Why do we need the standard deviation 1















- Slides: 15
Why do we need the standard deviation? 1 - The standard deviation reflects dispersion of data values, so that the dispersion of different distributions may be compared by using standard deviations. 2 - The standard deviation permits the precise interpretation of data values within a distributions. 3 - The standard deviation, like the mean, is a member od a mathematical system which permits use in more advanced statistical considerations.
EMPIRICAL RULES 1 - About 68% of the values will lie within 1 standard deviation of the mean, that is, between x - s and x + s; 2 - About 95% of the values will lie within 2 standard deviation of the mean, that is, between x - 2 s and x + 2 s; 3 - About 99. 7% of the values will lie within 3 standard deviation of the mean, that is, between x - 3 s and x + 3 s;
BOX PLOT A Box Plot is a graphical summary of data that is based on five number summary. To construct a box plot use the following STEPS 1 - A box is drawn with the ends of the box located at the first (Q 1) and third quartile ( Q 3) 2 - A vertical line is drawn in the box at the location of the median. 3 - By using IQR=Q 3 -Q 1, limits (also called fences) are located. The limits for the box plot are Q 1 - 1. 5*IQR and Q 3 + 1. 5*IQR DATA OUTSIDE THESE LIMITS ARE CONSIDERED OUTLIERS 4 - The dashed lines (also called whiskers) are drawn from the ends of the box to the smallest (L) and highest (H) values inside the limits computed in STEP 3 5 - Finally, the location of each outlier is shown with a symbol *
Experimental Outcome (Possibilities) Toss a Coin Head, Tail Select a part for inspection Defective, Non-Defective Conduct a Sales Purchase, No Purchase Roll a die 1, 2, 3, 4, 5, 6 Play a football game Win, Lose, Tie
FACTORIAL NOTATION 0! = 1(By definition) 1! = 1 2! = 2*1 = 2 3! = 3*2*1 = 6 4! = 4*3*2*1 = 24. . . n! = n*(n-1)* (n-2)*………. 3*2*1
• Example: Consider a recent study conducted by the personnel manager of a major computer software company. The study showed that 30% of employees who left the firm within two years did so primarily because they were dissatisfied with their salary, 20% left because they were dissatisfied with their work assignments, 12% of the former employees indicated dissatisfaction with both their salary and their work assignments. • Question: What is the probability that an employee who leaves within two years does so because of dissatisfaction with salary, dissatisfaction with work assignment or both?
Assigning Probabilities n Basic Requirements for Assigning Probabilities 2. The sum of the probabilities for all experimental outcomes must equal 1. P(E 1) + P(E 2) +. . . + P(En) = 1 where: n is the number of experimental outcomes
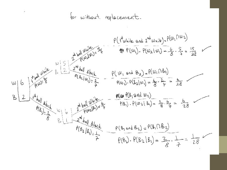
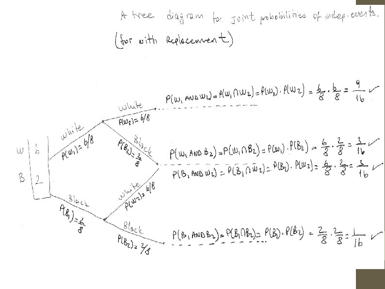
Multiplication Law The multiplication law provides a way to compute the probability of the intersection of two events. The law is written as: P(A B) = P(B)P(A|B)
Mutual Exclusiveness and Independence Do not confuse the notion of mutually exclusive events with that of independent events. Two events with nonzero probabilities cannot be both mutually exclusive and independent. If one mutually exclusive event is known to occur, the other cannot occur. ; thus, the probability of the other event occurring is reduced to zero (and they are therefore dependent). Two events that are not mutually exclusive, might or might not be independent.
The Sales of Automobiles for 300 days 0 automobile sold 54 days 1 automobile sold 117 days 2 automobile sold 72 days 3 automobile sold 42 days 4 automobile sold 12 days 5 automobile sold 3 days Total: 300 days