Angles Around a Point Digit Puzzle This activity

  • Slides: 7
Download presentation
Angles – Around a Point – Digit Puzzle This activity is designed to allow

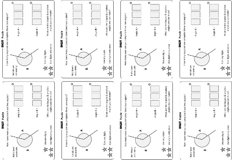
Angles – Around a Point – Digit Puzzle This activity is designed to allow investigation, strategizing & discussion. The puzzle is in 2 sizes. Limited answers are given.

Printing To print handouts from slides Select the slide from the left. Then click:

Printing To print handouts from slides Select the slide from the left. Then click: File > Print > ‘Print Current Slide’ To print multiple slides Click on a section title to highlight all those slides, or press ‘Ctrl’ at the same time as selecting slides to highlight more than one. Then click: File > Print > ‘Print Selection’ To print double-sided handouts Highlight both slides before using ‘Print Selection’. Choose ‘Print on Both Sides’ and ‘Flip on Short Edge’.

DIGIT Puzzle How many ways can you complete these two angles? Not drawn accurately

DIGIT Puzzle How many ways can you complete these two angles? Not drawn accurately Angle A = A B Angle B = Use any digits Use digits only once What are the largest & smallest angles you can make? Some Answers

DIGIT Puzzle How many ways can you complete these two angles? Not drawn accurately

DIGIT Puzzle How many ways can you complete these two angles? Not drawn accurately Angle A = Not drawn accurately A Angle A = A B B Angle B = Use any digits Use digits only once Angle B = Use any digits What are the largest & smallest angles you can make? Use digits only once What are the largest & smallest angles you can make? DIGIT Puzzle How many ways can you complete these two angles? Not drawn accurately Angle A = Not drawn accurately A Angle A = A B B Angle B = Use any digits Use digits only once What are the largest & smallest angles you can make?

Questions? Comments? Suggestions? …or have you found a mistake!? Any feedback would be appreciated

Questions? Comments? Suggestions? …or have you found a mistake!? Any feedback would be appreciated . Please feel free to email: tom@goteachmaths. co. uk