Potenialul cmpului electrostatic ntrun punct se numete potenialul

  • Slides: 7
Download presentation
Potenţialul câmpului electrostatic într-un punct se numeşte potenţialul câmpului electrostatic într-un punct. unde: este

Potenţialul câmpului electrostatic într-un punct se numeşte potenţialul câmpului electrostatic într-un punct. unde: este potenţialul câmpului electrostatic în punctul A este potenţialul câmpului electrostatic în punctul B

Definiţie: Lăsată liber q se deplasează până la infinit. ( orice număr finit împărţit

Definiţie: Lăsată liber q se deplasează până la infinit. ( orice număr finit împărţit la infinit este zero) daca citim Potenţialul câmpului electrostatic într-un punct (A), este o mărime fizică scalară numeric egală cu lucrul mecanic efectuat pentru a transporta sarcina electrică de +1 C din acel punct (A), la infinit.

Unitatea de masură: Revenim la: unde: UAB = diferenţa de potenţial sau tensiune electrică

Unitatea de masură: Revenim la: unde: UAB = diferenţa de potenţial sau tensiune electrică

PROBLEME REZOLVATE 1. Presupunând o sarcină electrică punctiformă q=10 -19 C, consideraţi punctele A

PROBLEME REZOLVATE 1. Presupunând o sarcină electrică punctiformă q=10 -19 C, consideraţi punctele A si B la distanţele 2 m respectiv 1 m de sarcină , pe aceiaşi dreaptă, de o parte şi de alta a sarcinii. Calculaţi tensiunea UAB.

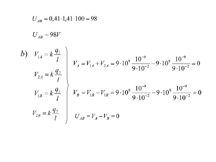
2. În două dintre vârfurile unui pătrat cu latura l=9 cm sunt plasate corpuri

2. În două dintre vârfurile unui pătrat cu latura l=9 cm sunt plasate corpuri punctuale cu sarcini egale şi de semn contrar, având valoarea q 1=-10 -9 C si q 2=+10 -9 C. Să se calculeze tensiunea UAB între celelalte două vârfuri A si B, în cazurile ilustrate în figură.

PROBLEME PROPUSE PENRTU REZOLVARE 1. În vârfurile unui triunghi echilateral cu latura l=52 cm

PROBLEME PROPUSE PENRTU REZOLVARE 1. În vârfurile unui triunghi echilateral cu latura l=52 cm sunt plasate sarcinile electrice : q 1=2 x 10 -10 C, q 2=3 x 10 -9 C şi q 3=-5 x 10 -10 C. Sarcinile sunt considerate punctiforme şi aşezate în vid. Să se calculeze valoarea potenţialului electric în centrul triunghiului. R: V=81 V 2. În figura se indică patru sarcini egale ca mărime q=2 C aflate în vârfurile unui pătrat cu latura l=2 m. Să se calculeze potenţialul electrostatic creat de sistemul de sarcini în punctele : A, B, C, D, E. R: