hikute teisendamine http plantphys ut ee EST ppet















- Slides: 15
Ühikute teisendamine
http: //plantphys. ut. ee EST Õppetöö Füüsika alused biofyysika bgmr 07023 Lisamaterjalid Koolimatemaatika praktikumis ja laboris
Sagedus herts Jõud Njuuton Rõhk Paskal Energia Džaul (James Prescott Joule'i järgi) Võimsus Watt Hz N Pa J 1 Hz = 1 s– 1 1 N = 1 m • kg • s– 2 1 Pa = N • m– 2 1 J = N • m või W • s W 1 W = J • s– 1 Molaarne kontsentratsioon M 1 M = 1 mol l-1 kg. . ng, km. . . nm, l. . . µl, h. . . s piko. . . . 10 -12 nano. . . . 10 -9 mikro. . . 10 -6 milli. . . . 10 -3 senti. . . . 10 -2 detsi. . . . 10 -1 Tera. . . . 1012 Giga. . . . 109 Mega. . . 106 kilo. . . . 103 hekto. . . 102 Deka. . . 101
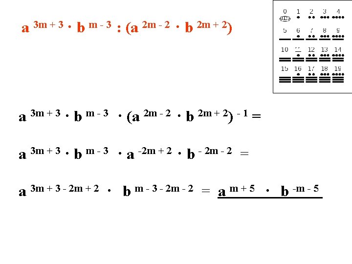
a 3 m + 3 · b m - 3 : (a 2 m - 2 · b 2 m + 2) ---------------------a 3 m = (a 3) m = (a m)3 26 = (22)3 = (23)2 a 3 m + 3 = a 3 m · a 3 b m-3 = b m: b 3 b- 3 = 1 : b 3 23· 2 +3 = 26 · 23 = 29 =512 2 2 - 3 = 2 2 : 23 2 - 1 = 0. 5 = 4 : 8
Oletame, et kontsentratsiooni 100 μmol cm -3 peate ümberarvutama kontsentratsiooniks mol m 3 või molaarseks kontsentratsiooniks mol l -1 = M = mol dm-3. Teate, et 1 μmol = 10 -6 mol ja 1 cm = 10 -2 m, siis (1 cm) 3 = (10 -2 m) 3 = 10 -6 m 3 1 m = 10 dm (1 m) 3 = (101 dm) 3 = 10 3 dm 3
15 n. M = …. . . . ………. m. M 15 n. M = 15 · 10 - 9 M = = 15 · 10 - 9 (mol / l) · 10 3 (mmol / mol) = 15 · 10 - 6 m. M M = mol l-1 1 mol = 10 3 mmol
20 m. M =. . . . ……mmol cm-3 20 · 10 -6 M = 20 · 10 -6 mol / l = = 20 · 10 -6 · 10 3 mmol / 103 cm 3 = = 20 · 10 -6 mmol / cm 3 1 l = 1 dm 3 = 103 cm 3 1 dm = 10 cm (1 dm)3 = (101 cm)3 1 dm 3 = 103 cm 3
Teisendage: 5 m min -1 =. . . …. . . . ……cm h-1 5 m min-1 = 5 · 102 cm / (1/60) h = = 5 · 102 cm · 60 / h = 3 · 10 4 cm / h 1 h = 60 min 1 min = 1/60 h
200 Pa = …………. . N mm-2 Pa = N m -2 200 Pa = 200 N/m 2 = 200 N / 10 6 mm 2 = = 2 · 10 -4 N mm -2 1 m = 103 mm (1 m)2 = (103 mm)2 1 m 2 = 106 mm 2
500 Pa. . . . . atm 1 atm = 1. 013 105 Pa (≈105 Pa) 105 Pa. . . . 1 atm 500 Pa. . . . x atm x = 500 10 -5 = 0. 005 atm
2 k. W m-2 =. . . . . …cal cm-2 min-1 W = J s-1, 1 cal = 4. 19 J, 1 J = 1 / 4. 19 cal 2 k. W m-2 = 2· 103 J s-1 m-2 = = 2· 103 · (1/4. 19) / (1/60) / 104 = = 2· 103 · 60 / (4. 19 · 104) = = 2. 86 cal cm-2 min-1 1 min = 60 s, 1 s = 1/60 min, 1 m = 102 cm, (1 m)2 = (102 cm)2 1 m 2 = 104 cm 2
2. Mitu grammi Mg SO 3· 6 H 20 tuleb võtta 50 ml 0. 2 M lahuse valmistamiseks? Kõige pealt arvutage aine molaarmass Mg (24. 3) +S (32) + 3 O (3· 16) + 6 H 2 O (6· 18) = 212 g/mol (seotud vee molaarmass liidetakse soola molaarmassile). Ühe liitri ühe molaarse (1 M) lahuse valmistamiseks võtaksite 212 g ainet 1 liitri lahuse kohta, kuna Teie lahus peab olema 0. 2 M, siis ka ainet võtaksite 0. 2· 212 g 1 liitri kohta, kuna Teil on vaja ainult 50 ml = 0. 05 l, siis ka ainet võtaksite 0. 05· 0. 2· 212 g ja lisate mõõtkolbi nii palju vett, et kokku saab 50 ml lahust.
3. Kuidas valmistada 0. 5 molaarsest olemasolevast lahusest 100 ml 1 m. M lahust? Kõige pealt arvutage mitmekordselt on vaja lahjendada esialgset lahust? 0. 5 M =500 m. M, 500 m. M / 1 m. M = 500 korda. See tähendab, et valmistatavas lahuses üks viiesajandik (1/500) vedeliku kogusest on esialgne lahus ja ülejäänud on vesi. Üks viiesajandik 100 milliliitrist on 100 ml/ 500 = 0. 2 ml. Valitud nõusse tõstate pipetiga 0. 2 ml esialgset lahust ja lisate destilleritud vett kuni 100 ml märgini. Loksutage valmistatud segu!
4. Teil on olemas 0. 05 M lahus. Kui palju (μl. . . l) seda lahust peate pipetiga või mõõtkolviga võtma, et seal oleks 10 μmol lahustunut ainet? Teil on teada lahuse kontsentratsioon: 0. 05 molaarne, ehk 0. 05 mooli ainet on lahustunud 1 liitris. Küsitakse kui suures ruumalas on lahustunud 10 μmol. Tehke ristkorrutis: 0. 05 mol. . . 1 liitris 10· 10 -6 mol. . x liitris x = 10 · 10 -6 · 1 / (5 10 -2) = 2 · 10 -4 liitrit = 0. 2 ml