Devre ve Sistem Analizi Neslihan Serap engr Elektronik

  • Slides: 10
Download presentation
Devre ve Sistem Analizi Neslihan Serap Şengör Elektronik ve Haberleşme Müh. Bölümü, oda no:

Devre ve Sistem Analizi Neslihan Serap Şengör Elektronik ve Haberleşme Müh. Bölümü, oda no: 1107 tel no: 0212 285 3610 sengorn@itu. edu. tr Ali Özkahraman Elektronik ve Haberleşme Müh. Bölümü, oda no: 3109 tel no: 0212 285 3504 ozkahraman@itu. edu. tr 23 – 24 Mart ve 13 Nisan haftası ile ~Mayıs 21 sonrasında yokum 17, 24 Şubat ve 2, 9, 16 Mart ‘da dersler saat 16: 00’da bitecek. 13 Nisan’da problem çözülecek.

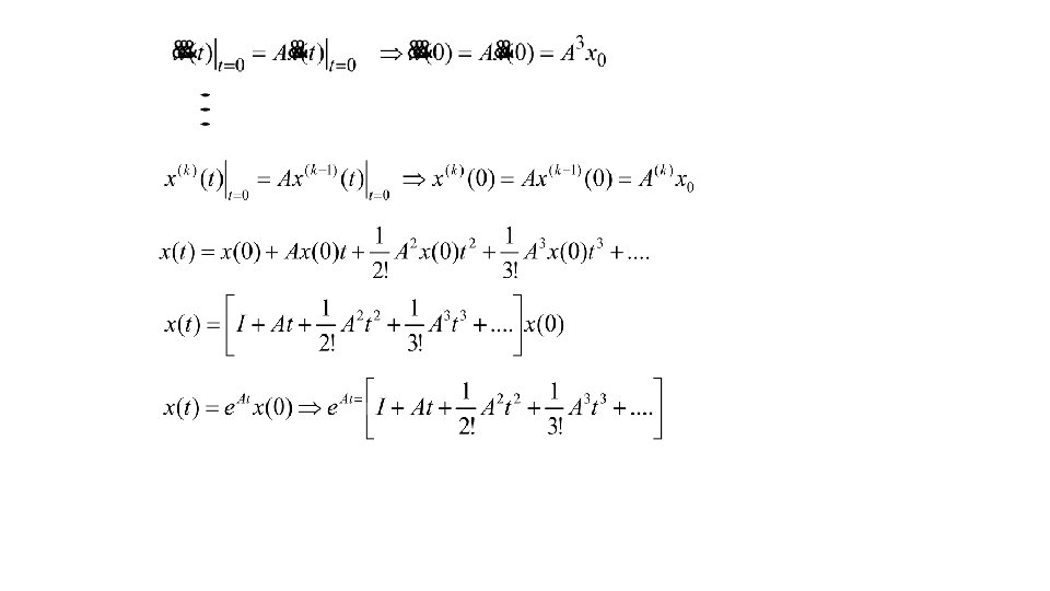
Hesaplama Yöntemleri 1 - Seriye Açma civarında ‘nin Mac. Laurin açılımı: ‘yi belirlemek için

Hesaplama Yöntemleri 1 - Seriye Açma civarında ‘nin Mac. Laurin açılımı: ‘yi belirlemek için Hatırlatma bilmek gerekli

Bir örnek: A matrisine ilişkin matrisini hesaplayınız.

Bir örnek: A matrisine ilişkin matrisini hesaplayınız.

2 - Jordan Kanonik Yapısı Hatırlatma Elemanter işlemler: (1) Satır (Sütun) değiştirme (2) Satır

2 - Jordan Kanonik Yapısı Hatırlatma Elemanter işlemler: (1) Satır (Sütun) değiştirme (2) Satır (Sütun)’u bir sabit ile çarpma (3) Satır (Sütun ) toplama Elemanter işlemler sonucunda rank değişmez. Benzerlik dönüşümü ile matris özel bir yapıya getirilecek

Dönüşümü nasıl belirleyeceğiz? P’nin sütunları özvektörlerden oluşuyor 1) özdeğerler katsız: sağlayan 2) ‘ler belirlenecek

Dönüşümü nasıl belirleyeceğiz? P’nin sütunları özvektörlerden oluşuyor 1) özdeğerler katsız: sağlayan 2) ‘ler belirlenecek özdeğerler m katlı: m tane özvektör bulunmalı özvektör (1)’deki gibi bulunur. ise m tane lineer bağımsız özvektör genelleştirilmiş özvektör hesaplanarak bulunur. .

Peki nasıl hesaplanacak? Özdeğerler ayrık ise: Özdeğerler katlı ise:

Peki nasıl hesaplanacak? Özdeğerler ayrık ise: Özdeğerler katlı ise:

Bir örnek: a) b) c) Jordan kanonik yapılarını belirleyiniz.

Bir örnek: a) b) c) Jordan kanonik yapılarını belirleyiniz.

Bir örnek: a) b) Verilen A matrislerine ilişkin matrislerini hesaplayınız.

Bir örnek: a) b) Verilen A matrislerine ilişkin matrislerini hesaplayınız.

3 - Laplace Dönüşümü Ön bilgi: Laplace dönüşümü Tanım: için sürekli ya da parça

3 - Laplace Dönüşümü Ön bilgi: Laplace dönüşümü Tanım: için sürekli ya da parça sürekli bir fonksiyon olsun, koşulunu sağlıyorsa ‘nin Laplace dönüşümü aşağıdaki bağıntı ile tanımlanır: ile Pierre-Simon, marquis de Laplace 1749 -1827 ‘nin Laplace dönüşümünü ile ters Laplace dönüşümünü belirteceğiz