Zavod za unapreivanje obrazovanja i vaspitanja Autor rada
Zavod za unapređivanje obrazovanja i vaspitanja ØAutor rada: Mirjana Mitrović, ЕТŠ” Mihajlo Pupin”, Novi Sad. ØNastavni predmet: Matematika ØTема: Kvadratura ØUzrast: Četvrti ØPotrebna tehnologija: Kliknite ovde za unos prikaza časa u Word dokumentu! Računar i projektor
PRIMENA ODREĐENOG INTEGRALA-KVADRATURA IZRAČUNAVANJE POVRŠINE RAVNIH FIGURA
Definicija: Neka je f pozitivna neprekidna funkcija na intervalu [a, b]. Tada površinu figure ograni čene krivom y=f(x), pravama x=a, x=b i x f(x)dx b -osom P=∫ a definišemo kao y . y=f(x) P 0 a b x
U slučaju kad je f negativna neprekidna funkcija tada se njen b grafik, tj. kriva y=f(x) nalazi ispod x-ose i integral ∫ f(x)dx a će biti negativan broj. Tada umesto krive y=f(x) posmatramo b krivu y=│f(x)│ i P= ∫ │f(x)│dx. a y y=│f(x)│ 0 x y=f(x)
Ovu definiciju zadržavamo i kad funkcija f menja znak na intervalu [a, b]. y y=f(x) a c 0 b d b c d x b P= a∫ │f(x)│dx = a∫ f(x)dx - c ∫ f(x)dx + d∫ f(x)dx.
Definicija: Neka su f i g neprekidne funkcije na intervalu [a, b] i f(x) ≥ g(x) za svako x bkoje pripada intervalu [a, b]. Tada važi: P= a∫ (f(x) – g(x))dx. y y=f(x) y=g(x) 0 a b x
Ako su funkcije f i g negativne i figura, ograničena sa dva luka krive, se nalazi ispod x-ose, onda je površina te figure jednaka površini figure ograničene krivama koje se dobijaju transliranjem krivih y=f(x) i y=g(x) duž y-ose. y=f(x) y y=g(x) 0 a y=f(x) y=g(x) b x
Ako nije ispunjen uslov f(x) ≥ g(x) za svako x iz intervala [a, b], već se krive y=f(x) i y=g(x) seku u konačno mnogo tačaka, tada važi: b P= a∫│f(x) – g(x)│dx. y y=f(x) y=g(x) 0 a c b x
1. Izračunati površinu ograničenu linijama y = 2 x + 4 i 2. y =2 x - 6. Presečne tačke:
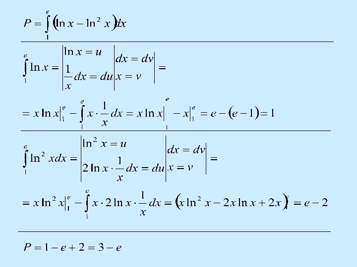
2. Izračunati površinu figure ograničene krivama y=lnx i y=ln 2 x.
2 3. Izračunati površinu ograničenu krivama y = √x i y=x.
ZADACI ZA VEŽBU 1. Izračunati površinu figure ograničene krivama xy=2 i x+2 y-5=0. 2. Izračunati površinu figure ograničene krivama y=2 x-x 2 i x+y=0. 3. Izračunati površinu figure ograničene linijama 2 x = -1, y = 0, y = x + 1 i tangentom krive u tački A(1, 3). 4. Izračunati površinu figure ograničene krivama 2 x y= 2 i x 2 + y 2 = 8.
- Slides: 14