Eddig csak kvali volt Kvantitatv proteomika 1 a














- Slides: 14
Eddig csak kvali volt. . . Kvantitatív proteomika 1) a frakcionálás szintjén Pl. 2 D gélek összehasonlítása vizuálisan, komputer programokkal, differenciál festéssel 2) az MS-analízis során
Az MS NEM kvantitatív módszer * a különböző molekulák nem egyformán detektálhatók pl. különböző peptidek relatív intenzitása nem tükrözi relatív mennyiségüket * nem minden komponenst detektálunk az elegyekből
Hogy lehet ezt legyőzni? csak nagyon hasonló peptidek relatív intenzitását vethetjük össze! 1) Jelöljünk két sejt-populációt hasonlóan, de megkülönböztethetően! 2) Keverjük össze az összes fehérjét! 3) A keveréket emésszük, analizáljuk! És így kvantizhatunk!
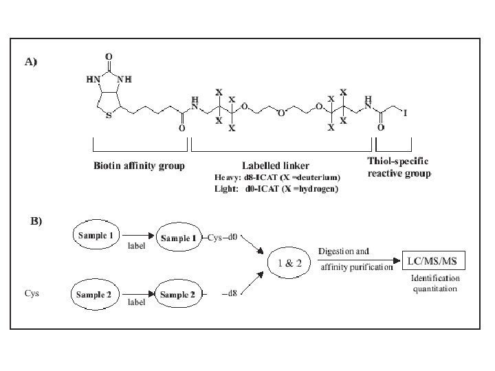
Hogyan jelölhetünk? • ICAT (Isotope-Coded Affinity Tags) – Cys-oldalláncának alkilezése, könnyű (H 8) és nehéz (D 8) alkil-csoporttal → amiben nincs Cys, az kiesik → a deuterált vegyület retenciós ideje kicsit hosszabb azonosítás: MS-MS alapon kvanti: MS-alapon relatív intenzitásokból ingadozás: van az 30% is!
Hogyan jelölhetünk? • SILAC (Stable Isotope Labeling with amino acids in Cell Cultures) C 13, N 15, O 18 tápanyaggal visszük be – jelölt aminosav → Olyat kell választani, ami nem alakulhat át más aminosavvá, illetve nem szintetizálódik a sejtben Tripszines emésztéshez Arg a menő! a keveréket frakcionáljuk, emésztjük, analizáljuk azonosítás MS-MS alapon kvanti a relatív intenzitásból
Hogyan jelölhetünk? • tripszines emésztés H 2 O 18 -ban Két oxigén lép be, minden peptid jelölődik Rengeteg információ Még a szekvenálás is könnyebb, a Cterminális ionok csúsznak DE beszárítás a normál emésztés után, hosszú enzimes inkubáció. . . → veszteségek, nem specifikus hasítások
Hogyan jelölhetünk? • i. TRAQ ™ (Applied Biosystems) Nagyon ravasz jelölés! • amino-csoportra (N-terminus, Lys) • 4 -féle stabil izotópos szerkezet, azonos additív tömeggel, de különböző fragmensekkel (m/z 114, 115, 116, 117) azonosítás és kvanti az MS-MS adatokból!
i. TRAQ jelölés Ø 4 mintát kvantitatíve megkülönböztetni. ØMinden peptidet jelöl, a módosítottakat is ØEgyszerű a mintaelőkészítés ØJelnövelő hatású (szuperponálódik a 4 -féle jel) Ø 20%-nál kisebb standard deviáció ØJobb minőségű CID spektrumok ØPoszt-transzlációs változásokat is lehet így mérni! DRÁGA Ross et. al. MCP 2004
Mi ebből a tanulság? / Take home message • Ha biológus vagy → eredj programozást és statisztikát tanulni • Ha matematikus vagy → irány a biológia • Ha proteomikával akarsz foglalkozni → tömegspektrometria sem árt
Mi ebből a tanulság? / Take home message • Mennyiben lehet biológiai folyamatokat statisztikailag/matematikailag leírni? • A komputer gyors, nem hibázik, „tanulékony”, de hülye. . . • Mi emberek ellenben képesek vagyunk felismerni a váratlant, az újat – feltéve, hogy használjuk az eszünket. .
Minta kérdések • Mitől függ, mennyire jó egy adatbázis? • Mi az oka, hogy nincs tökéletesen működő adatbázis-lekereső szoftver? • Miért van szükség proteomikára? • Miért kell „jelölni” kvantitatív proteomikában? • Miért előnyös egy olyan jelölés, ami minden peptidet módosít? És valóban módosít-e minden peptidet?
Hasznos web-oldalak Protein. Prospector – http: //prospector. ucsf. edu MS-BLAST - http: //dove. emblheidelberg. de/Blast 2/msblast. html BLAST - http: //www. ncbi. nlm. nih. gov/BLAST/ European Bioinformatics Institute http: //www. ebi. ac. uk/ Szekvencia-összehasonlítás – http: //www. ebi. ac. uk/clustalw/index. html MS kezdőknek - „What is mass spectrometry” www. asms. org