Fale Rozchodzce si w przestrzeni i zalene od





































































- Slides: 69
Fale Rozchodzące się w przestrzeni i zależne od czasu zaburzenie a) Fale mechaniczne (w materii) b) Fale elektromagnetyczne (w próżni i w materii) c) Fale materii
Stałe uniwersalne Dla próżni
Fala podłużna i poprzeczna
Fale mechaniczne Fale przenoszą energię, nie przenoszą masy, mimo przemieszczeń cząsteczek, które drgają, przekazując energię następnym. Rodzaje fal : • podłużne, drgania równolegle do kierunku rozchodzenia się fali, • poprzeczne drgania prostopadle, do kierunku rozchodzenia się fali, • powierzchniowe (około 20 różnych struktur fal).
Rozchodzące się zaburzenie może być jedno-, dwu- i trójwymiarowe. Fale mogą być płaskie, cylindryczne, kuliste…. Fala płaska rozchodzi się tylko w jednym kierunku, jej czoło (powierzchnia falowa) jest płaszczyzną. Najprostsze rozchodzące się wzdłuż osi x w prawo zaburzenie można zapisać w postaci: gdzie v jest prędkością rozchodzenia się fazy fali, dla fal opisanych przez funkcje trygonometryczne
k = 2π/λ liczba falowa
W zaburzeniach, które przedstawiamy jako grupę fal energia może być przenoszona z inną prędkością niż faza każdej z fal. W prowadza się wówczas pojęcie prędkości grupowej.
Zasada superpozycji Dwie lub więcej fal może przebiegać niezależnie od siebie. Oznacza to, że przemieszczenie dowolnej cząstki w ustalonej chwili czasu jest sumą przemieszczeń. Francuzki matematyk J. Fourier wykazał, że dowolny periodyczny ruch cząstki może być przedstawiony w postaci kombinacji liniowej ruchów harmonicznych prostych.
Interferencja fal Efekt nakładania się dwóch lub więcej ciągów falowych Fale stojące Rozważamy dwie fale poruszające się w przeciwnych kierunkach - y 1(t) i y 2(t) oraz falę wypadkową y(t)
Otrzymany wynik oznacza, że cząstka drga w dowolnie wybranym punkcie prostym ruchem harmonicznym i drgania wszystkich cząstek mają tę samą częstość. ym x
Drgania struny – fale poprzeczne wychylenie Kierunek propagacji y x Drgania struny , której masa na jednostkę długości wynosi μ, naprężonej siłą F opisane są równaniem różniczkowym o postaci:
Równanie to wynika z drugiej zasady dynamiki Newtona zastosowanej do poprzecznej struny. Rozwiązaniem tego równania jest: gdzie jest pulsacją, = 2 , - częstotliwością, T – okresem, k – liczbą falową
Z analizy rozwiązania równania wyznaczyć można prędkość v rozchodzenia się zaburzenia falowego oraz parametrów k i ω z prędkością V. μ – gęstość liniowa struny, F - siła Wzory te można wyprowadzić również analizując siły F działające na odcinek liny o długości l.
v l F θ F R Siły F rozkładamy na składowe, ΣFx = 0, ΣFy ≠ 0, dla składowych Fy można napisać zależności:
Siła 2 Fy wywołuje przyspieszenie cząstek liny skierowane do środka okręgu. Otrzymane zostało wyrażenie na – prędkość rozchodzenia się fali w linie naprężonej siłą F.
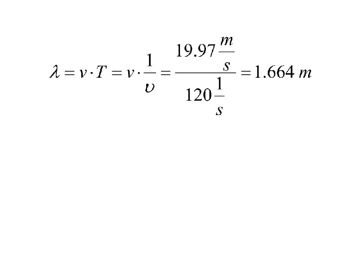
Przykład 1 F Na jednym końcu linki wytwarzana jest za pomocą sznura poprzeczna fala sinusoidalna, przy czym koniec linki drga do góry i na dół, a największe jego przemieszczenie wynosi 0. 5 cm. Ruch jest ciągle podtrzymywany i powtarza się sinusoidalnie 120 razy na sekundę. a) należy obliczyć prędkość, amplitudę i długość fali tego ruchu falowego, przyjmując że gęstość liniowa linki wynosi 0. 25 kg/m, a przyłożone naprężenie wynosi 90 N. F = 90 N μ = 0. 25 kg/m ym = 0. 25 cm = 120 1/s
Przykład 2 F Rozchodząca się fala ma postać: y = Ym sin (Ax + Bt) Jaka jest prędkość tej fali?
Przykład 3 F Jeden koniec sprężystego pręta połączony jest ze źródłem drgań harmonicznych: Drugi koniec pręta jest unieruchomiony. Wyznaczyć charakter drgań w dowolnym punkcie pręta, przyjmując, że przy odbiciu od nieruchomego pręta faza zmienia się na przeciwną.
Fala poruszająca się zgodnie z kierunkiem osi x opisana następująco: Fala odbita (zmiana fazy przy odbiciu): Fala wypadkowa = fala padająca + fala odbita
Fala stojąca
Amplituda
Węzły fali stojącej y = 0 Strzałki fali y = ymax
Fala stojąca – superpozycja dwóch fal propagujących się w przeciwnych kierunkach
Fale akustyczne Są to fale rozchodzące się w gazach (podłużne), cieczach (podłużne i poprzeczne w przypadku cieczy o dużej lepkości) i ciałach stałych (podłużne, poprzeczne i powierzchniowe). Fale te można uważać za rozchodzący się z prędkością v impuls zagęszczeń. x y
Fale akustyczne w gazach i cieczach, najczęściej podłużne, rozchodzą się wzdłuż kierunku propagacji, na przykład x z prędkością : Gdzie B jest modułem sprężystości objętościowej ρ0 – gęstością materiału bez dodatkowych naprężeń, V – objętością, p – ciśnieniem, y – miara przemieszczeń cząstek, y – równoległa do x.
Moduł sprężystości objętościowej K formalnie określa wyrażenie: gdzie: p to ciśnienie, V to objętość, ∂p/∂V oznacza pochodną cząstkową ciśnienia względem objętości.
Gęstość energii fali akustycznej E 0 - gęstość energii drgań źródła – gęstość energii akustycznej, - k – współczynnik sprężystości, A – amplituda, ω – pulsacja, ρ - gęstość Jak dla oscylatora harmonicznego
Jeżeli na drodze fali ustawimy prostopadle powierzchnię S to w czasie t na tę powierzchnię pada energia fali zawarta w objętości V=Svt Natężenie fali I – moc na jednostkę powierzchni Natężenie fali jest proporcjonalne do kwadratu amplitudy i kwadratu częstości
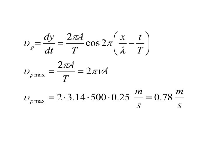
Przykład 3 F Drgania dźwiękowe o częstotliwości f = 500 Hz i amplitudzie A = 0. 25 mm rozchodzą się w powietrzu. Długość fali λ = 70 cm. Napisać równanie fali, znaleźć prędkość rozchodzenia się drgań oraz maksymalną prędkość cząsteczek powietrza. Obliczamy prędkość fali v:
- znane Cząsteczki wykonują ruch harmoniczny w kierunku rozchodzenia się fali. Ich vp prędkość zmienia się w sposób okresowy i możemy ją obliczyć na podstawie równania fali.
Fale akustyczne w ciałach stałych Ciecz Ciało stałe Fala podłużna Fala poprzeczna Fala podłużna
L – fala podłużna T – fala poprzeczna Fale akustyczne na granicy ośrodków: ‘ – odbite, ” - przechodzące
Na granicy ośrodków na przykład ciecz – ciało stałe następuje transformacja fali akustycznej. W ciele stałym pojawiają się dwie fale podłużna i poprzeczna, których współczynniki załamania są różne. Przy zmianach kąta padania można otrzymać falę propagującą się wzdłuż granicy ośrodków – falę powierzchniową. Transformacji fal nie ma w przypadku prostopadłego padania fali na granicę ośrodków.
Fale elektromagnetyczne Równania Maxwella przewidują istnienie fal elektromagnetycznych o prędkości rozchodzenia się w próżni: (1)
Mgławica, informacje z kosmosu otrzymane dzięki falom elektromagnetycznym Mgławica emisyjna NGC 604 w gwiazdozbiorze Trójkąta (pl/wikipedia/org/
Równania Maxwella przewidują, że zmienne w czasie pole magnetyczne indukuje wirowe pole elektryczne i na odwrót, zmienne w czasie pole elektryczne indukuje wirowe pole magnetyczne. Każda zmiana w czasie pola elektrycznego wywoła powstanie zmiennego pola magnetycznego, które z kolei wytworzy zmienne pole elektryczne. Ciąg wzajemnie sprzężonych pól elektrycznych i magnetycznych stanowi falę elekromagnetyczną. Fale elektromagnetyczne możemy podzielić na • stojące (np. wnęka rezonansowa) i • bieżące - rozchodzące się wzdłuż linii przesyłowej lub w wolnej przestrzeni.
Obwód LC Przykład powstawania fal elektromagnetycznych. Drganiom wytworzonym w elektrycznym obwodzie LC (cewka, kondensator) towarzyszy okresowa zmiana energii pola elektrycznego kondensatora w energię pola magnetycznego cewki. Jeżeli pominiemy straty na ciepło, to energia drgań w obwodzie pozostanie stała.
Pole B L C Do generator a drgań Pole E Obwód taki przekształcamy w następujący sposób: cewkę redukujemy do prostoliniowego przewodu, okładki kondensatora zmniejszamy, a przewody prostujemy. Pole elektryczne i magnetyczne wypełnia teraz bardzo dużą przestrzeń.
Przekształcanie zamkniętego obwodu drgań w dipol elektryczny E B Do generatora drgań Przekształcony obwód ma teraz większą zdolność emitowania energii, stał się obwodem otwartym. Powstały obwód stanowi dipol elektryczny o momencie dipolowym zależnym od czasu.
Jeżeli do prętów dipola doprowadzone zostanie napięcie zmienne, to pręty będą się ładować okresowo ładunkiem dodatnim i ujemnym. Zatem obwód taki staje się oscylującym dipolem elektrycznym emitującym falę elektromagnetyczną we wszystkich kierunkach. Pole elektryczne dipola w czterech chwilach: +q + - -q t=0 t = 1/8 T + - t = 1/4 T + t = 3/8 T
Wykres biegunowy natężenia fali emitowanej przez z P dipol, znajdujący się na osi z. Długość odcinka OP jest x proporcjonalna do O natężenia fali emitowanej w danym kierunku. Zmienne napięcie doprowadzone do z generatora powoduje przepływ prądu wzdłuż dipola. Ładunki zbierające się na końcach prętów dipola wytwarzają tam największe napięcia. Drgania elektryczne rozchodzące się wzdłuż dipola dają w wyniku falę stojącą. Fala emitowana przez dipol jest już falą rozchodzącą się w przestrzeni (bieżącą). Fala ta jest spolaryzowana, wektor E jest równoległy do osi dipola, B prostopadły.
Równania falowe E - natężenie pola elektrycznego B – natężenie pola magnetycznego ε 0 przenikalność elektryczna próżni, μ 0 - przenikalność magnetyczna próżni.
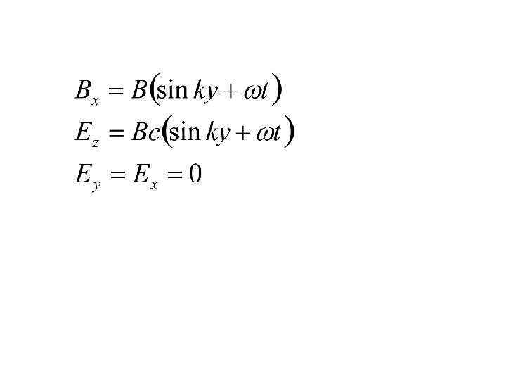
Na podstawie wprowadzonych równań Maxwell wykazał, że wzajemnie sprzężone pola elektryczne i magnetyczne tworzą falę poprzeczną i obliczył prędkość fali. W fali elekromagnetycznej wektory E i B są prostopadłe do siebie i do kierunku rozchodzenia się fali. Dla fali rozchodzącej się wzdłuż osi x zależność natężenia pola B i E od czasu i położenia ma postać następującą: B = Bmsin(kx - t) (2) E = Em sin(kx - t) - pulsacja, = 2 k - liczba falowa - długość fali T - okres drgań - częstotliwość (4) (5) (3) (4 a) (6)
y Płaska fala elektromagnetyczna poruszająca się w dodatnim kierunku osi x dx • • • • • • c x z E z B y h c x Pola E i B są zgodne w fazach.
Prostokąt o wymiarach h i dx nie porusza się w przestrzeni. W miarę przesuwania się fali strumień magnetyczny B będzie się zmieniał, co spowoduje powstanie indukowanych pól elektrycznych. To indukowane pola elektryczne, to składowe elektryczne wytworzonej fali bieżącej. Zastosujmy prawo Faradaya dla obwodu prostokąta o bokach h i dx (pł. xz). (7) (8) Strumień pola magnetycznego przechodzący przez powierzchnię prostokąta (płaszczyzna xz) wynosi: (9) B jest wartością bezwzględną pola w prostokącie
Różniczkowanie po czasie daje (10) Na podstawie prawa Faradaya w postaci (8 ) otrzymujemy (11) stąd (12) (13)
E(x, t) i B(x, t) są znane, więc równanie (13) można zapisać jako (14) czyli (15) ale (16) Oznacza to również, że związek słuszny jest dla dowolnych wielkości pola E i B w danym momencie. (17) Zastosujmy teraz prawo Ampera w postaci: (18)
Całkując to równanie po obwodzie prostokąta o bokach h i dx w płaszczyźnie xy otrzymujemy: (19) Strumień pola elektrycznego przechodzący przez ten prostokąt wynosi: (20) Różniczkując po czasie otrzymujemy: (21) a więc równanie (18 ) można przepisać w postaci (22)
Korzystając z równań (14 ), (22 ) otrzymujemy: (23) stąd (24) Eliminując Em/Bm otrzymamy: c - prędkość światła w teorii (1) elektromagnetyzmu. Maxwell przewidział ten związek przed odkryciem fal radiowych!
Przykład 4 F Rozważmy falę elektromagnetyczną w próżni, dla której równania opisujące pole magnetyczne mają postać: Jaki jest kierunek rozchodzenia się fali?
Napisz równania opisujące pole elektryczne. Bx x c Ez y z
Energia niesiona przez falę elektromagnetyczną B h • h = A y c E x z dx
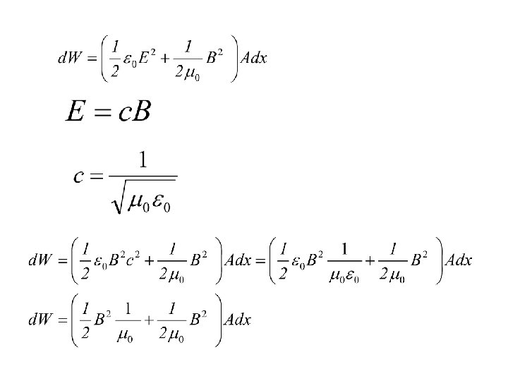
W pewnej chwili energia d. W zawarta w pudełku o objętości sdx przenoszona przez falę elektromagnetyczną wynosi d. W = d. WE + d. WB = (u. E + u. B)Adx (25) Energia pola E u. E - gęstość pola E Energia pola B u. B - gęstość pola B (26) ale (17) (28)
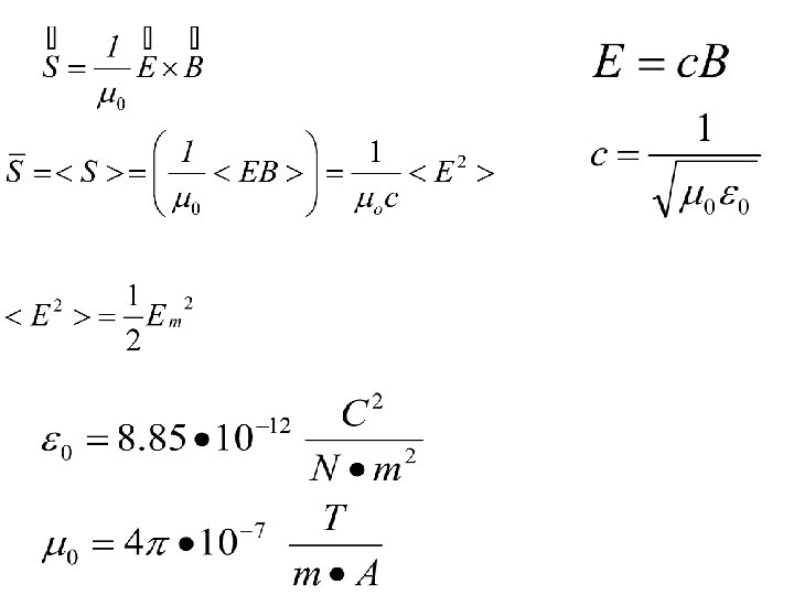
Zgodnie z (1) oraz Energia przepływająca przez jednostkową (29) powierzchnię A w jednostkowym czasie. (30) (31) Energię tę oznaczono następnie przez S i wprowadzono odpowiadający jej wektor przepływu energii zwany wektorem Pointynga
Wielkość S jest wyrażona przez wartości chwilowe, więc jest funkcją czasu. Wektor S jest prostopadły do wektora E i do wektora B. Wektor Pointynga pokazuje kierunek przenoszenia energii. Z trzech wielkości występujących w równaniu (31), jedna ma ściśle określoną wartość: pozostałe c i 0 są mierzalne. Na podstawie równania (1) wykorzystuje się zmierzoną dokładnie wartość prędkości światła c = 2. 99792458 • 108 m/s do wyznaczania wartości 0.
Otrzymane wyrażenie opisujące wektor Pointinga odnosi się do mocy chwilowej przenoszonej przez falę elektromagnetyczną. Bardzo często potrzebna jest średnia moc fali. Obliczano średnią wartość kwadratu sinusoidy
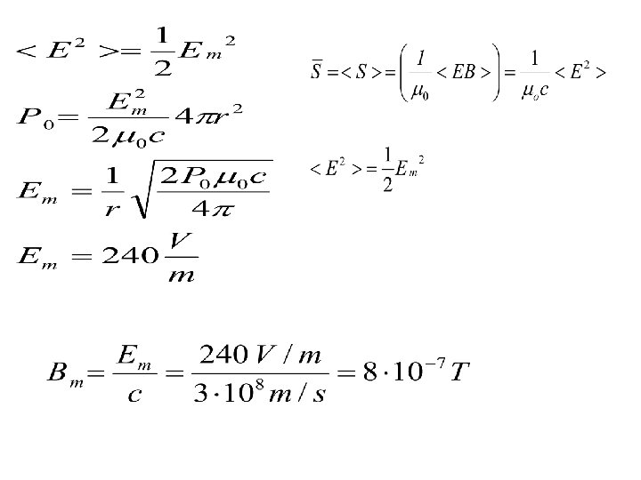
Przykład 5 F Obserwator znajduje się w odległości r = 1 m od punktowego źródła promieniowania o mocy P 0 = 103 W. Obliczyć wielkości pola elektrycznego i magnetycznego w odległości r, uważając falę za płaską. r=1 m P 0 = 103 W r P 0
Prędkość c, mimo że dotyczy wszystkich fal elektromagnetycznych, nazywa się prędkością światła. W roku 1888 Heinrich Hertz przeprowadził po raz pierwszy eksperyment, w którym były wytwarzane i odbierane fale elektromagnetyczne, dowodząc tym samym ich istnienia i potwierdzając słuszność równań Maxwella.
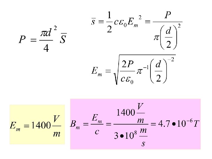
Przykład 6 F. Średnia moc lasera jest równa P = 2. 0 m. W, a jego wiązka ma średnicę d = 1 mm. Jaka jest gęstość strumienia energii fali elektromagnetycznej? Jaka jest wartość amplitudy pola elektrycznego? Przyjąć, że laser wysyła płaska falę monochromatyczną. 1 mm
Śr. wartość wektora S. jest równa gęstości strumienia energii,
Przykład 7 F Energia fali elektromagnetycznej składa się z energii pola elektrycznego i magnetycznego. Wykazać, że dla fali płaskiej w próżni gęstości obu rodzajów energii są sobie równe. Ile wynosi ich średnia wartość w okresie? Jaka jest średnia moc przenoszona przez falę płaską na jednostkę powierzchni A? Czy otrzymane wyrażenie pozostaje w zgodzie z wzorem Pointynga? A=1
Energia przepływająca w czasie dt przez powierzchnię A Na podstawie wartości wektora Pointynga: