Devre ve Sistem Analizi Neslihan Serap engr Elektronik



















- Slides: 19
Devre ve Sistem Analizi Neslihan Serap Şengör Elektronik ve Haberleşme Bölümü, oda no: 1107 tel no: 0212 285 3610 sengorn@itu. edu. tr
Ders Hakkında • 1 Yarıyıl içi sınavı 14 Nisan 2014 • 3 Kısa sınav 3 Mart % 30 24 Mart 5 Mayıs • 1 Ödev ve küçük sorular % 30 +10 • Yarıyıl Sonu Sınavı % 40 Ders notlarına ve ders ile ilgili bazı dökümanlar erişmek için Ninova – ELE 232 - Dersin kaynakları http: //ninova. itu. edu. tr/tr/dersler/elektrik-elektronik-fakultesi/1229/ele-232/ekkaynaklar? g 326261 Ninova – ELE 232 - Dersin kaynakları http: //ninova. itu. edu. tr/tr/dersler/elektrik-elektronik-fakultesi/4647/ehb-232/ekkaynaklar? g 469199 FİNAL SINAVINA GİRMEYE HAK KAZANMAK İÇİN YARIYIL İÇİ DEĞERLENDİRMELERİNDEN EN AZ ? ? ALMAK GEREKMEKTEDİR.
Kaynaklar: Yılmaz Tokad, “ Devre Analizi Dersleri” Kısım II, İ. T. Ü. Yayınları, 1977. Yılmaz Tokad, “ Devre Analizi Dersleri” Kısım IV, Çağlayan Kitabevi, 1987. Cevdet Acar, “Elektrik Devrelerinin Analizi” İ. T. Ü. Yayınları, 1995. L. O. Chua, C. A. Desoer, S. E. Kuh. “Linear and Nonlinear Circuits” Mc. Graw Hill, 1987, New York ( İşlenen Bölümler: 9, 10, 11, 13) M. Jamshidi, M. Tarokh, B. Shafai. “Computer-Aided Analysis and Design of Linear Control Systems”, Prentice Hall, 1992 ( İşlenen Bölümler: 2, 3) Okuma önerisi: R. M. Pirsig, «Zen ve Motosiklet Bakım Sanatı» , Ayrıntı yayınevi, 4. baskı, 2002.
Motosiklet Bileşenler Güç Grubu Devinim Grubu İşlevler
Sistem http: //www. herbalremediesadvice. org/structure-of-the-nervous-system. html http: //bpastudio. csudh. edu/fac/lpress/vbmodules/hdts/computer. Components. htm http: //windows. microsoft. com/en-us/windows/computer-parts#1 TC=windows-7
Sistem Toplu Parametreli Stokastik Dağılmış Parametreli Deterministik Ayrık zaman Sürekli zaman Lineer olmayan Lineer Zamanla değişen Zamanla değişmeyen
Elektrik Devrelerinin Temelleri dersinde neler öğrendiniz? Amaç: Fiziksel devrelerin elektriksel davranışlarını öngörme akım ve gerilim Devre Teorisinde. Tanımlanmamış Büyüklükler : akım ve gerilim Devre Teorisinin Aksiyomları: Toplu parametreli, KAY, KGY Eleman Tanım Bağıntıları: Lineer ve lineer olmayan direnç elemanları, Kapasite, Endüktans Lineer zamanla değişmeyen devrelere özgü yöntemler: Düğüm gerilimleri, çevre akımları Bazı Teoremler: Tellegen Teoremi, Toplamsallık ve Çarpımsallık, Thevenin ve Norton Teoremleri Dinamik Devreler ve Çözümleri
Durum Denklemleri Hatırlatma durum değişkenleri - kapasite gerilimleri, endüktans akımları çıkış büyüklükleri - ilgilen eleman akımları ve gerilimleri giriş büyüklükleri - bağımsız akım kaynağının akımı ve bağımsız gerilim kaynaklarının gerilimleri EDT dersinde n=2 için çözümler bulundu
2. Mertebeden Diferansiyel Denklemlerin Çözümü Hatırlatma Homojen kısım: Çözüm Tahmini belirlememiz gereken kaç büyüklük var? sıfırdan farklı çözümlerin olması nasıl mümkün olur? Karakteristik Denklem
Karakteristik denklemin kökleri: Belirlememiz gereken özvektör ‘e ilişkin özvektör özdeğerler Hangi uzayın elemanı? O uzaya ait neyi belirlersek aradığımızı bulmuş oluruz? ‘e ilişkin özvektör Özel çözüm: Temel Matris Nasıl belirleyeceğiz? Tam çözüm: Hatırlatma
Hatırlatma Durum Geçiş Matrisi öz çözüm zorlanmış çözüm
Yüksek Mertebeden Devrelerin Durum Denklemlerin Çözümü 2. Mertebeden Diferansiyel Denklemlerin Çözümü Temel Matris iki sütunu var ve her sütun lineer bağımsız ve çözüm Durum Geçiş Matrisi Durum Geçiş matrisi Ne yapmakta?
n. Mertebeden Diferansiyel Denklemlerin Çözümüne dönersek n sütunu n tane lineer bağımsız sütundan oluşmuş matris Temel Matris • Tersinir matris, • Diferansiyel denklemi sağlar, • Verilen ilk koşul için tek olarak belirlenir C tersinir matris Gerçekten çözüm mü, nasıl anlayacağız?
İlgilendiğimiz Sistemler Durum Geçiş matrisi Durum geçiş matrisinin özellikleri 1 -
2 - İlgilendiğimiz Sistemler Çözüm
İlgilendiğimiz Sistemler Yarsayım: * Yarsayımı yerleştirirsek * ve **’dan **
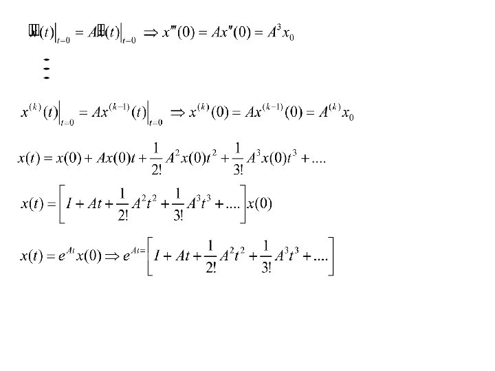
Lineer Zamanla Değişmeyen Sistemler için: Çözümü bulmak için ‘nin belirlenmesi gerekiyor.
Hesaplama Yöntemleri 1 - Seriye Açma civarında ‘nin Mac. Laurin açılımı: ‘yi belirlemek için Hatırlatma bilmek gerekli