4 Eulers Method Oiler Essential Question How does















- Slides: 15
4. Euler’s Method (Oiler)
Essential Question • How does Euler’s Method help us find solutions to differential equations?
Euler Leonhard Euler made a huge number of contributions to mathematics, almost half after he was totally blind. (When this portrait was made he had already lost most of the sight in his right eye. ) Leonhard Euler 1707 - 1783
It was Euler who originated the following notations: (function notation) (base of natural log) (pi) (summation) (finite change) Leonhard Euler 1707 - 1783
There are many differential equations that can not be solved. We can still find an approximate solution using a numerical method. Euler came up with a method based on tangent line approximations
The error gets worse as you get further away from initial value The error gets better if you use a smaller x If the curve is concave down, Euler overestimates the y value, if the curve is concave up Euler underestimates it
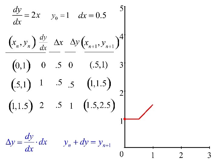
We will practice with an easy one that can be solved. Initial value: Use steps of 0. 5
Exact Solution:
Euler’s Method Use Euler’s Method for dy/dx= y – 1 with increments of ∆x =. 1 to approximate the value of y when x = 1. 3. y = 3 when x = 1. (x, y) ∆x (x + ∆x, y + ∆y)
Euler’s Method Use Euler’s Method with increments of ∆x =. 1 to approximate the value of y when x = 1. 3 and y = 3 when x = 1. (x, y) ∆x (x+∆x, y+∆y) (1, 3) 2 . 1 . 2 (1. 1, 3. 2) 2. 2 . 1 . 22 (1. 2, 3. 42) 2. 42 . 1 . 242 (1. 3, 3. 662)
Euler’s Method Use Euler’s Method for dy/dx= 2 x – 7 and f(2) = 3 with five equal steps to approximate f(1. 5). (x, y) ∆x (x + ∆x, y + ∆y)
Euler’s Method Use Euler’s Method for dy/dx= 2 x – 7 and f(2) = 3 with five equal steps to approximate f(1. 5). (x, y) ∆x (x+∆x, y+∆y) (2, 3) 1 -. 1 (1. 9, 2. 9) . 9 -. 1 -0. 09 (1. 8, 2. 81) . 79 -. 1 -0. 079 (1. 7, 2. 731) . 669 -. 1 -. 0667 (1. 6, 2. 664) . 536 -. 1 -. 0536 (1. 5, 2. 611)
Assignment Worksheet