What a drag A numerical model of timedependent






















- Slides: 22
What a drag! A numerical model of time-dependent f low over topography Sally Warner Advised by Parker Mac. Cready December 6, 2006
What is drag? Drag is a force from a body acting parallel to the direction of relative f luid motion. Friction drag Form (pressure) drag large wake smooth surface medium wake rough surface small wake
Why do oceanographers care about form drag? >> Form drag works to – dissipate tidal energy – generate eddies and internal waves – produce turbulence and mixing >> Unlike frictional drag, form drag is not well resolved in coastal and larger scale models
Form drag in the Puget Sound In their Puget Sound tidal model, Lavelle et al. (1988) originally used a frictional drag coefficient of CD = 3 x 10 -3. But they found that some areas needed a much larger coefficient of CD = 20 x 10 -3 to match tidal observations.
Form drag at Three Tree Point • Three Tree Point is a 1 km headland in the Main Basin of the Puget Sound • Mac. Cready and others found the form drag to be 20 times larger than frictional drag Mac. Cready
Motivating questions >> Why is there such a large form drag in places like Three Tree Point? >> How can I parameterize the form drag into a new drag coefficient (CD_FORM)? Solution approach >> Idealized numerical model
The model: basic setup
The model: Gaussian bump First experiment: 15 different bump sizes
The model: stratif ication N = 0. 0125 s-1
The model: grid size
The model: tidal forcing – Forced with a propagating tidal wave – Fluid entering boundaries has original stratification
Vertically averaged velocity
Surface height A 3. 6° phase lag between left and right makes sense for a 20 km channel with a surface gravity wave speed of c = 44 m/s.
How do I measure form drag? p. B = bottom pressure = bottom slope AB = bottom area H L Mac. Cready 2 tidal cycles = 24 lunar hours
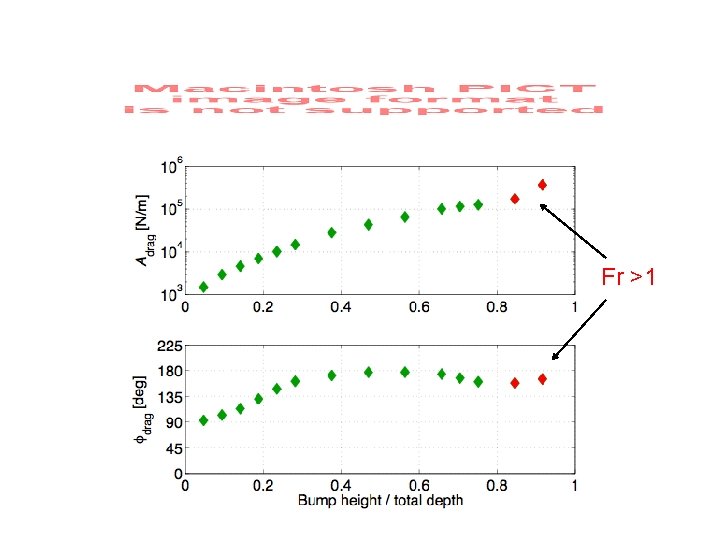
Fr >1
Power = drag * velocity Bump height is 10% of total depth drag = 102° Bump height is 20% of total depth drag = 130°
– Average Power Results in the same range as the 0. 7 MW of power dissipated at Three Tree Point.
Questions to answer • What are the factors that create the very large form drag measured in places like Three Tree Point? • How does form drag contribute to the generation of internal tides and eddies? • How does the magnitude of the form drag compare with the magnitude of the frictional drag? • What role does form drag play in the energy budget of coastal regions?
Future goal: parameterization CD_FORM = function( bump height, bump width, stratification, tidal velocity, tidal period, channel width, channel length, channel height )
Thank you • • • Parker Mac. Cready David Darr Tom Connolly Natalia Stefanova Neil Banas Betty Bottler (ARCS Fellowship donor)