CH 4FullwaveandThreephaserectifiers ConvertingACtoDC 4 1Introduction u u TheaveragecurrentinACsourceiszero























































- Slides: 55
CH. 4 Full-wave and Threephase rectifiers (Converting AC to DC) 4 -1 Introduction u u The average current in AC source is zero in the full-wave rectifier, thus avoiding problems associated with nonzero average source currents, particularly in transformers.
4 -2 Single-phase full-wave rectifiers Fig. 4 -1 Bridge rectifier: The lower peak diode voltage make it more suitable for high-voltage applications.
Fig. 4 -2 center-tapped transformer rectifier With electrical isolation, only one diode voltage drop between the source and load, suitable for low-voltage, high-current applications
Resistive load: power absorbed by the load resistor: power factor :Pf=1
R-L load: Fig. 4 -3
If L is relatively large, the load current is essentially dc. ( ) Source harmonics are rich in the odd-numbered harmonics. Filters:reducing the harmonics.
R-L source load: Fig. 4 -5
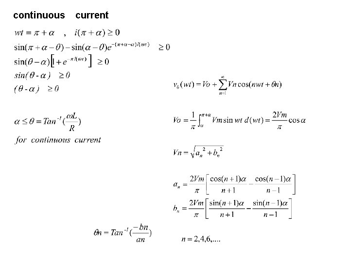
For continuous current operation, the only modification to the analysis that was done for R-L load is in the dc term of the Fourier series. The dc component of current in this circuit is. The sinusoidal terms in the Fourier analysis are unchanged by the dc source, provided that the current is continuous. Discontinuous current is analyzed like section 3 -5.
Capacitance output filter: Fig. 4 -6
Assuming ideal diodes :the angle where the diodes become reverse biased, which is the same as for the half-wave rectifier and is =? solved numerically for Peak-to-peak variation(ripple):
In practical circuits where ωRC , minimal output voltage occurs at is half that of the half-wave rectifier.
Fig. 4 -7 (a) Voltage doubler Fig. 4 -7 (b) Dual voltage rectifier =full-wave rectifier(sw. open)+ voltage doubler(sw. closed)
L-C filtered output: Fig. 4 -8 C holds the output voltage at a constant level, and the L smoothes the current from rectifier and reduces the peak current in diodes.
=0 , full-wave rectified Continuous Current: The variation in can be estimate from the first Ac term (n=2) in the Fourier series. The amplitude of the inductor current for n=2 is where For Continuous current,
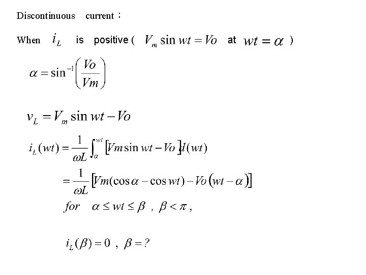
Discontinuous current: , When is positive ( at )
Procedure for determining Vo: (1) Estimate a Value for Vo slightly below Vm, and solve (2) Solve numerically, (3) Solve (4) Slove Vo= (5) Repeat step (1)~(4) until the computed Vo in step(4) equals the estimated Vo in step(1) Output Voltage for discontinuous current is larger than for continuous current. (see Fig 4 -8(d))
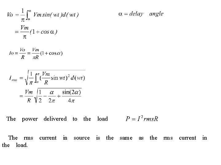
4 -3 controlled full-wave rectifiers Resistive load: Fig. 4 -10
The power delivered to the load The rms current in source is the same as the rms current in the load.
R-L load : Fig. 4 -11
discontinuous current : for For discontinuous current Analysis of the controlled full-wave rectifier operating in the discontinuous current mode is identical to that of the controlled half-wave rectifier, except that the period for the output current is .
continuous current
Fig 4 -12
R-L Source load : Fig. 4 -14 The SCRS may be turned on at any time that they are forward biased, which is at an angle
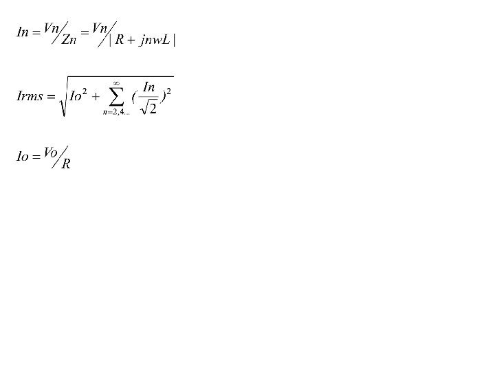
For continuous current case, the average bridge output voltage is average load current is The ac voltage terms are unchanged from the controlled rectifier with an R-L load. The ac current terms are determined from circuit. Power absorbed by the dc voltage is Power absorbed by resistor in the load is
Controlled Single-phase converter operating as an inverter: seeing Fig 4 -14. 4 -15 .
For inverter operation, power is supplied by the dc source, and power is absorbed by the bridge and is transferred to the ac system. Vdc and Vo must be negative rectifier operation inverter operation
4 -4 Three-phase rectifiers Resistive load : Fig 4 -16
上、下半部Diode,每次僅一個ON;同相上、下Diode不可同時ON; Diode ON由瞬間最大線電壓決定。 A transition of the highest line-to-line voltage must take place every . Because of the six transitions that occur for each period of the source voltage, the circuit is called a six-pulse rectifier. vo(t)之基頻為 3 Diode 電源頻率之6倍 turn on in the sequence 1, 2, 3, 4, 5, 6, 1, . .
Each diode conducts one-third of the time, resulting in Apparent power from the three-phase source is
Since the output voltage is periodic with period 1/6 of the ac supply voltage, the harmonics in the output are of order 6 kω, k=1, 2, 3, … Adevantage:output is inherently like a dc voltage, and the highfrequency low-amplitude harmonics enable filters to be effective.
For a dc load current (constant I 0) --- Fig 4. 17
which consists of terms at fundamental frequency of the ac 1, k=1, 2, 3, … system and harmonics of order 6 k Filters(Fig. 4 -18) are frequently necessary to prevent harmonic currents to enter the ac system. Resonant filters for 5 th and 7 th harmonics. High-pass filters for higher order harmonics.
4 -5 Controlled three-phase rectifiers
Harmonics for output voltage remain of order 6 k, functions of . seeing Fig. 4 -20 but amplitude are
Twelve-pulse rectifiers:using two six-pulse bridges
The purpose of the transformer connection is to introduce phase shift between the source and bridge. This results in inputs to two bridges which are apart. The two bridge outputs are similar, but also shifted by . The delay angles for the bridge are typically the same. The peak output of the twelve-pulse converter occurs midway between alternate peaks of the six-pulse converters. Adding the voltages at that point for gives
Since a transition between conducting SCRs every , there a total of 12 such transitions for each period of the ac source. The output has harmonic frequencies which are multiple of 12 times the source fre. (12 k k=1, 2, …) Cancellation of harmonics 6(2 n-1) 1 , n=1, 2, … has resulted from this transformer and converter configuration.
This principle can be expanded to arrangements of higher pulse number by incorporating increased number of six-pulse converters with transformers which have the appropriate phase shifts. The characteristic ac harmonics of a p-pulse converter will be pk 1 , k=1, 2, 3… More expense for producing high-voltage transformers with the appropriate phase shifts.
Three-phase converter operating as a inverter: seeing 4 -22.
The bridge output voltage Vo must be negative.
4 -6 DC power transmission ․ By using controlled twelve-pulse converter (generally). ․ Used for very long distances of transmission lines. Advantages:(1) , voltage drop↓ in lines ) (2) , line loss ( (3) Two conductors required rather than three (4) Transmission towers are smaller. (5 ) Power flow in a dc transmission line is controllable by adjustment of delay angles at the terminals. (6) Power flow can be modulated during disturbances on one of the ac system. System stability increased. (7) The two ac systems that are connected by the dc line do not need to be in synchronization. Disadvantages:costly ac-dc converter, filter, and control system required at each end of the line to interface with the ac system.
Fig. 4 -23 using six-pulse converter
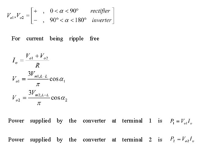
For current being ripple free Power supplied by the converter at terminal 1 is Power supplied by the converter at terminal 2 is
Fig. 4 -24 using twelve-pulse converter (a bipolar scheme)
One of the lines is energized at and the other is energized at. In emergency situations, one pole of the line can operate without the other pole, with current returning through the ground path.
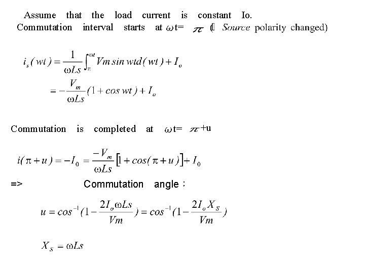
4 -7 commutation :effect of source inductance ( Single-phase bridge rectifier: Fig. 4 -25 )
Assume that the load current is constant Io. Commutation interval starts at ωt= Commutation is completed at ωt= => Commutation angle: +u
Average load voltage is Source inductance lowers the average output voltage of full- wave rectifier.
Three-phase rectifier: Fig. 4 -26
During Commutation from is , The voltage across La Current in starts at I 0 and decreases zero in the commutation interval
During the commutation interval from output voltage is , the converter Average output Voltage: 類似 Single-phase rectifier Source inductance lowers the average output voltage of three- phase rectifiers.