Universidade de So Paulo Instituto de Fsica FSICA












- Slides: 12
Universidade de São Paulo Instituto de Física FÍSICA MODERNA I AULA 21 - EXERCICIOS Profa. Márcia de Almeida Rizzutto Pelletron – sala 220 rizzutto@if. usp. br 2 o. Semestre de 2018 Página do curso: https: //edisciplinas. usp. br/course/view. php? id=64495 22/10/2018
Partícula confinada em uma caixa retangular 2 0, se: – a/2 < x < a/2; – b/2 < y < b/2; V(x, y, z) = – c/2 < z < c/2 ∞ no resto do espaço o caso tridimensional Os autovalores de energia são dados em termos dos 3 nos quânticos (n 1, n 2 e n 3)
Degenerescência: diferentes estados apresentam a mesma energia FNC 0376 - Fisica Moderna 2 Aula 1 3
Curral retangular (2 D) z curral y Lx Ly x
Verificação Na notação da equação abaixo, a energia do estado fundamental do elétron em uma caixa retangular é E 0, 0 ; E 1, 0 ; E 0, 1 ou E 1, 1? nx, ny = 1, 2, 3, …
Caixa retangular (3 D) z Lz y Lx Ly x
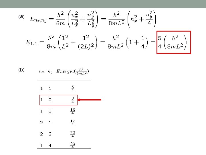
Exercícios e Problemas Um curral retangular de larguras Lx=L e Ly=2 L contém um elétron. Determine, em múltiplos de h 2/8 m. L 2, onde m é a massa do elétron, (a) a energia do estado fundamental do elétron, (b) a energia do primeiro estado excitado, (c) a energia dos primeiros estados degenerados e (d) a diferença entre as energias do segundo e do terceiro estado excitado.
Equação de Schröedinger para o átomo de H Para uma boa aproximação para a energia potencial do sistema elétron-próton : é eletrostática: O potencial depende somente da distância entre o próton e o elétron Este será o primeiro sistema que será necessário a complexidade total da Equação de Schroedinger em três dimensões. Massa reduzida
Forças centrais 11 Interação Coulombiana entre um elétron e o núcleo de um átomo Átomo de hidrogênio Agora é função das coordenadas r, q e f Coordenadas esféricas: (r, , ) e Relações entre coordenadas esféricas (r, , ) e cartesianas (x, y, z) ( ngulo polar) ( ngulo azimutal)
12 A eq. de Schrödinger em coordenadas esféricas Lembre-se que a dependência temporal é parametrizada por um autovalor da energia, E. Podemos, então, escrever a eq. de Schrödinger como: