Engr 240 Week 4 Newtons Second Law Chapter








- Slides: 8
Engr 240 – Week 4 Newton’s Second Law
Chapter 12: Newton’s Second Law Net force on a particle is equal to the rate of change of its linear momentum: If the particle’s mass is constant, Above equations true only for inertial reference frames (nonrotating, non-accelerating relative to “fixed stars”). For most applications at or near the earth’s surface, true for reference frames fixed relative to the earth. When more than one force, use vector sum of forces.
Note: Newton’s Second Law is a vector principle. To facilitate its application, we use a graphical representation: FBD EFD FBD – Free-Body Diagram – shows all external forces acting on the body. EFD – Effective-Force Diagram – the inertia vector ( is attached to the body’s center of mass. )
Dynamic Equilibrium • Alternate expression of Newton’s second law, • With the inclusion of the inertial vector, the system of forces acting on the particle is equivalent to zero. The particle is in dynamic equilibrium. • Methods developed for particles in static equilibrium may be applied, e. g. , coplanar forces may be represented with a closed vector polygon. Note: This is not the preferred method.
Systems of Units • International System of Units (SI Units): base units are the units of length (m), mass (kg), and time (second). The unit of force is derived, • U. S. Customary Units: base units are the units of force (lb), length (m), and time (second). The unit of mass is derived,
Example 1. The two crates shown are released from rest. Their masses are m. A = 40 kg and m. B = 30 kg, and the coefficients of friction between crate A and the inclined surface are s= 0. 2, k = 0. 15. What is their acceleration?
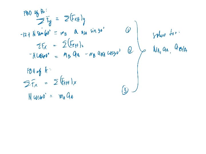
Example 2. The 12 -lb block B starts from rest and slides on the 30 -lb wedge A, which is supported by a horizontal surface. Neglecting friction, determine (a) the acceleration of the wedge, and (b) the acceleration of the block relative to the wedge.