Matter Waves Dr J P Singh Associate Professor

  • Slides: 14
Download presentation
Matter Waves Dr. J P Singh Associate Professor in Physics Post Graduate Govt. College

Matter Waves Dr. J P Singh Associate Professor in Physics Post Graduate Govt. College Sector-11 Chandigarh

 • Dual matter of waves is based on the following observations • The

• Dual matter of waves is based on the following observations • The whole universe is composed of matter and electromagnetic radiations. • The nature loves symmetry. As the radiation has dual nature, matter also posses dual nature.

Matter waves • According to this hypothesis, a moving material particle has a wave

Matter waves • According to this hypothesis, a moving material particle has a wave property associated with it. The waves associated with moving particle are called matter waves.

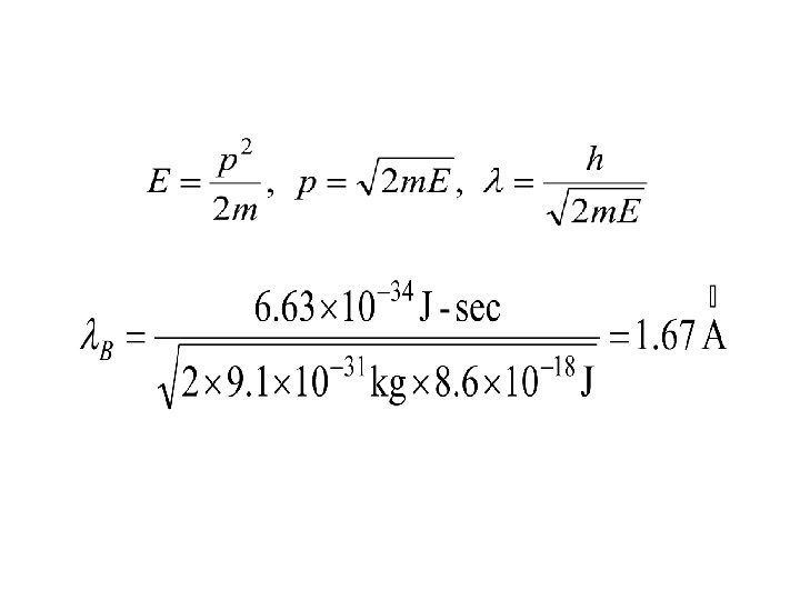
Expression for De-Broglie Waves For photon For material particle

Expression for De-Broglie Waves For photon For material particle

Characteristics of de-Broglie waves The wave length of these waves is independent of the

Characteristics of de-Broglie waves The wave length of these waves is independent of the charge of the particle. Large if the velocity of particle is slow. Lesser if particle is heavy.

de-broglie wave length in terms of energy and temperature

de-broglie wave length in terms of energy and temperature

Wave length of moving electron in a potential difference of V volts

Wave length of moving electron in a potential difference of V volts

Velocity of de-broglie waves The velocity of these de-broglie waves is more than the

Velocity of de-broglie waves The velocity of these de-broglie waves is more than the velocity light.

 • Observations: – Current vs accelerating voltage has a maximum, i. e. the

• Observations: – Current vs accelerating voltage has a maximum, i. e. the highest number of electrons is scattered in a specific direction – This can’t be explained by particle-like nature of electrons scattered on crystals behave as waves

For X-ray Diffraction on Nickel

For X-ray Diffraction on Nickel

There still remain differences between particles and waves: Particles Waves de Broglie wavelength While

There still remain differences between particles and waves: Particles Waves de Broglie wavelength While we use similar notation for particles and for true waves, various quantities are defined differently. Do not make the mistake of using optical definitions for particles.