Well Testing Module 7 Well Test Analysis of






































- Slides: 38
Well Testing Module #7: Well Test Analysis of Gas Reservoirs- A Shahab Gerami, Ph. D 1 1 S. Gerami
Flow tests conducted on gas wells 1. Tests designed to yield knowledge of reservoir • Drawdown • Buildup 2. Tests designed to measure the well deliverability • Back pressure tests • Isochronal type tests 2 S. Gerami
It is significant at low pressure 3 S. Gerami
High Velocity Gas Flow 4 S. Gerami
Forchheimer Equation 5 S. Gerami
Liquid equation of State 6 Gas equation of State S. Gerami
Flow Equations Linear system Radial system 7 S. Gerami
Linear Radial 8 S. Gerami
9 S. Gerami
10 S. Gerami
Real gas Liquid 11 S. Gerami
Gas Flow Governing Equations 12 S. Gerami
13 S. Gerami
14 S. Gerami
15 S. Gerami
16 S. Gerami
Transient solution 17 S. Gerami
Transient solution-Dimensionless Transient solution-Dimensional 18 S. Gerami
19 S. Gerami
Pseudo-steady state solution accounting for skin effect 20 S. Gerami
Rate Dependent Skin 21 S. Gerami
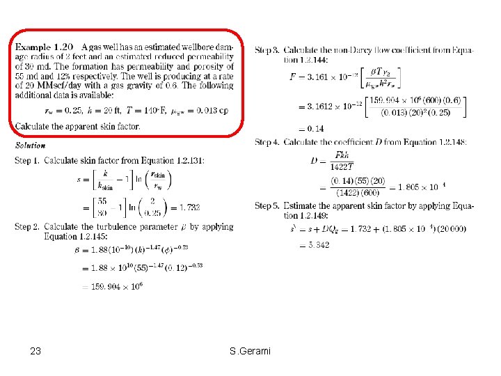
22 S. Gerami
23 S. Gerami
Single-Rate Drawdown Test 1 2 24 S. Gerami 3
0. 869 25 S. Gerami
26 S. Gerami
27 S. Gerami
28 S. Gerami
Two Rate Test 29 S. Gerami
Transient Equation-Radial System Two Rate Test 30 S. Gerami
31 S. Gerami
32 S. Gerami
Plotting Technique 33 S. Gerami
34 S. Gerami
35 S. Gerami
Assignment#F. a-1: A gas well is flowing under a bottom-hole flowing pressure of 900 psi. The current reservoir pressure is 1300 psi. The following additional data is available: T = 140◦F, γg = 0. 65, rw = 0. 3 ft , k = 60 md, h = 40 ft, re = 1000 ft Calculate the gas flow rate by using (a) the real-gas pseudopressure approach; (b) the pressure-squared method. 36 S. Gerami
Assignment# F. a-2: A 28 -days drawdown test has been run on a new gas well that was producing at a constant rate of 2500 Mscf/day. The reservoir and fluid properties are given below. The fluid properties are given in Table F. a-2. These properties have been used to calculate the necessary pressure function, i. e. pseudo pressure function. Use the log –log derivative and conventional analysis techniques to analyze the drawdown data given in the table F. a-2 and obtain the permeability, skin factor due to damage and radius of investigation at the end of radial flow. Do your analysis using pseudo-pressure approach 37 S. Gerami
38 S. Gerami