www mathsrevision com Higher Maths Objective Questions Units
www. mathsrevision. com Higher Maths Objective Questions Units 1 Units 2 Units 3 Straight Line Polynomials Vectors Functions & Graphs Quadratics Logs & Exp Trigonometry Integration Wave Function Recurrence Relations Addition Formulae Further Calculus Differentiation The Circle Thursday, December 3, 2020 Created by Mr. Lafferty Maths Dept.
Answer: C
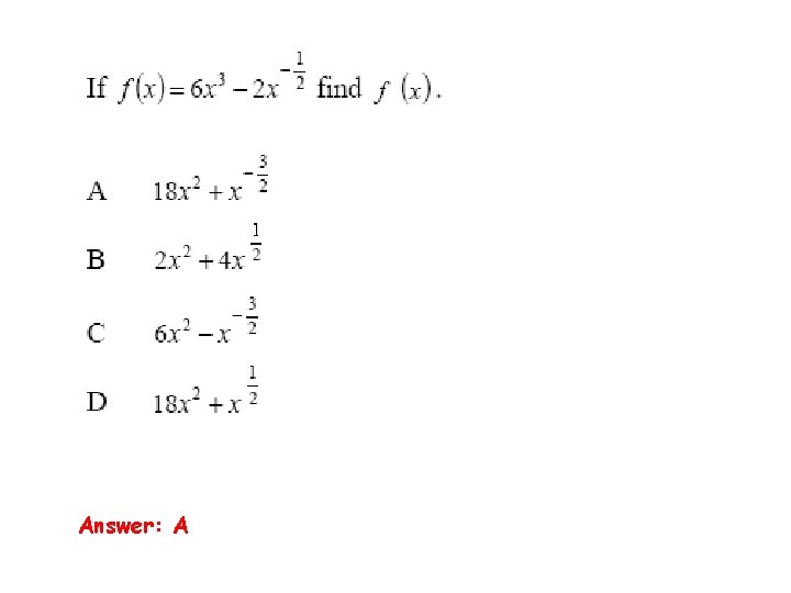
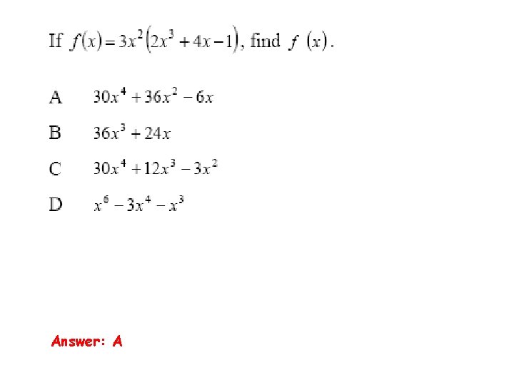
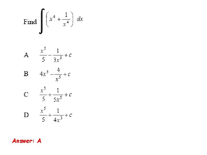
Answer: A
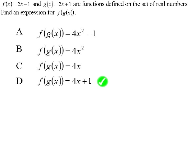
Answer: D
Answer: D
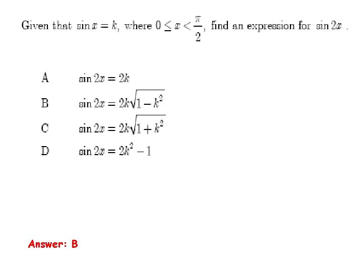
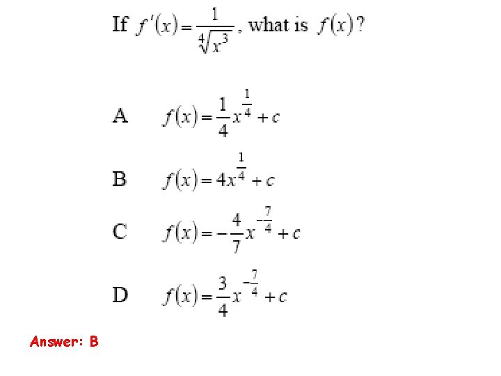
Answer: B
Answer: B
Answer: C
Answer: B
Answer: C
Answer: C
Answer: B
‘ Answer: D
Answer: C
Answer: A
Answer: A
Answer: A
Answer: D
Answer: D
Answer: A
Answer: A
Answer: B
Answer: D
Answer: A
Answer: C
Answer: B
Answer: C
Answer: C
Answer: A
Answer: B
Answer: A
Answer: A
Answer: B
Answer: D
Answer: C
Answer: C
Answer: D
Answer: B
Answer: C
Answer: B
It reads x to the power of 4/3 Answer: C
Answer: A
Answer: A
Answer: A
Answer: C
Answer: D
Answer: D
Answer: B
Answer: A
Answer: A
Answer: C
Answer: A
Answer: B
Answer:
Answer: A
Answer: B
Answer: B
Answer: A
Answer: C
Answer: A
Answer: B
Answer: D
Answer: C
Answer: B
Answer: B
Answer: B
Answer: D
Answer: D
Answer: D
Answer: C
Answer: B
Answer: C
Answer: C
Answer: A
Answer: C
Answer: A
- Slides: 141