Genel Fizik Ders Notlar Yrd Do Dr ahin

  • Slides: 13
Download presentation
Genel Fizik Ders Notları Yrd. Doç. Dr. Şahin Yakut Fizik Bölümü

Genel Fizik Ders Notları Yrd. Doç. Dr. Şahin Yakut Fizik Bölümü

Katı Cismin Sabit Eksen Etrafında Dönme Hareketi Katı Cisim: Deforme olmayan yani şekli değişmeyen,

Katı Cismin Sabit Eksen Etrafında Dönme Hareketi Katı Cisim: Deforme olmayan yani şekli değişmeyen, kendisini oluşturan bileşenlerin sabit kaldığı yapıdır. Açısal Yerdeğiştirme, Açısal Hız ve Açısal İvme Açısal yerdeğiştirmenin birimi radyandır.

Zaman aralığında yer değiştirme Ortalama açısal hız Anlık açısal hız Zaman aralığında açısal hızdaki

Zaman aralığında yer değiştirme Ortalama açısal hız Anlık açısal hız Zaman aralığında açısal hızdaki değişim Ortalama açısal ivme Anlık açısal ivme

Açısal hızın yönü sağ el kuralı ile belirlenir. * Katı cisim dönme hareketinde, katı

Açısal hızın yönü sağ el kuralı ile belirlenir. * Katı cisim dönme hareketinde, katı cismi oluşturan tüm parçaların aynı açısal yer değiştirmeyi aynı açısal hız ve açısal ivme ile yaptıkları kabul edilir.

Sabit İvmeli Dönme Hareketi

Sabit İvmeli Dönme Hareketi

Açısal ve Çizgisel Büyüklükler Çizgisel hız teğet hız olarak da adlandırılabilir. Olduğundan Çizgisel hız

Açısal ve Çizgisel Büyüklükler Çizgisel hız teğet hız olarak da adlandırılabilir. Olduğundan Çizgisel hız teğet hız vektörünün dönme eksenine uzaklığına bağlıdır. Açısal hız ise dönme ekseni doğrultusunda dönme düzlemine dik doğrultuda bir yöndedir. Dolayısıyla dönme hareketinde katı cismin farklı yerlerinde çizgisel hız farklı olabilir, fakat açısal hız sabittir Teğet İvme

Radyal İvme

Radyal İvme

Dönme Enerjisi Eylemsizlik Momenti

Dönme Enerjisi Eylemsizlik Momenti

Tork Uygulanan bir kuvvetin belirli bir dönme ekseni etrafında uygulandığı cismi döndürme eğilimine, «Tork»

Tork Uygulanan bir kuvvetin belirli bir dönme ekseni etrafında uygulandığı cismi döndürme eğilimine, «Tork» denir

Tork ve Açısal İvme Dönme hareketi yapacak cisme etkiyen teğet kuvvet Tork, ise

Tork ve Açısal İvme Dönme hareketi yapacak cisme etkiyen teğet kuvvet Tork, ise

Dönme Hareketinde İş-Güç-Enerji Tork ise,

Dönme Hareketinde İş-Güç-Enerji Tork ise,

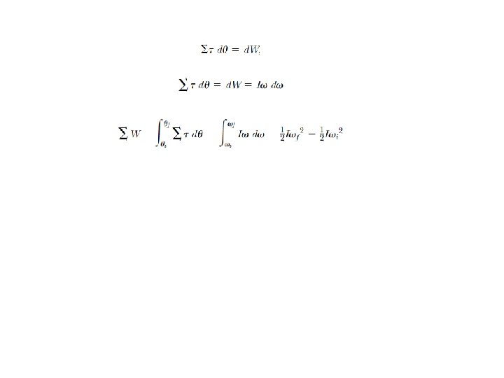
İş-Enerji ilişkisi

İş-Enerji ilişkisi