Water Balance Water Use The Global Hydrologic Cycle
Water Balance & Water Use
The Global Hydrologic Cycle
Volume of Global Water Reservoirs
Earth’s Water Distribution
The Terrestrial Hydrologic Cycle
The Forest Water Balance precipitation 3120 mm (100%) transpiration 458 mm (15%) wet canopy evaporation 624 mm (20%) forest floor evaporation 158 mm (5%) root-zone storage drainage 1881 mm (60%)
The Tree Water Balance Precipitation Transpiration (2 mm/day) Evaporation Throughfall Stemflow
Throughfall and Stemflow © Throughfall is precipitation that reaches the surface directly through spaces in the canopy and by dripping from the canopy. ©Contains nutrients leached from the leaf surfaces. © Stemflow is water that reaches the ground surface by running down the trunk and stems. ©More significant in smooth-barked trees. ©Contains nutrients leached from leaf surfaces.
Leaf Area Index (LAI) LAI = total leaf surface of a plant X ground area projection under plant
Leaf Area Index Leaf Area Meters Optical Sensor R-T Model Hemispheric Photos
Leaf Area Index – February 2003
Leaf Area Index – July 2003
Leaf Area Index February 2003 July 2003
Leaf Area Index February 2003 July 2003
Canopy Water Interception
Water in the Soil-Plant. Atmosphere Continuum ©Water in the soil moves along a potential gradient from wet (high energy) to dry (low energy), just like during transpiration
Water Potential ( ) © For pure liquid water, = 0 © For almost anything else, < 0 © = m + p + g + o © m = matric potential; function of adhesion/cohesion © p = pressure potential; function of pressure applied to water (hydrostatic pressure) © g = gravitational potential; How much force is gravity using to pull the water down? © o = osmotic potential, caused by the presence of dissolved sugars and salts in water
Important Water Potentials ©Field Capacity fc = -0. 01 – 0. 033 MPa ©Permanent Wilting Point wp = -1. 5 MPa, on average ©Air-Dry Soil ad = -3. 0 MPa
Matric Potential ( m)
Available Water 0. 40 0. 32 0. 24 0. 16 0. 08 0
Available Water Pore space at field capacity (% volume) 50 10 Pore space at wilting point (% volume) 40 50 49 1 9% Available Water Sand 50 25 25 50 5 45 20% Available Water Silt 50 40 10 50 20 30 20% Available Water Clay Total Water Unavailable Water
Evaporation The gradual change of the state from a liquid to a gas, occurring at the liquid surface.
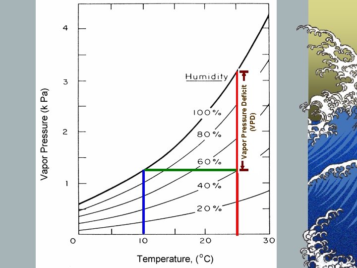
Vapor Pressure Deficit (VPD)
Evaporation (E) Daily E = E * Daylength * LAI
Transpiration The transfer of water from within leaves… through stomata… into the atmosphere.
Transpiration causes a suction of water from the soil through the roots through the xylem (sapwood) and into the leaves.
Transpiration Penman-Monteith Equation
Transpiration It is NOT simply a hazard of plant life! It is the “engine” that pulls water up from the roots to: Ø Supply photosynthesis (1 -2% of the total) Ø Bring minerals from the roots for biosynthesis within the leaf Ø Cool the leaf
Evapotranspiration is the combination of evaporation and transpiration, or the total water loss from a leaf or plant. In other words, ET = E + T
Vegetation Water Balance
Water Shortage Correction Relative difference between transpiration and absorption of water in a tree during a sunny day with adequate soil moisture. Energy for nighttime water absorption (stomates closed) comes through tension in the water column within the xylem, which pulls water into the tree.
n d ecte Refl Solar (short-wave) radiation tio Evapotranspiration uc Transmitted nd Long-wave Co Radiation Convection Energy, water and CO 2 balances over a leaf Internal CO 2 H 2 O Water Use Efficiency CO 2 H 2 O Fig. 6. 1 p. 95
Water Use Efficiency WUE = Carbon gain (g) Water lost (g)
Water Potential and Carbon Uptake
Ways That Water Deficits Reduce Plant Growth ©Stomatal Closure ©Reduce cell expansion ©Reduce phloem transport ©Root/shoot partitioning increases ©Leaves drop early ©Decomposition decreases ©Nitrogen availability decreases
Site Water Balance 8 Leaf Area Index (Precipitation – Potential ET) Oregon Coast 6 Oregon Spruce/Fir 4 Lower Cascades Willamette Valley wet years 2 0 Metolius +30 0 -30 -60 Site Water Balance -90 Missoula dry years Bend, OR -120
Snow Depth – Sonora Pass, CA
Site Water Balance Inputs: Precipitation (snow, rain, sleet etc. ) Outputs: Evapotranspiration and runoff Storage: Snow, soil Precipitation + Snowmelt – ET = Outflow + Change in Soil Water Content
Simple Water Budget Rain + Snowmelt – ET = Outflow + Δ Soil Water + = +
Δ Soil Water
- Slides: 40