VOLUMES BY CYLINDRICAL SHELLS Area of the surface
VOLUMES BY CYLINDRICAL SHELLS Area of the surface
VOLUMES BY CYLINDRICAL SHELLS CYLINDRICAL SHELL
VOLUMES BY CYLINDRICAL SHELLS
VOLUMES BY CYLINDRICAL SHELLS The volume is given by Find the surface area
VOLUMES BY CYLINDRICAL SHELLS step 1 step 2 Graph and Identify the region Draw a line parallel to the rotating line at the point x step 3 Rotate this line about the rotating line step 4 Find: in terms of step 5 The volume is given by Note: rotating line is y-axis dx and we draw a parallel line to y-axis
VOLUMES BY CYLINDRICAL SHELLS
VOLUMES BY CYLINDRICAL SHELLS rotating line Parallel to y-axis The volume is given by CYLINDRICAL SHELLS Find the surface area rotating line Parallel to x-axis The volume is given by Find the surface area
VOLUMES BY CYLINDRICAL SHELLS Remarks rotating line Parallel to x-axis CYLINDRICAL SHELLS (6. 2) rotating line Parallel to y-axis Remarks rotating line Parallel to x-axis DESK(6. 1) rotating line Parallel to y-axis
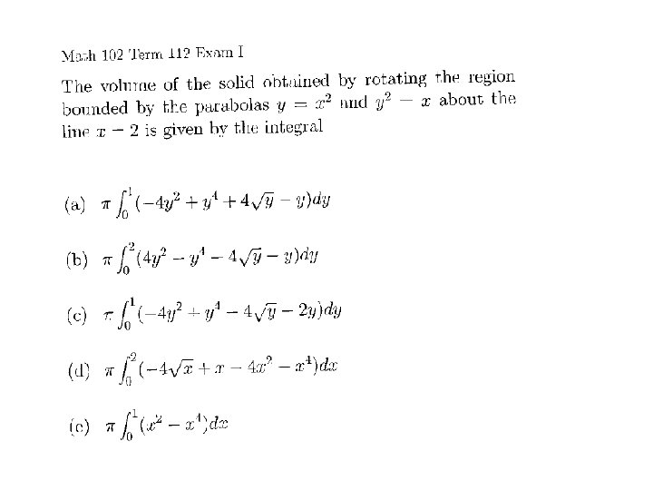
VOLUMES BY CYLINDRICAL SHELLS T-111
T-111
VOLUMES T-091
VOLUMES T-072
VOLUMES BY CYLINDRICAL SHELLS 1 2 3
VOLUMES BY CYLINDRICAL SHELLS
VOLUMES BY CYLINDRICAL SHELLS
VOLUMES BY CYLINDRICAL SHELLS 1 2 3
VOLUMES BY CYLINDRICAL SHELLS
VOLUMES BY CYLINDRICAL SHELLS
- Slides: 26