Work Energy Day 1 Introduction I A Define















































































































- Slides: 111
Work & Energy Day #1: Introduction
I. A. Define Work: Work is a measure of what is accomplished when a force is applied onto an object while the object moves. The object must be moving while the force is applied. B. Equation of work: Work is defined as the product of the force applied on an object and the displacement of the object.
F = force acting on the object Dx = displacement of the object The angle q is the angle between the direction of the force F and the displacement Dx.
C. Units for work: The product of force and displacement gives units of newtons times meters. This unit is given a special name: joule = J The relationship is given as follows:
D. Alternate expression for work: The term F||=Fcosq is the component of the force F that is parallel to the displacement Dx. The work is the product of these two parallel components.
E. Work and sign (±): For the equation of work on the left, there is a dependence on the direction of the force relative to the displacement. If 0 o ≤ q < 90 o, then the work is positive. If 90 o < q ≤ 180 o, then the work is negative. If F|| points in the same direction as the displacement Dx, then the work is positive. If F|| points in the opposite direction as the displacement Dx, then the work is negative.
Ex. #1: A 10. 0 kg mass is pulled towards the right 10. 0 m by an applied force of 40. 0 N. The applied force also points towards the right and the object moves at a constant velocity. (a) Draw all the forces acting on the object. n = Normal Force Fk = Kinetic Friction Force Fo = Applied Force mg = Weight Dx = Motion
(b) What is the work done by the normal force? (c) What is the work done by the weight force of the object? General Rule: Any force applied perpendicular to the motion does not do any work!
(d) What is the work done by the applied force?
(e) What is the work done by the friction force? Fk = Kinetic Friction Force Fo = Applied Force Since the object moves at a constant velocity, the forces balance!
(f) What is the net work on the object?
Ex. #2 Is it possible to do work on an object that remains at rest? Why of why not? NO. Work requires a displacement: Ex. #3: A box is being pulled across a rough floor at a constant speed. What can you say about the work done by friction? 1) friction does no work at all 2) friction does negative work 3) friction does positive work Friction points opposite to the motion of the object!
Ex. #4: Can friction ever do positive work? YES! Consider a box placed on the back of a flatbed truck: Fs When the truck drives forwards, the inertia of the box makes the box appear to slide to the back of the truck. Friction between the box and the truck pulls the box forward, opposing its motion towards the back of the truck.
Ex. #5: In a baseball game, the catcher stops a 90 -mph pitch. What can you say about the work done by the catcher on the ball? 1) catcher has done positive work on the ball 2) catcher has done negative work on the ball 3) catcher has done zero work on the ball The force exerted by the catcher is opposite in direction to the displacement of the ball, so the work is negative Or using the definition of work (W = F d cos q ), since q = 180 o, then W < 0. Note that because the work done on the ball is negative, its speed decreases. Follow-up: What about the work done by the ball on the catcher?
Ex. #6: A man with a weight of 735 N stands in an elevator that accelerates upwards at 1. 20 m/s 2 for 5. 00 m. (a) What is the work done by gravity? n = Normal Force NOTE: Since the object moves upwards, and the weight points downwards, q = 180 o. mg = Weight
(b) What is the work done by the normal force? NOTE: Since the acceleration is given, solve for the normal force using Newton’s 2 nd Law: The sum of the forces is: NOTE: the weight is given, not the mass!
NOTE: Since the object moves upwards, and the normal force points upwards, q = 0 o.
Ex. #7: A block is pulled towards the right with a force of 50. 0 N applied at an angle of 36. 9 o above the horizontal. The block is already in motion and moves a distance of 20. 0 meters at a constant velocity. (a) What is the work done by the applied force? Fo n = normal FK q = 36. 9 o m mg = weight
(b) What is the work done by the force of friction? The object moves at a constant velocity, which means the forces balance. Friction will balance the horizontal component of the applied force. Note that the net work is zero when the velocity is constant.
(c) If the block has a mass of 12. 0 kg, what is the coefficient of kinetic friction? n = normal FK q = 36. 9 o m mg = weight Fo
Ex. #8: A mass of 44. 0 kg is pulled towards the top of a ramp at a constant speed by an applied force. The applied force is parallel to the ramp, and points towards the top of the ramp. The coefficient of friction between the ramp and the surface is 0. 400 and the block is pulled a distance of 5. 00 meters up the ramp. What is the work done by each force? What is the total work on the object? The angle of the incline is 30. 0 o.
The first step is to solve for each force: tit ut e The ┴ forces balance: sub definition stitu te su bs From the definition of kinetic friction: The net force parallel to the ramp is zero as well:
The work done by the normal force is zero: Calculate the work done by gravity through its components. Only the parallel component will do work.
The work done by the applied force is:
The work done by the friction force is: Finally, the total work done is:
Work & Energy Day #2: Work Energy Theorem
A 10. 0 - kg block of wood rests on the lab bench. A force of 50. 00 N force is applied at a 30. 0 degree angle above the horizontal and it moves with constant velocity. 1. Calculate the weight. 2. Calculate the normal force. 3. How much work is done to move the block 1. 00 meters? 4. Calculate the frictional work. 5. Calculate the coefficient of friction. 1. W = mg = 98 N 2. N= mg- Fapplied X Sinɵ = 73 N 3. Wapplied = F‖X distance = Fapplied. XCosɵ 4. Wfriction = - W applied = -43 J 5. µ = Ff/N = = 43 N/73 N= 0. 59 X 1 m = 43 J
Work Energy Theorem I. Introduction: A. What is energy? Energy is defined as the ability to do work. If an object has energy, then this object can perform work. Energy and work are two forms of the same overall concept.
B. What are the types of energy? 1. kinetic energy: Kinetic Energy is defined as energy associated with motion. Work can be done from the movement of an object. wrecking water ball wheel 2. potential energy: Potential Energy is defined as energy associated with position. Energy can be stored in an object by virtue of its position. pile driver #2
C. Equation and units for kinetic energy: Definition of kinetic energy KE: follow the equation for units: work and energy are two parts of the same overall concept, therefore they share the same units
D. What is the work energy theorem? The work energy theorem states that the change of the kinetic energy of an object is equal to the total amount of work done on the object. Note: the net work can be found by either finding the sum of the work done by each individual force or by finding the work done by the net force.
II. Examples: Example #1: What is the kinetic energy of a 10. 0 kg mass moving at 6. 00 m/s? Ex. #2: What speed should a 2. 50 kg mass have so that it has the same kinetic energy as the above example? fast solution: m and v 2 are inversely proportional. implies so finally
Ex. #3: {on your own} If a third mass has a speed of 4. 00 m/s, what should its mass be so that it has the same kinetic energy as that of problem #1?
Ex. #4: A force of 20. 0 N pushes a 10. 0 kg mass for a distance of 10. 0 meters. The surface is frictionless. What is the speed of the object if it starts from rest?
Ex. #5: {on your own} How much force is needed to push a 4. 00 kg mass from a speed of 5. 00 m/s to a speed of 7. 00 m/s in a distance of 5. 00 meters?
Ex. #6: A mass of 10. 0 kg is raised by a rope with a force of 110 N. a. What is the work done by this force if the mass is raised upwards 2. 40 meters? = 264 J b. What is the work done by gravity?
c. What is the net work on the object? Wnet > 0, object speeds up d. What is the speed of the object at the end of the motion if the mass starts from rest?
Ex. #7: A 4. 00 kg mass has an initial upward velocity of 14. 0 m/s. A cord is lifting upwards on the mass. If the mass slows uniformly to a stop in a distance of 40. 0 meters, what is the lifting force?
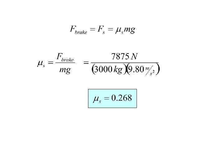
Ex. 8: A 3000 kg car has an applied force of 2500 N moving the car forwards. At the same time, there is a 1500 N resistive force acting on the car. a. How much distance is needed to accelerate the car from 20. 0 m/s to 25. 0 m/s?
b. How much braking force is needed to slow the car from 25. 0 m/s to a stop in a distance of 100 meters? What is the needed coefficient of static friction?
Ex. #9: If the speed of an object is doubled from speed v to speed 2 v, what happens to the kinetic energy of the object? How does the distance compare for pushing the object from rest to speed v as compared to pushing the object from rest to speed 2 v? implies For accelerating an object: so that
For accelerating from 0 → v: For accelerating from 0 → v compared to 0 → 2 v: implies so that
Ex. #10: A 1. 80 -kg particle has a speed of 2. 0 m/s at point A and a kinetic energy of 22. 5 J at point B. What is (a) its kinetic energy at A? (b) its speed at point B? (c) the total work done on the particle as it moves from A to B?
Work & Energy Day #3: Conservation of Energy Hw: Handout #3 {back of notes packet} Day #1: #2, 4, 6 – 10 all Day #2: #1, 3, 5, 13 Day #3: #17 – 22 all
Potential Energy and Conservation of Energy. I. Introduction. A. What is potential energy? Potential Energy is defined as energy associated with position. Energy can be stored in an object by virtue of its position.
B. What is the difference between a conservative and non–conservative force? Work is calculated by applying a force on an object from some starting point to some finishing point. It is possible to take different paths from a given starting point to a given ending point. The work done by a conservative force is independent of the path taken from start to finish. A non – conservative force is not conservative, the work does depend on the path taken.
C. How is potential energy defined? Potential energy is defined for conservative forces only. DPE = change of potential energy between two points. {some books use U instead of PE} Wc = work done by some conservative force between the same two points {start to finish}
D. Derive the potential energy of gravity near Earth’s surface. Work done in lifting an object upwards: DPE equals the minus of the work: Potential energy increases as an object rises upwards.
Work done in lowering an object downwards: DPE equals the minus of the work: Potential energy decreases as an object lowers downwards.
E. Derive the work done by gravity and the potential energy of gravity on an incline. The motion of the mass will be parallel to the ramp. Only the parallel component of gravity will do work.
For motion to the top of the ramp: If F|| points in the opposite direction as the displacement Dx, then the work is negative. This is the same result as lifting the object straight upwards! The change in the PE only depends on the vertical height gain, not the path! conservative
In General: Potential energy increases with height. Define the PE for any height as follows: Let the y – axis be the vertical axis, and pick some point to be the origin. This is the point of zero potential energy. The PE at any height y is given as: Since y can be negative, PE can be negative. Example: The student has hit rock bottom (y = 0) and is showing signs of digging.
II. Examples. Ex. #1: A ball of mass 0. 500 kg has a potential energy of 49. 0 J relative to the ground. a. How high above the ground is the ball initially? Let the ground level be zero height.
b. How much kinetic energy will the ball have when it reaches the bottom? How fast will the ball be traveling? The ball loses 49. 0 J of PE as it falls. and
Ex. #2: A mass of 4. 00 kg slides down an incline that measures 2. 40 meters tall and 4. 00 meters along the ramp. The mass starts from rest and the ramp is frictionless. a. What is the starting potential energy of the mass, relative to the ground? PE only depends on vertical height. y = 0 at bottom.
b. What is the kinetic energy and speed of the mass at the bottom of the ramp? The ball loses 94. 08 J of PE as it falls. and
III. Force and potential energy stored in a spring. A spring is known as a linear restoring force. xi is the location where the end of the spring would sit if there were no forces applied to pull or push the spring. This is the equilibrium point.
A linear force means the strength of the spring’s push or pull is proportional to the distance x the end of the spring is pulled from equilibrium. The equation of the force is written in the form: F = force from spring x = distance from equilibrium k = spring constant The spring constant is the relative stiffness of the spring, measured in newtons per meter, N/m.
A restoring force always pulls (or pushes) the end of the spring back to the equilibrium point, to restore the original position of the end of the spring.
Stretching or compressing a spring stores energy into the spring. The amount of energy stored in a spring is:
Omit next several slides.
IV. Conservation of Energy. A. Derive the expression for conservation of energy for an object moving under only conservative forces. Start with the work energy theorem: Separate the net work into that of conservative forces and that of nonconservative forces.
Remember how potential energy is defined in terms of the work done by conservative forces: Combine this with the work energy theorem:
Rearrange the terms so that everything with a “final” is put on the left and everything with an “initial” is put on the right: If there were no nonconservative forces, then the equation becomes:
This suggests the sum of the kinetic energies and potential energies remains constant throughout some process. Define the total mechanical energy, E, of an object to be: The energy equation becomes: This is known as the conservation of energy. Energy is not created or destroyed during some process, only changed from one form into another.
B. Include nonconservative forces in the statement of conservation of energy. Note: For solving problems, anytime an “applied force” is given, the work from this force can by lumped into the work done by nonconservative forces.
V. Examples: Ex. #3: A spring requires a force of 40. 0 N to compress it 5. 00 cm. A 200 gram mass is placed against the compressed spring and released from rest. All surfaces are frictionless. a. What is the spring constant of the spring? b. What is the potential energy stored in the spring?
c. What is the speed of the projectile when it is released by the spring?
Ex. #4: A 20. 0 gram projectile is compressed against a spring with a spring constant of 400 N/m. The spring is compressed 15. 0 cm and the projectile is launched vertically upwards. How high above its starting position will the mass rise? finishing height for PE of gravity, y = ? Spring no longer compressed. All energy is potential energy of gravity. starting height for PE of gravity, y = 0. Spring compressed 0. 150 m at this position. All energy is potential energy in spring.
Ex. #5: A pendulum is made of a heavy mass attached to and suspended from a long, light cord. The cord for this pendulum measures 2. 00 meters long and the mass, or “bob”, measures 4. 00 kg. Take the lowest point for the mass as zero potential energy. The pendulum is pulled to an initial angle of 30. 0 o from vertical and released from rest. a. Write an equation that gives the height of the pendulum mass from the lowest point in terms of the length of the cord and the initial angle from the vertical.
b. What is the initial potential energy of the pendulum mass?
c. What is the speed of the mass at the bottom of the swing of the pendulum? starting PE turns into KE at the bottom of the swing.
d. How far will the pendulum swing to the other side after passing the lowest point? Since no energy is lost, the starting PE and the ending PE at the extremes of the swing are equal. Thus the heights are equal and the angles are equal.
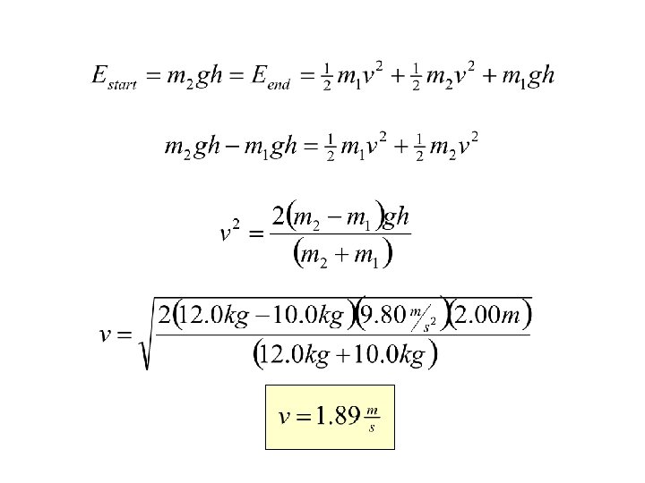
Ex. #6: An Atwood’s machine has a mass, m 1, of 10. 0 kg suspended on the left and a mass, m 2, of 12. 0 kg suspended on the right. If the heavier mass begins 2. 00 m above the ground and the lighter mass starts at ground level, how fast will the system be traveling when the heavier mass reaches the ground? m 2 m 1 Initially everything starts from rest, so no initial KE. Only m 2 has PE, as it is above the ground. At the end of the motion, both masses are moving, so both objects have KE. Only m 1 is above the ground, so only it has PE.
VI. Examples with Nonconservative Forces. Ex. #7: A 2. 00 kg mass is attached to a spring with a spring constant of 500 N/m. The spring is compressed 10. 0 cm and the mass is released. After passing the equilibrium position, the spring stretches to 4. 00 cm when the mass again stops. Determine the friction force and the coefficient of kinetic friction for the mass on the support surface. motion Fdrag 10 cm compression displacement = 14 cm extension equilibrium
Start with energy conservation: The mass starts and finishes at rest, so the initial and final energy only consist of potential energy.
vertical forces balance Fdrag by definition:
Ex. #8: A mass of 10. 0 kg starts from rest at the top of a frictionless ramp 5. 00 meters tall. At the bottom of the ramp, the mass slides on a horizontal surface that has a coefficient of kinetic friction of 0. 300. a. What is the speed or the mass at the bottom of the ramp? Initial energy = PE Final energy = KE
b. How far along the surface will the mass travel before it comes to a stop? vertical forces balance Fdrag motion by definition:
no height change along flat ground, no change to PE
Ex. #9: A mass, m 1, of 10. 0 kg is set on a horizontal table with a coefficient of kinetic friction of 0. 200. A light cord ties this mass to another mass, m 2, of 6. 00 kg suspended over the edge of the table. If the suspended mass falls a distance of 1. 00 meter, how fast will the pair of masses be traveling? m 1 does not change height, ignore its PE contribution. m 1 m 2 has initial height & PE, but no height and PE at end. Both masses start from rest and have the same speed at the end. Use energy conservation on the whole system.
m 1 slides same distance m 2 falls
Power I. Introduction. A. Define average power and instantaneous power. B. Equations. Average Power is defined equal to the work done on an object divided by the elapsed time. Instantaneous Power is rate work is done at one instant of time. W = work, t = elapsed time, F = force, v = velocity
C. Units. This unit is given its own special name: watt = W
II. Examples. Ex. #1: An automobile engine is capable of producing a maximum of 240 hp. If the car can travel at 115 mph at this full power, how much force is the engine applying towards forward motion of the car? Horsepower is an older unit of power, and it is equal to 746 W. Convert values to metric:
Use instantaneous power:
Ex. #2: An electric motor on an elevator is rated at 5. 00 k. W and is used to lift 12, 500 N elevator to a height of 100 meters. How much time will it take for the elevator to rise to this height? Pave = 5. 00 k. W = 5000 W F = 12, 500 N Dx = 100 m
Ex. #3: Bubba notices that his 3000 kg Lincoln slows from 80. 0 mph to 60. 0 mph in a time of 8. 00 seconds if he lets the car coast in neutral. What is the power needed from the motor to keep the car running at a constant velocity of 80. 0 mph?
Use kinematics to find the acceleration of the car: The slowing comes from a friction force:
The car must produce this same force forwards to maintain a constant 80. 0 mph. The power output is then: Converting to horsepower gives:
Ex. #4: The electric motor of a golf cart can accelerate the golf cart from rest to 10. 0 m/s in a time of 5. 00 seconds. The mass of the cart with passengers is 700 kg. What is the average power delivered by the motor during the acceleration? What is the instantaneous power at the top speed? If the motor is rated at 25 hp, what is the efficiency of the electric motor at top speed? Use kinematics to find the acceleration of the car and the distance traveled:
Average Power:
Instantaneous Power at Top Speed:
Efficiency:
Ex. #5: A fully loaded, slow moving freight elevator has a cab with a total mass of 1, 200 kg, which is required to travel upward 54 m in 3. 0 minutes. The elevator’s counterweight has a mass of only 950 kg. So, the elevator motor must help pull the cab upward. What average power (in horsepower) is required of the force that the motor exerts on the cab via the cable? The counterweight drops downwards as the elevator rises upwards, so the counterweight lifts on the elevator with a force equal to its weight.
The work done is: The average power is: Converting units:
Ex. #6: Mike applied 10 N of force over 3 m in 10 seconds. Joe applied the same force over the same distance in 1 minute. Who did more work? Both exerted the same force over the same displacement Therefore, both did the same amount of work Time does not matter for determining the work done
Ex. #7: Mike performed 5 J of work in 10 secs. Joe did 3 J of work in 5 secs. Who produced the greater power? Since power = work / time, we see that Mike produced 0. 5 W and Joe produced 0. 6 W of power. Thus, even though Mike did more work, he required twice the time to do the work, and therefore his power output was lower.
Ex. #8: Engine #1 produces twice the power of engine #2. Can we conclude that engine #1 does twice as much work as engine #2? No!! We cannot conclude anything about how much work each engine does. Given the power output, the work will depend upon how much time is used For example, engine #1 may do the same amount of work as engine #2, but in half the time.