WHICAP Washington HeightsHamilton Heights Inwood Columbia Aging Project
WHICAP Washington Heights/Hamilton Heights. Inwood Columbia Aging Project Jennifer J. Manly, Ph. D Columbia University Medical Center jjm 71@columbia. edu
Acknowledgements • Funded in part by Grant R 13 AG 030995 -01 A 1 from the National Institute on Aging • The views expressed in written conference materials or publications and by speakers and moderators do not necessarily reflect the official policies of the Department of Health and Human Services; nor does mention by trade names, commercial practices, or organizations imply endorsement by the U. S. Government.
Collaborators Maria Glymour Christopher Weiss Adam Brickman Karen Siedlecki Robert Heaton Lenny Cedano Raquel Cabo Yaakov Stern Richard Mayeux Nicole Schupf Supported by • NIA R 01 AG 16206 (PI: Manly) • NIA P 01 AG 07232 (PI: Mayeux)
PI: Richard Mayeux INWOOD WASHINGTON HEIGHTS HAMILTON HEIGHTS • • • N = 2125 in 1992 Added 2174 in 1999 to total 2801 Age 65 and older Spanish or English speaking Seen in home at 18 – 24 month intervals Dx based on neuropsychological test battery, medical & functional interview
Annual age-specific incidence Age-Specific Incidence of Alzheimer’s Disease Tang et al. , 2001; Neurology 56: 49 -56
Underlying all comparisons of test performance between racial/ethnic groups is the fallacy imbedded in racial/ethnic classifications: that there is a biological or genetic basis for race.
RACE “ An inbreeding, geographically isolated population that differs in distinguishable physical traits from other members of the same species. ” Zuckerman, 1990; p. 1297
Hypertension & SES • Research shows that the higher rates of hypertension among African Americans as compared to Whites “persists” after adjusting for traditional indicators of SES (e. g. , years of education, income) • Genes for hypertension unique to African Americans are being sought
Hypertension & SES • Accounting for assets, debt, use of public assistance, and neighborhood-level indicators of income explains racial differences in hypertension Cooper & Kaufman, 1998; Kaufman et al. , 1997 • Perceived discrimination and residential segregation perception of discrimination have significant associations with hypertension Krieger, 1999; Williams, 1997; Williams & Neighbors, 2001; Williams, Neighbors, & Jackson, 2003; Williams, Massing, Rosamond, Sorlie, & Tyroler, 1999; Wyatt et al. , 2003
Race • Used as a proxy for assumed educational, socioeconomic, biological, or behavioral differences • Diversity within ethnic groups: – Educational – Linguistic – Geographic – Economic – Exposure to Mainstream culture • Racial classification is fluid over time and place
DECONSTRUCTING RACE AND EDUCATION • Assume these variables are proxies for more meaningful underlying factors • Determine which aspects of the variable are expected to affect test performance – Premorbid – Change over time • Determine relationship to test performance • Adjust for significant factors before interpreting scores, regardless of race
MCI in an ethnically and educationally diverse cohort • Most MCI studies are clinic-based Caucasian, well educated participants • How can MCI criteria be operation among ethnically, linguistically, and educationally diverse elders? • What implications do the use of robust norms in this diverse sample have on MCI prevalence and outcomes?
Percent No significant ethnic differences in frequency of MCI Manly et al, Arch Neurol (2005)
Length of School Term
Proportion of variance in cognitive test scores explained by state of elementary education Manly, Glymour, and Weiss (in preparation)
English Reading Level Wide Range Achievement Test - reading subtest I V Z J Q see red milk was between cliff stalk grunt clarify residence urge rancid conspiracy deny quarantine deteriorate regime beatify internecine regicidal puerile factitious lucubration epithalamion inefficacious synecdoche
READING LEVEL AND YEARS OF EDUCATION
ETHNICITY, GRADE, AND READING LEVEL
Reading ability accounts for ethnic group differences ** p <. 01; *** p <. 001 Manly et al, 2002, J Int Neuropsychol Soc 8: 341 -348
Reading ability accounts for ethnic group differences * p <. 05; ** p <. 01 Manly et al, 2002, J Int Neuropsychol Soc 8: 341 -348
Determinants of cross-sectional language test performance *** *** *** All models are adjusted for age and sex *** ***
Literacy and Memory Manly et al. , JCEN 2003
Race, education, literacy, & incident AD *** Relative Risk *** *** ** p <. 01; *** p <. 001 **
Spanish Reading Level Word Accentuation Test ACULLA ABOGACIA ANOMALO CELIBE ALELI RABI APATRIDA HUSAR ALEGORIA MANCHU DIAMETRO MOARE CONCAVO AMBAR PUGIL POLIGAMO ACME SILICE GRISU ALBEDRIO CANON PIFANO TACTIL VOLATIL DESCORTES DISCOLO BULGARO BALADI ACOLITO CUPULA Del Ser et al. , 1997
Predicting Incident AD among Hispanic Immigrants n = 670 Model 1 B p value B p value Age . 103 . 000 . 106 . 000 . 103 . 000 . 107 . 000 . 106 . 000 Sex . 189 . 352 . 208 . 307 . 169 . 410 . 206 . 330 . 280 Years of education -. 073 . 002 -. 065 . 009 -. 051 . 046 . 033 . 280 . 038 . 209 -. 238 . 242 -. 110 . 608 -. 038 . 865 . 046 . 840 -1. 225 . 060 -1. 055 . 113 -. 669 . 350 -. 082 . 000 -. 081 . 000 . 381 . 140 Variables in the Model Dominican vs. other Time in the US Spanish Reading English Fluency Model 2 Model 3 Model 4
Sensitivity and specificity of selfreported stroke Sensitivity Specificity All vascular territories 32. 4 78. 9 Large infarcts 51. 5 78. 1 Small infarcts 28. 5 76. 6 Cortical infarcts 40. 0 76. 3 Subcortical infarcts 33. 1 77. 3 717 nondemented elders scanned 225 persons had a brain infarct on MRI Reitz et al. , submitted
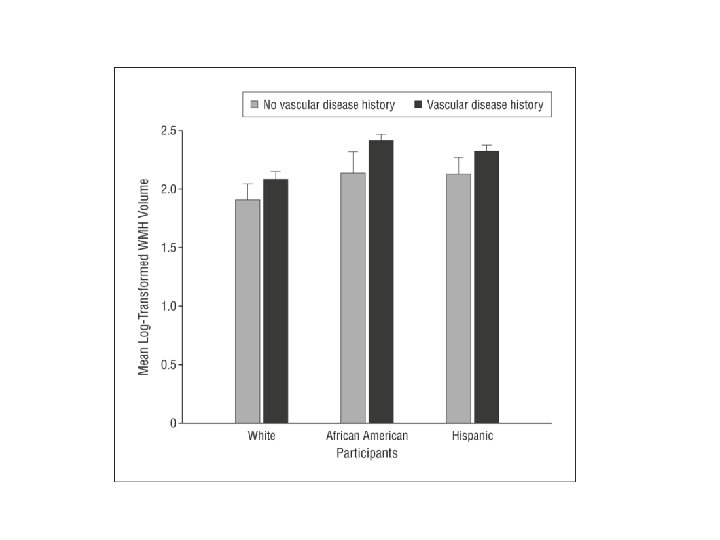
Age, ethnicity, and relative WMH volume Brickman et al. , in press
- Slides: 29