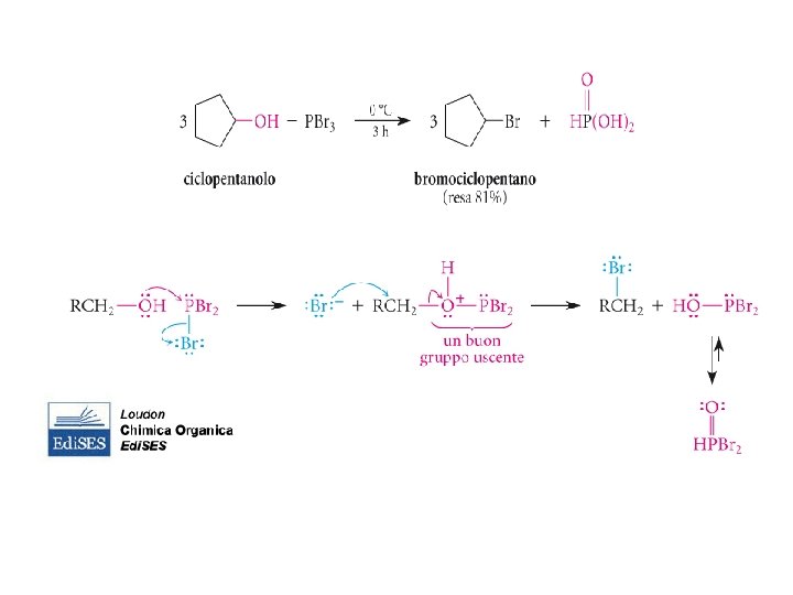
Reazione con cloruro di tionile e PBr 3 Utile metodo per la conversione di alcoli 1 in alogenuri alchilici
Substrato Cloruro Bromuro Ioduro Primario SOCl 2 + pyr PBr 3 P + I 2 oppure HI Secondario SOCl 2 + pyr PBr 3 + pyr P + I 2 Terziario HCl 0 °C HBr 0 °C HI 0 °C Con SOCl 2 e PBr 3: SN 2 quindi inversione di configurazione
E’ una semireazione di ossidazione E’ una reazione di riduzione alla molecola organica
Per ossidazione e riduzione s’intende l’aumento rispettivamente, del numero di ossidazione di un atomo o la diminuzione, Un’ossidazione è sempre accoppiata a una riduzione Formalmente, l’ossidazione è una perdita di elettroni e la riduzione un acquisto di elettroni In Chimica organica, è più comodo riferirsi al numero di atomi di idrogeno e di ossigeno acquistati o peduti da un atomo; in particolare: Un’ossidazione comporta un aumento del numero di atomi di ossigeno (o N o X) e/o una diminuzione del numero di atomi di H Una riduzione comporta una diminuzione del numero di atomi di ossigeno (o N o X) e/o un aumento del numero di atomi di H
L’addizione di Br 2 al doppio legame è una reazione di ossidazione L’addizione di H 2 O non è una redox!!!!
Si usa per ossidare gli alcoli 1° ad acidi carbossilici
Ossidazione di alcoli primari ad aldeidi: PCC = Clorocromato di Piridinio
Ossidazione con KMn. O 4
L’ossidazione avviene allo zolfo!!!!