XXI Congresso Nazionale 24 Giugno 2011 Proposta nuovi

































- Slides: 33
XXI Congresso Nazionale 24 Giugno 2011 Proposta nuovi protocolli clinici SIUr. O e update protocolli PSA-Ig. M Andrea B. Galosi Clinica Urologica, Ospedali Riuniti, Ancona
TITOLO Accuratezza diagnostica dell’immunocomplesso PSA-Ig. M nella diagnosi precoce del carcinoma prostatico
Studio PSA-Ig. M • Studio spontaneo • Osservazionale • Prospettico • Multicentrico • Test diagnostico
PSA-Ig. M: Razionale Gli immunocomplessi rappresentano una nuova classe di biomarcatori con un maggiore potenziale diagnostico, se comparato al biomarcatore libero corrispondente.
La recente scoperta di immunocomplessi formati da immunoglobuline della classe M (Ig. M) e biomarcatori tipici della neoplasia epatica e del colon retto (SCCA e CEA) 1. Pontisso P, Quarta S, Caberlotto C, Beneduce L, Marino M, Bernardinello E, Tono N, Fassina G, Cavalletto L, Gatta A, Chemello L - Progressive increase of SCCA-Ig. M immune complexes in cirrhotic patients is associated with development of hepatocellular carcinoma. Int J Cancer, 2006, 119: 735 -40 2. Castaldi F, Marino M, Belluco C, De Marchi F, Mammano E, Nitti D, Lise M, Fassina G - Detection of circulating CEA-Ig. M complexes in early stage colorectal cancer. Int J Biol Markers, 2005, 20: 204 -8. 3. Beneduce L, Castaldi F, Marino M, Quarta S, Ruvoletto M, Benvegnù L, Calabrese F, Gatta A, Pontisso P, Fassina G -Squamous cell carcinoma antigen–Ig. M complexes as novel biomarkers for hepatocellular carcinoma. Cancer, 2005, 103: 2558– 65. 1.
Il ruolo delle Ig. M Le Ig. M multivalenti sono considerate la principale componente dell’immunità innata, essendo capaci di legarsi ad un ampio range di antigeni tumorali I biomarcatori tumorali possono formare immunocomplessi circolanti, costituiti dal biomarcatore associato alle Ig. M, riscontrabili nel siero dei pazienti.
PSA-Ig. M: Razionale Immunocomplessi: la teoria dell’ Immunosorveglianza L’immunosorveglianza tumorale prevede che il sistema immunitario possa riconoscere e distinguere gli antigeni tumore-specifici (immunoediting) dagli effettori immunitari nativi o adattativi e, nella maggior parte dei casi, distruggere le cellule tumorali prima che esse diventino clinicamente rilevabili.
PSA-Ig. M: Razionale Le 3 fasi dell’Immunoediting • Nella fase di eliminazione il sistema immunitario riconosce le cellule tumorali e le annienta completamente o parzialmente. • Nella fase di equilibrio il tumore e il sistema immunitario si neutralizzano. • Nella fase di “fuga” si selezionano delle varianti cellulari tumorali che sono in grado di evadere la risposta immunitaria, la proliferazione delle cellule tumorali sfugge al controllo del sistema immunitario e il tumore continua a crescere.
L’immunoediting è un processo dinamico costituito da 3 fasi: eliminazione, equilibrio e fuga…
IMMUNOCOMPLESSI PSA-Ig. M, UNA NUOVA CLASSE DI BIOMARCATORI PER IL CANCRO ALLA PROSTATA…
Distribuzione dei levelli di PSA-Ig. M (cut off = 145, 1 AU/m. L) Beneduce et al. Cancer Detection and prevention 2007, 31: 402 -407
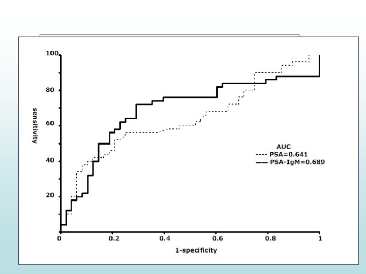
Confronto tra il PSA con cut-off 4 e 10 ng/m. L ed il PSA-Ig. M • Specificità del PSA-Ig. M (88%) rispetto al PSA 4 (SP = 4%) e al PSA 10 (SP = 71%) • Sensibilità di PSA-Ig. M (40%) rispetto al PSA 10 (22%) è quasi raddoppiata • Uso combinato di PSA-Ig. M e PSA 10 porta i livelli di sensibilità e specificità rispettivamente al 60% e al 63% (7)
Determinazione PSA-Ig. M tramite metodica ELISA (Enzyme-Linked Immuno. Sorbent Assay) Anticorpo PRIMARIO anti-PSA Campione da analizzare Anticorpo SECONDARIO anti-PSA-Ig. M coniugato con PEROSSIDASI Cromogeno Intensità del pozzetto [PSA-Ig. M] next >>
Disegno dello studio Multicentrico prospettico Analisi di una coorte di 150 pazienti destinati a re-biopsia prostatica, in precedenza sottoposti a prima biopsia, con esito negativo
Obiettivo primario • Verificare l’utilità diagnostica del PSAIg. M come indicatore della presenza del carcinoma nella seconda biopsia – Sensibilità e specificità, VPP, VPN – Accuratezza diagnostica
Obiettivi secondari 1. Correlazione con il Gleason score bioptico 2. Correlazione allo stadio clinico (TNM) 3. Validazione del valore ottimale di cut-off (definito dalla curva ROC) 4. Correlazione con la categoria di rischio clinico (NCCN 2010) e all’evoluzione clinica
CRITERI DI INCLUSIONE • Se il valore di PSA è costantemente superiore a 10 ng/m. L • Quando la PSA velocity è superiore a 0. 75 ng/m. L/anno • In presenza di ASAP o HGPIN • Se la prima biopsia risulta inadeguata (meno di 6 prelievi, assenza di ghiandole prostatiche, frammenti troppo piccoli o non leggibili) • Prelievi ematici presso la struttura ospedaliera (Emocromo, PTT, eventuale ripetizione del PSA)
CRITERI DI ESCLUSIONE • Neoplasie concomitanti • Malattie auto immuni • Infezioni clinicamente in atto • Terapia cortisonica • Terapia immunosoppressiva • Trattamento con inibitori 5 -alfa redattasi • Pazienti che non eseguono prelievi ematici preliminari alla biopsia presso la struttura ospedaliera
ANALISI STATISTICA ( by L. Pappagallo) • Statistica Descrittiva • Curve ROC • PSA-Ig. M, cut off 145 AU/m. L – 30 -40 paz veri positivi è la stima attesa dei paz con Ca. P individuati nei 150 – semi‑ampiezza dell’interv. conf. (assunto come misura del grado di precisione delle stime di sensibilità e specificità) è circa 8%. • Potenza statistica 90% per incrementi di sensibilità/specificità compresi tra 10% e 15%, partendo da valori attesi (ipotesi nulla) di 80% e 50% rispettivamente.
PSA-Ig. M • Lo studio prevede di raccogliere del siero del paziente, che fa parte di un prelievo di sangue programmato e necessario alla regolare pratica clinica. • Tale prelievo ematico è necessario e preliminare alla biopsia prostatica – test emocagulativi, – emocromo ed eventuale ripetizione del PSA
PSA-Ig. M • Il prelievo ematico – NON deve essere eseguito per il solo PSAIg. M – Rientra nella routine del centro – Segue i protocolli assistenziali e la copertura assicurativa ospedaliera – Segue le modalità stabilite senza devianze dai protocolli vigenti presso le singole strutture
RECLUTAMENTO • Paziente idoneo alla re-biopsia • Foglio informativo di partecipazione • Prelievo ematico eseguito presso struttura per accertamenti pre-biopsia + donazione di 10 ml di sangue ai fini dello studio • Consenso – Non è previsto nessun tipo di compenso economico – I risultati del test saranno comunicati alle visite di controllo dal Suo urologo, ma non influenzeranno alcuna decisione terapeutica. – “semplice gesto potrà aiutare chi, come Lei, è affetto da questa patologia”
Centri Partecipanti 1) Centro Regionale indicatori biochimici di tumore – Venezia (Gion M. ) 2) Ospedale Ca Foncello – Treviso (Fandella A. ) 3) Ospedale S. Orsola Malpighi – Bologna (Bertaccini A, Schiavina R, Marchiori D. ) 4) Villa Tiberia – Roma (Vincenti G. ) 5) Presidio Sanitario Grandenigo – Torino (Squeo M. S. ) 6) Ospedali Riuniti di Ancona (Galosi A. ) 7) Policlinico G. B. Rossi – Verona (Novella G. ) 8) I. N. R. C. A. – Ancona (Pierangeli T. ) 9) Clinica Urologica di Novara (Marchioro G. ) 10) Urologia Torvergata – Roma (Virgili G. ) 11) Urologia S. Raffaele – Milano (Nava D. L. ) 12) Ospedali Riuniti di Bergamo (Roscigno M. ) 13) Ospedale di Asti (Cussotto M. ) 14) Ospedale di Forlì (Gunelli R. ) 15) Ospedale di Castellanza – Varese (Consonni P. ) 16) Ospedale di Fidenza – Parma (Benecchi L. ) 17) Azienda Universitaria Federico II – Napoli (Montanaro V. ) 18) Policlinico Universitario di Palermo (Serretta V. ) 19) Istituto Tumori Regina Elena (Canitano S, Sentinelli S. ) 20) Policlinico di Bari (Martino P. ) Coordinatori Scientifici Bertaccini - Fandella - Galosi - Gion
COSTI • Spese sostenute dalla SIURO – – – • • Approvazione comitati etici Spedizione Analisi Kit dosaggio Raccolta CRF Analisi dei dati Assenti i costi aggiuntivi per Ospedale Assenti i costi assicurativi addizionali Polizza ospedale per prelievo ematico Non prevede finanziamenti, né compensi per gli sperimentatori
D. L. 14. 7. 2009 • Il Decreto Legislativo del 14 Luglio 2009 riguardante i requisiti minimi per le polizze assicurative a tutela dei soggetti partecipanti alle sperimentazioni cliniche dei medicinali • Art. 4 si chiarisce che tali criteri non sono applicabili agli studi osservazionali.
Time Table • Gennaio 2011 – Approvazione Comitato Etico centro coordinatore Ospedali Riuniti, Ancona, Maggio 2011 – Ready to start: Ancona – Attivazione di altri centri • Attivazione del Laboratorio Centrale di Venezia • Reclutamento (10 casi /centro = 200 casi) ed analisi dei dati • Report SIUr. O Bologna 2012
Raccolta - Analisi - Spedizione • Prelievo ematico 5 ml di sangue da distribuire in una provetta con separatore di siero integrato SST II Advance gel acrilico Silice micronizzata. • Centrifuga 1. 500 g (3200 RPM) x per 10 -20 min a temperatura ambiente (20 -25°C) • Stoccare a - 80°C, (in alternativa a - 20° per non più di 6 mesi) il siero così ottenuto in provette criogeniche con tappo a vite da 2 ml. • Le analisi saranno centralizzate in unico laboratorio.
Identificazione della provetta
PROTOCOLLO DI TRASPORTO Tutti i materiali biologici devono essere trasportati: • In contenitori con ghiaccio secco che garantiscano una temperatura controllata per almeno 48 ore. • Corriere TNT • I codici identificativi del pacco e del trasporto • Documento che fornisca la tracciabilità • Le spedizioni saranno effettuate dal lunedì al mercoledì Dr. Gion Massimo Ospedale Civile di Venezia Castello 6777 30122 – Venezia
Disponibili alla partecipazione 1. Bertaccini, Schiavina, Marchiori, Martorana 2. Benecchi 3. Canitano 4. Consonni 5. Cussotto 6. Fandella 7. Galosi, Muzzonigro 8. Gunelli 9. Marchioro 10. Martino 10. 11. 12. 13. 14. 15. 16. 17. 18. 19. Montanaro Nava Novella Pierangeli Roscigno Serretta Sentinelli Squeo Vincenti Virgili
FASE 5: analisi dei dati L’ultima fase prevede la costruzione della curva standard dai valori di OD del calibratore. Le concentrazioni dei campioni vengono estrapolate dalla curva. La concentrazione di PSA-Ig. M viene espressa in unità arbitrarie (AU) per m. L (AU/m. L).
PSA-Ig. M Le procedure diagnostiche corrispondono alla pratica clinica corrente e non alterano la gestione clinica del paziente