Types of selection Cyclical environment Environmental state 1

  • Slides: 39
Download presentation
Types of selection Cyclical environment Environmental state 1 (summer) Environmental state 2 (winter) Directional

Types of selection Cyclical environment Environmental state 1 (summer) Environmental state 2 (winter) Directional Stabilizing Disruptive Interaction between species Host-parasite case Mutualistic case

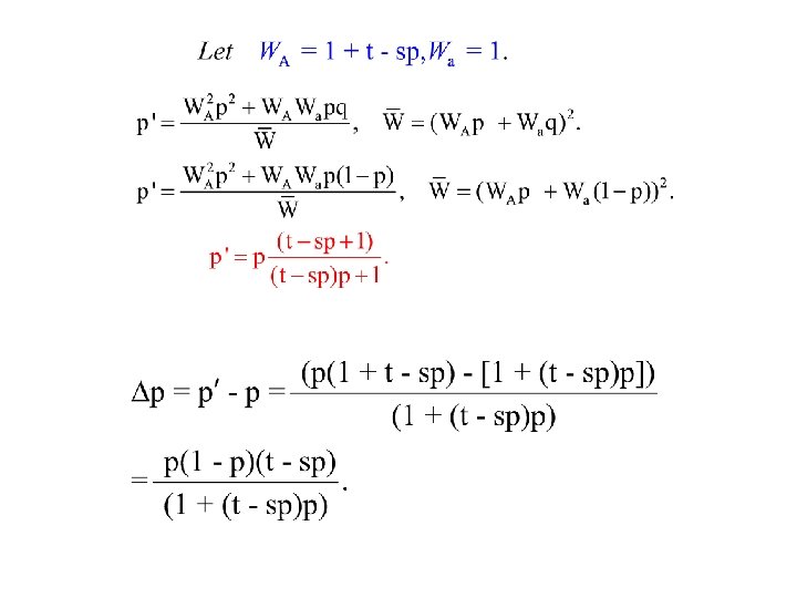
constant fertility selection

constant fertility selection

Simulation

Simulation

Frequency depended selection Simple lest case of frequency dependence: haploid selection

Frequency depended selection Simple lest case of frequency dependence: haploid selection

 Mean fitness is not maximize at this is stable le point Simulation

Mean fitness is not maximize at this is stable le point Simulation

Diploid frequency-dependent selection Simulation

Diploid frequency-dependent selection Simulation

Deterministic chaos

Deterministic chaos

In 1976 Sir Robert May, then a professor of biology at Princeton, pointed out

In 1976 Sir Robert May, then a professor of biology at Princeton, pointed out that the logistic map led to chaotic dynamics. The logistic mapping g is defined by xn+1 = g(xn) = rxn(1 - xn).

Why Chaos?

Why Chaos?

simulation

simulation

An bifurcation diagram

An bifurcation diagram

What is deterministic chaos? Lyapunov's exponents: Non-chaotic Chaotic divergence of the trajectories, started in

What is deterministic chaos? Lyapunov's exponents: Non-chaotic Chaotic divergence of the trajectories, started in closed points

Lorenz Attractor Tamari Attractor

Lorenz Attractor Tamari Attractor

 • KAM (Kolmogorov-Arnold-Moser) attractor

• KAM (Kolmogorov-Arnold-Moser) attractor

Fractal-geometrical chaos

Fractal-geometrical chaos

Fractals in Nature

Fractals in Nature

Mandelbroth set z = z^2 + c c [-2; 0, 25]

Mandelbroth set z = z^2 + c c [-2; 0, 25]

Notocactus-Magnificus

Notocactus-Magnificus

Chaos in Weather

Chaos in Weather

 • Fractals reproducing realistic shapes, such as mountains, clouds, or plants, can be

• Fractals reproducing realistic shapes, such as mountains, clouds, or plants, can be generated by the iteration of one or more affine transformations. An affine transformation is a recursive transformation of the type • • Each affine transformation will generally yield a new attractor in the final image. The form of the attractor is given through the choice of the coefficients a, b, c, d, e, and f, which uniquely determine the affine transformation. To get a desire shape, the collage of several attractors may be used (i. e. several affine transformations). This method is referred to as an Iterated Function System (IFS). • An example of an iterated function system is the black spleenwort fern. It is constructed through the use of four affine transformations (with weighted probabilities): •

Inbreeding • • Non-random mating (between related individuals) Leads to correlation between genotypes of

Inbreeding • • Non-random mating (between related individuals) Leads to correlation between genotypes of mates Frequencies are no longer products of allele frequencies Leads to reduction in heterozygosity (measured by F) AA p 2 + pq. F • Aa 2 pq - 2 pq. F aa q 2 + pq. F Can rederive evolutionary equations using these new genotype frequencies