Testy vznamnosti Karel Mach Princip podstata n n















- Slides: 15
Testy významnosti Karel Mach
Princip (podstata): n n Potvrzení HO Vyvrácení HO →přijmutí H 1 (HA) Ptáme se: ¨ 1. ) Pochází zkoumaný výběr (jeho x, s 2) z jednoho a téhož základního souboru? ¨ 2. ) Je rozdíl mezi dvěma, případně více statistickými soubory (x, s 2) náhodný, nebo je způsoben ošetřením? ¨ 3. ) Lze pohlížet na odlehlou (extrémní) hodnotu jako na hrubou chybu? Ošetření… v biometrickém (statistickém) pojetí
Obecný postup při používání testů významnosti 1. ) Volba hladiny významnosti, tzn. pravděpodobnost s jakou chceme vyvrátit Ho (přijmout H 1…alternativní hypotézu) α=0, 05…… 1 - α=0, 95…… 95%pp ¨ α=0, 01…… 1 - α=0, 99…… 99%pp ¨ α=0, 001…. . 1 - α=0, 99…… 99, 9%pp ¨ 2. ) Formulace HA(1) …alternativní hypotézy ¨ rozdíl např. mezi dvěma průměry je způsoben ošetřením, x 1 ≠ x 2 Formulace Ho (např. ): x 1 = x 2 ¨ rozdíl mezi průměry dvou statistických souborů není způsoben ošetřením; nýbrž náhodnými vlivy… rozdíl není statisticky průkazný
3. ) Interpretace výsledků ¨ kritické hodnoty testového kriteria jsou tabelovány ¨ postup: vypočítanou hodnotu testového kriteria porovnáváme s hodnotou kritickou pro příslušný počet pozorování a na požadované hladině významnosti
T(vyp. ) ≤ T (tab. ) Ho nezamítáme na zvolené hladině významnosti vliv ošetření nebyl prokázán, např. sledovaný rozdíl není statisticky významný (průkazný) n Zjištěná odchylka je náhodná n ¨ Účinek sledovaných faktorů (vliv „ošetření“ se neuplatňuje)
T(vyp. ) > T (tab. ) n n Ho zamítáme na zvolené hladině významnosti a přijímáme H 1 (alternativní) Sledovaný rozdíl je statisticky významný (průkazný) Zjištěná odchylka není náhodná, čili je (s určitou pp – 95%, 99%) způsobena příslušnými faktory, (ošetřením) atd. TP(0, 05) <Tvyp. ≤ TP(0, 01) ? !
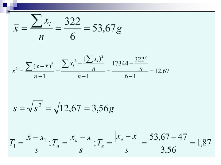
Test extrémních odchylek (Grubbsův test) n Hmotnost vajec ni 1 2 3 4 5 6 Σ 6 xi (g) 55 53 54 56 57 47 322 xi 2 3025 2809 2916 3136 3249 2209 17344
Jestliže T 1 (Tn, Te) > Tzvolená hladina významnosti P(0, 05); (0, 01)…zamítáme Ho Tabulka kritických hodnot pro Grubbsův test n T 1 = 1, 87 < T (6; 0, 01) …… 2, 130 ¨ T(n, α) ve výše uvedeném sledování… Ho nezamítáme n T 1 = 1, 87 < T (6; 0, 05) …… 1, 996 ¨ Hodnota 47 g ve sledovaném statistickém souboru ponecháme; patří do něho…Ho nebyla vyvrácena
Poznámka: n Kdyby 2, 130 ≥T 1>1, 996 ¨ Zamítli bychom Ho s 95% pp. (!!!ale ne s 99% pp. ) n Kdyby T 1>2, 130 … zamítli bychom Ho s 99% pp. (což pochopitelně znamená zamítnutí Ho se všemi pp. nižšími)
Interval spolehlivosti pro parametr μ (aritmetický průměr základního souboru) n V jakém rozmezí se pohybuje aritmetický průměr základního souboru ; tzn. hodnota μ, jestliže známe průměrnou hodnotu výběrového statistického souboru (x)?
Příklad: x = 8 králíků; sx = 0, 58 králíčat; n = 10 n Hrubý (orientační výpočet): ¨ Rozmezí n s 95% pp (P 0, 05): 8± 2*0, 58=6, 84 -9, 16 99% pp (P 0, 01): 8± 3*0, 58=6, 26 -9, 74 Přesnější postup: ¨ x-t (P 0, 05; P 0, 01) * sx ≤ μ ≤ x + t (P 0, 05; P 0, 01) * sx
Kritické hodnoty pro v(df) = n-1 stupňů volnosti jsou uvedeny v tab. kritických hodnot t-rozdělení(použijeme hodnoty oboustranného t-testu …dvoustranný kritický obor) n Výše uvedený příklad v=n-1=10 -1=9 n tv=9; P(0, 05) = 2, 262; tv=9; P(0, 01) =3, 250 n Výpočet pro 95% pp. : n 8 -2, 262*0, 58 ≤ μ ≤ 8+2, 262*0, 58 6, 69 ≤ μ ≤ 9, 31 n
Děkuji za pozornost!