You are where you Email Using Email data












- Slides: 12
You are where you Email : Using Email data to estimate International Migration Rates
Abstract • Age and gender specific migration data extracted from a large sample of Yahoo email messages • Used geo-located data from IP addresses of the people who sent emails • Overcome selection Bias • Findings suggest that email data complements the migration data
Related Work • Estimation of International Migration Flow Tables in Europe • When men and women migrate : Comparing gendered migration in USA • Discovering Spatiotemporal Mobility Profiles of cell phone users
• Geographic scale of work is global • Previous researches focussed on mobility within the country or city. This research has managed to keep a track of cross border movements for fairly long period of time (2 years)
Challenges • People may not register at all • Lag between time of residency and registration • May not register for economic incentives • Registration systems are not well setup • May be registered at two places at a time • Lag between collection of data and publishing
Data a. Geographic information b. Self reported demographic information of Yahoo! Users c. Migration rates for 11 European countries collected fro National statistical agency d. International statistics on Internet penetration rate
Methods 1. Estimation of Emigration Profile by Gender and age * define migration * To infer on population develop a model * Validate profile of age specific rates
2. Selection Bias Correction
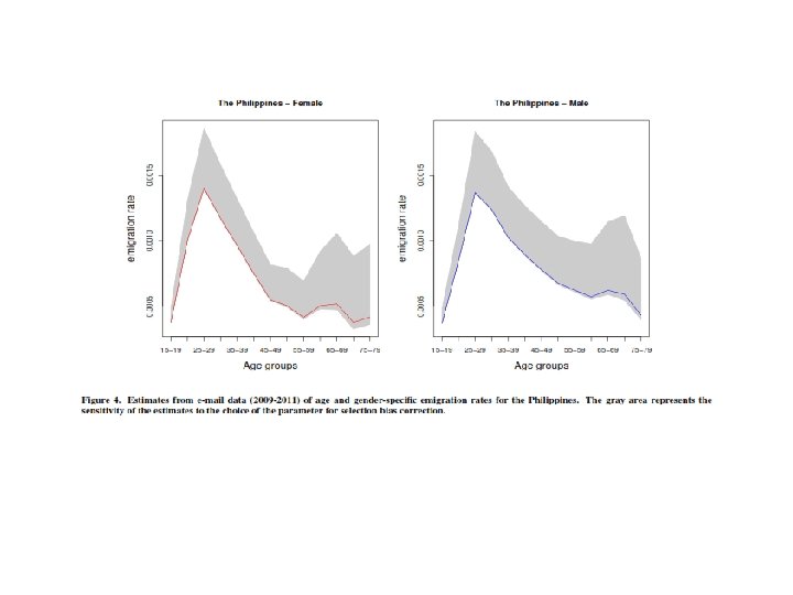
Emigration results
Mobility rates over time
Observations: - International Mobility has increased globally in both trimesters since 2009 - There are few countries where it decreased after first trimester - Some observed very little mobility - International mobility has been higher for females - US 25 -30 and Mexico 15 -20 age group