Engr 240 Week 12 Chapter 16 Kinetics of











- Slides: 11
Engr 240 – Week 12 Chapter 16. Kinetics of Rigid Bodies: Forces And Accelerations
Equations of Motion for a Rigid Body and . The system of the external forces is equivalent to the system consisting of the vector attached at G and the couple of moment.
Angular Momentum In Plane Motion Consider a rigid slab made up of a large number of particles of mass. The angular momentum about the centroidal frame Gx’y’ is - position vector of ith particle where: - linear momentum of ith particle But: Therefore which has the same direction as and of magnitude Hence: . Centroidal moment of inertia to the slab. Differentiating both sides with respect to time:
D’ALEMBERT’S PRINCIPLE For a rigid body in plane motion: and , The external forces acting on a rigid body is equivalent to the system consisting of a vector attached to the center of mass G, and a couple of moment. . The two vector equations: three independent scalar equations: and
Translation: Centroidal Rotation: NOTE: Before applying D’Alembert’s principle, it may be necessary to analyze kinematics of motion to reduce the number of unknown kinematic variables.
Example 1. A pulley weighing 12 lb and having a radius of gyration of 8 in is connected to two blocks as shown. Assuming no axle friction, determine the angular acceleration of the pulley and the acceleration of each block.
Example 2. The spool has a mass of 8 kg and a radius of gyration of k. G=0. 35 m about its center. If cords of negligible mass are wrapped around its inner hub and outer rim as shown, determine its angular acceleration.
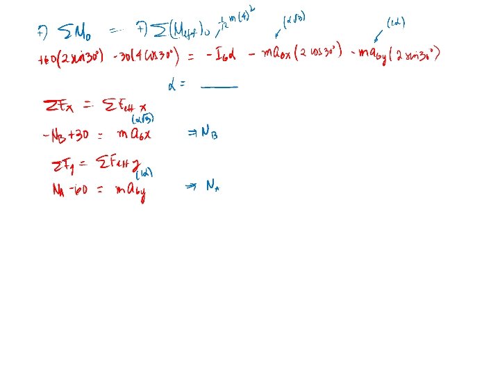
Example 3. A slender bar AB weighs 60 lbs and moves in the vertical plane, with its ends constrained to follow the smooth horizontal and vertical guides. If the 30 -lb force is applied at A with the bar initially at rest in the position shown for which =30 , calculate the resulting angular acceleration of the bar and the forces on the small end rollers at A and B.
Rolling Motion: Rolling Without Sliding
Rolling With Sliding: