Wave Wave Equation Longitudinal Waves Longitudinal Wave In



























- Slides: 27
Wave & Wave Equation Longitudinal Waves
Longitudinal Wave In Longitudinal waves, the particles in a medium oscillate back and forth about their equilibrium positions but it is the disturbance which travels, not the individual particles in the medium. http: //www. kettering. edu/~drussell/Demos/waves-intro. html
Transverse wave In a transverse wave the particle displacement is perpendicular to the direction of wave propagation. The particles do not move along with the wave; they simply oscillate up and down about their individual equilibrium positions as the wave passes by. http: //www. kettering. edu/~drussell/Demos/wavemotion. html
Water Wave Water waves are an example of waves that involve a combination of both longitudinal and transverse motions. As a wave travels through the water, the particles travel in circles. http: //www. kettering. edu/~drussell/Demos/wavemotion. html
Rayleigh surface wave Both longitudinal and transverse motion may be found in solids as Rayleigh surface waves. The particles in a solid, through which a Rayleigh surface wave passes, move in elliptical paths, with the major axis of the ellipse perpendicular to the surface of the solid. http: //www. kettering. edu/~drussell/Demos/wavemotion. html
Wave Equation
ξ 1 k ξ 2 k 0 k Consider a case of two identical spring-mass system coupled by a third spring in the middle
Equation of motion of the two masses can be written as These two equations are a set of two 2 nd order linear homogeneous coupled differential equations with constant coefficients.
Elastic Wave A L Rod made of elastic substance
Disturbance in the rod
Young’s Modulus
Elasticity : Spring constant
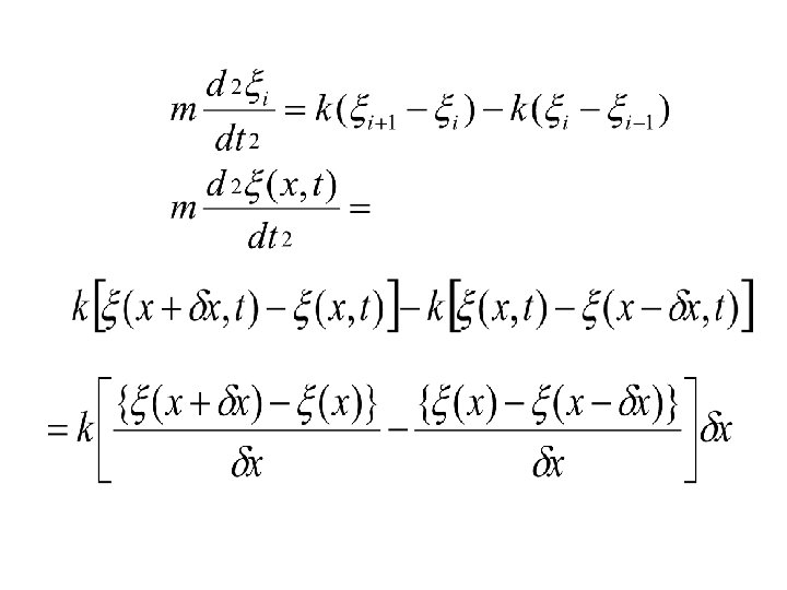
i i-1 i+1
Displacement of ith mass satisfies differential equation
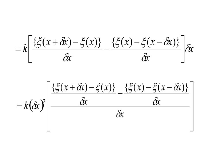
In the Continuum limit Let a: separation between the masses a where 0 is a function of two continuous variable x and t
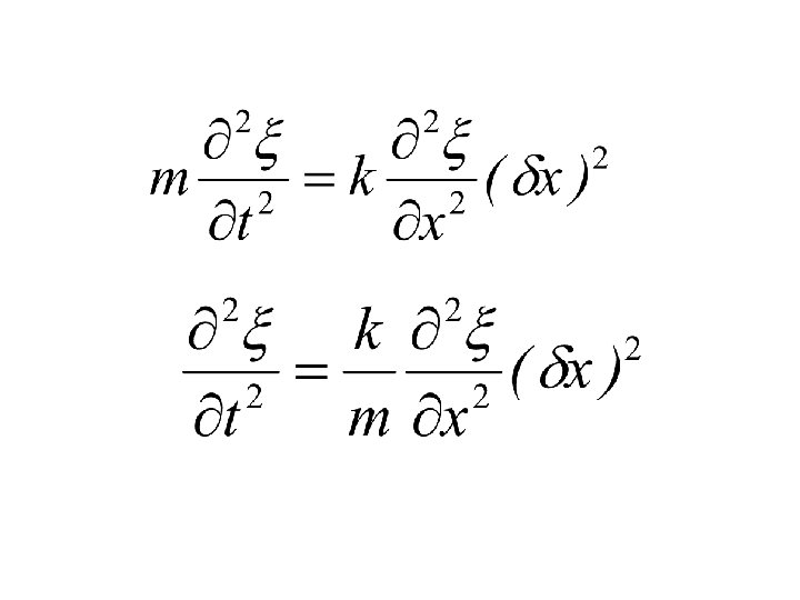
In the Continuum limit
Notation of partial derivatives variation of with t while x is kept constant variation of with x while t is kept constant
Taylor series expansion
and
Longitudinal wave in elastic rod Y: Young’s modulus A: Cross sectional area r=mass density Wave equation cs: wave velocity
For disturbance propagating in all directions (Laplacian operator)
1. LECTURE NOTES FOR PHYSICS I SASTRY AND SARASWAT 2. THE PHYSICS OF VIBRATIONS AND WAVES AUTHOR: H. J. PAIN IIT KGP Central Library Class no. 530. 124 PAI/P