Te V Gravity at LHC Hawkings Chronology Protection




























- Slides: 28
Te. V Gravity at LHC, Hawking’s Chronology Protection Conjecture and Renormalizations Group I. Aref’eva
PREDICTIONS • Micro-Black hole production at CERN's Large Hadron Collider (LHC) • Micro-Wormhole/time machine production at LHC I. A. and I. V. Volovich, Time Machine at the LHC, ar. Xiv: 07102696, Int. J. Geom. Meth. Mod. Phys. (2008)
Outlook: • Te. V gravity • TIME MACHINES • Chronology Protection Conjecture and Renormalizations
Time Machine • In GR a TM is a region of space-time that has a Closed Timelike Curve (CTC) • CTC suggests the possibility of timetravel with its well known paradoxes CTC Time Machine
Time Machine. Definition • Spacetime: (M, g), M – manifold, g – metric. • Einstein equations for g. • Time machine is a region of spacetime (M, g) that has a closed timelike curve (CTC). • Example. Time is circle:
Causality Time machines violate the standard causality condition. “It seems that there is a Chronology Protection Agency which prevents the appearance of CTCand so makes the universe safe for historians” Hawking, Phys. Rev. (1992)
Causality • Cauchy problem. Global hyperbolic: • Causality in QFT Bogoliubov, Shirkov • Local commutativity: Bogoliubov, Tavkhelidze, Vladimirov, Whightman, … • Locality in string theory: Gross, Veneziano, Susskind, ‘t Hooft • Nonlocality at the Planck scale: Bronstein, Wheeler, Blokhintzev, Markov, ‘t Hooft, p-adic space-time
Time Machine in Special Relativity • TM is impossible in special relativity. • Indeed, to make a loop, a curve must somewhere leave the null cone as shown in this picture. • A particle with such a world line would exceed the speed of light that is impossible in SR.
Time Machine in GR • In general relativity the situation is much less trivial. • According to GR, our spacetime must be a smooth Lorentzian manifold small regions `approximately Minkowskian', large scale any geometry and topology. There may be holes, handles, almost whatever one wants. • A direction of null cones may change. t A simple example is the Minkowski space rolled into a cylinder. Locally everything is fine in this spacetime, but due to its non-trivial global structure, an observer can meet his younger self x
Solutions of Einstein eqs. with Closed Timelike Curves (CTC) / Time Machine. • Godel's solution [1949] • van Stockum-Tipler cylinder [1937, 1974]; • Kerr solutions; 2 axially symmetric, stationary Kerrs • Gott's time machine; • Wheeler wormholes; • Morris-Thorne-Yurtsever's TM • Ori's dust asymptotically-flat space-time Violation of normal chronology is such an objectionable occurrence that any of such solutions could be rejected as nonphysical.
General Relativity and Chronology • In GR one cannot simply assert that chronology is preserved, and causality respected, without doing considerable additional work. • The essence of the problem lies in the fact that the Einstein eqs of GR are local equations, relating some aspects of the spacetime curvature at a point to the presence of stress-energy at that point. • “In the small” GR respects all of the causality constraints of special relativity, but GR does not provide any natural way of imposing global constraints on the spacetime • Without imposing additional principles along GR is completely infested with time machines
Paradoxes generated by the possibility of time travel There are two broad classes of paradox generated by the possibility of time travel • Grandfather paradoxes: Caused by attempts to “change the past”, and so modify the conditions that lead to the very existence of the entity that is trying to “modify the timestream”. • Information paradoxes: bring information to past.
Proposals • Make radical alterations to our worldview to incorporate at least some versions of chronology violation and “time travel”. • Permit constrained versions of closed timelike curves • Incorporate quantum physics to intervene and provide a universal mechanism for preventing the occurrence of closed timelike curves. “Chronology Protection Conjecture” Hawking
• There are long debate concerning such principles. • Several people participated in these discussions. Wheeler, Tipler, Gott, Visser, … Hawking, Deser, Jackiw, ‘t Hooft, …
“Chronology Protection Conjecture“ (Hawking) • But there are not enough convincing arguments for this conjecture • QG effects might smear out the divergences. • Moreover, if QG exists, then chronology protection should be settled within the framework of this theory • CTC does appear in a semi-classical approximation
“Chronology Protection Conjecture“ • It was suggested that large values of expectation value of the energy-momentum tensor occur when one has CTCs. If one fed this energy-momentum tensor into the Einstein eqs. it could prevent one from creating a TM. • Or divergences in the energy-momentum tensor occur. These divergences may create space-time singularities which prevent one from traveling through to the region of CTC
Hawking's "chronology protection conjecture“ Hadamard form
Hawking's "chronology protection conjecture“ Theorem (Kay, Radzikowski, Wald). There are points on the chronology horizon where the two-point functions is not of Hadamard form
Renormalization Group in Curved Spacetime De. Witt • Problems with definition of Renormalization Group flow: • Scaling of global coordinates or momenta (as in Minkowski space) is not well defined; • No preferred vacuum state for Green functions Proposal:
Mathematical solution of Grandfather paradox Recent overcoming of the grandfather paradox: There are spacetimes having CTC for which smooth, unique solutions to the scalar wave eq. exist for all data on generalized Cauchy surface I. A. , I. Volovich, T. Ishiwatari
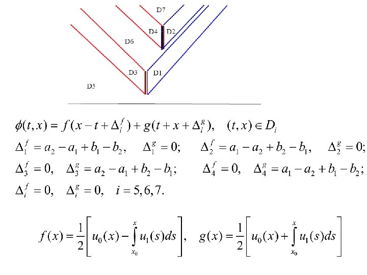
Time Machine Surgery in the Minkowski spacetime t Make two cuts and glue the left edge of left cut to the right edge of the right cut and vice verse, x This space contains timelike loops
The Cauchy problem on spacetimes that are not globally hyperbolic t x Cauchy problem:
t x
Example: 2 dim scalar wave equation Theorem: Under assumption of minimal singularity the Cauchy problem has a unique solution The Cauchy problem for t>b is not well posed
Quantization IR regularization
Energy density No new divergences as compare with Minkowski case Counter example to Hawking's "chronology protection conjecture“
Conclusion • Te. V Gravity opens new channels – BH, WH, TM Wheeler foam at Te. V scale. • No enough arguments for Hawking's "chronology protection conjecture“ • WH/TM production at LHC is of the same order of magnitude as BH production. • The important question on possible experimental signatures of spacetime nontrivial objects deserves further explorations.