Operations With Functions Lesson 7 7 fgx fx

  • Slides: 9
Download presentation
Operations With Functions – Lesson 7 -7 (f+g)(x) = f(x) + g(x) (f-g)(x) =

Operations With Functions – Lesson 7 -7 (f+g)(x) = f(x) + g(x) (f-g)(x) = f(x) – g(x) (f g)(x) = f(x) g(x) (f/g)(x) = f(x) / g(x), g(x) ≠ 0

Find (f+g)(x), (f-g)(x), (f g)(x), and (f/g)(x) for each f(x) and g(x) • f(x)

Find (f+g)(x), (f-g)(x), (f g)(x), and (f/g)(x) for each f(x) and g(x) • f(x) = 8 x -3 and g(x) = 4 x + 5

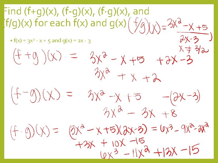
Find (f+g)(x), (f-g)(x), (f g)(x), and (f/g)(x) for each f(x) and g(x) • f(x)

Find (f+g)(x), (f-g)(x), (f g)(x), and (f/g)(x) for each f(x) and g(x) • f(x) = 3 x 2 - x + 5 and g(x) = 2 x - 3

Find (f+g)(x), (f-g)(x), (f g)(x), and (f/g)(x) for each f(x) and g(x) • f(x)

Find (f+g)(x), (f-g)(x), (f g)(x), and (f/g)(x) for each f(x) and g(x) • f(x) = 2 x - 1 and g(x) = 3 x 2 + 11 x - 4

Find (f+g)(x), (f-g)(x), (f g)(x), and (f/g)(x) for each f(x) and g(x) • f(x)

Find (f+g)(x), (f-g)(x), (f g)(x), and (f/g)(x) for each f(x) and g(x) • f(x) = x 2 - 1 and g(x) = 1 / (x+1)

f(x) = 3 x, g(x) = x + 4, h(x) = x 2 –

f(x) = 3 x, g(x) = x + 4, h(x) = x 2 – 1, find each value. • f[g(1)] • g[h(0)] • g[f(-1)] • h[f(5)] • g[h(-3)] • h[f(10)] • [f°(g°h)] (4)

Record each set on a piece of paper. • If you roll: • 1:

Record each set on a piece of paper. • If you roll: • 1: add • 2: subtract • 3: multiply • 4: divide • 5: [f°g](x) • 6: [g°f](x)

Ticket out the Door • Answer the following on the paper with your practice

Ticket out the Door • Answer the following on the paper with your practice problems and turn in to me before you leave: • What do you think that you have a good grasp on in relation to function compositions and operations with functions? • What aspects do you feel you still need more time with? • Complete 7 -7 operations on functions page for homework. • #1 -3, 8 -13, 14 -22 odds