kola S Oselce Oselce 1 335 01 Nepomuk

  • Slides: 11
Download presentation
Škola: SŠ Oselce, Oselce 1, 335 01 Nepomuk, www. stredniskolaoselce. cz Projekt: Registrační číslo:

Škola: SŠ Oselce, Oselce 1, 335 01 Nepomuk, www. stredniskolaoselce. cz Projekt: Registrační číslo: CZ. 1. 07/1. 5. 00/34. 0801 Název: Modernizace výuky všeobecných a odborných předmětů Název sady: Výrazy, funkce, rovnice Číslo DUMu: VY_42_INOVACE_22_19 Název DUMu: LINEÁRNÍ NEROVNICE Pro obor vzdělávání: 82 -51 -L/01 Uměleckořemeslné zpracování kovu 82 -51 -L/02 Uměleckořemeslné zpracování dřeva Předmět: Matematika Ročník: první Autor: Pavel Vacík Datum: 19. 09. 2012

Takových čísel je nekonečně mnoho. Na číselné ose je znázorníme takto: Řešením nerovnice je

Takových čísel je nekonečně mnoho. Na číselné ose je znázorníme takto: Řešením nerovnice je interval.

Mezi stranami nerovnice může být : L menší než P L větší než P

Mezi stranami nerovnice může být : L menší než P L větší než P L menší nebo rovno P L větší nebo rovno P Patří k sobě: ostrá nerovnost Patří k sobě: větší/menší nebo rovno + prázdné kolečko + + plné kolečko + . .

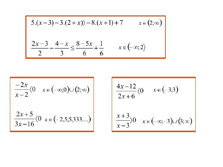
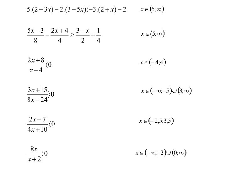
Postup řešení lineární nerovnice je stejný jako u lineární rovnice, rozdíl je jen v

Postup řešení lineární nerovnice je stejný jako u lineární rovnice, rozdíl je jen v posledním kroku – dělení obou stran nerovnice stejným číslem. Při dělení obou stran nerovnice záporným číslem musíme obrátit znaménko nerovnosti.

Lineární nerovnice s neznámou ve jmenovateli řešíme pomocí nulových bodů: 1. Nulové body: čitatel:

Lineární nerovnice s neznámou ve jmenovateli řešíme pomocí nulových bodů: 1. Nulové body: čitatel: 2. Číselná osa: 3. Intervaly: jmenovatel:

1. Nulové body: čitatel: 2. Číselná osa: 3. Intervaly: jmenovatel:

1. Nulové body: čitatel: 2. Číselná osa: 3. Intervaly: jmenovatel:

1. Nulové body: čitatel: 2. Číselná osa: 3. Intervaly: jmenovatel:

1. Nulové body: čitatel: 2. Číselná osa: 3. Intervaly: jmenovatel:

Zdroj materiálů: Není –li uvedeno jinak, je autorem tohoto materiálu a všech jeho částí,

Zdroj materiálů: Není –li uvedeno jinak, je autorem tohoto materiálu a všech jeho částí, autor uvedený na titulním snímku.