Penerapan Integral lipat Tiga pada 1 Menentukan Volume

  • Slides: 8
Download presentation
. Penerapan Integral lipat Tiga pada : -=1. Menentukan Volume benda padat: Misalkan diketahui

. Penerapan Integral lipat Tiga pada : -=1. Menentukan Volume benda padat: Misalkan diketahui benda V dibatasi Oleh kuve z = f(x, y) dan z = g( x, y) Seperti pada gambar dibawah ini : Volume benda V dapat dihitung dengan menggunakanintegral lipat tiga dengan rumus : Volume V = 2 Menentukan Momen Inersia benda V terhadap sumbu koordinat Momen Inersia terhadap sumbu x = Ix

Momen Inersia terhadap sumbu y = Iy Momen Inersia terhadap sumbu z = Iz

Momen Inersia terhadap sumbu y = Iy Momen Inersia terhadap sumbu z = Iz 3. Menentukan Titik berat benda V ( Dimana : )

. Contoh : 1. Tentukan volume benda V yang dibatasi oleh z = x

. Contoh : 1. Tentukan volume benda V yang dibatasi oleh z = x 2+y 2 dipotong oleh bidang z = 4 ? Jawab: Volume benda V adalah : Transformasi ke koord. silinder

. 2. Tentukan momen inersia terhadap sumbu z dari benda V dibatasi oleh bola

. 2. Tentukan momen inersia terhadap sumbu z dari benda V dibatasi oleh bola diatas bidang z=0 Jawab. Batas untuk z : z = 0 s/d z = Momen inersia terhadap sumbu z = Iz TRANSFORMASI KE KOORDINAT SILINDER : Catatan : =

Misal : u = 9 – r 2 = 9 - u. du =

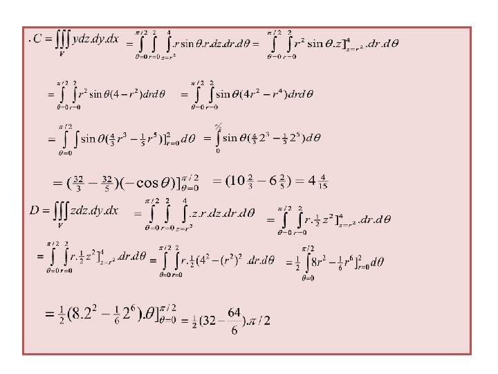
Misal : u = 9 – r 2 = 9 - u. du = -2 r dr. dr = 3, Tentukan titik berat benda V yang dibatasi oleh z= dipotong oleh bidang z = 4 di kwadran I? Jawab : Titik berat benda V ( ) Dimana : Kalau tidak diberitahukan maka dianggap konstan

A =. transformasi ke koord silinder.

A =. transformasi ke koord silinder.

TUGAS 1. Hitung volume benda V dibatasi oleh bola oleh z = 1 bagian

TUGAS 1. Hitung volume benda V dibatasi oleh bola oleh z = 1 bagian atas dipotong 2. Hitung momen inersia terhadap sumbu y dari benda V adalah kerucut z = dipotong oleh z = 5. 3. Hitung momen inersia terhadap sumbu z dari benda V dibatasi oleh bola dipotong 4. Hitung titik berat benda V adalah bola di kwadran I. di bagian atas