Vitamin K Coagulation Ahmad Shihada Silmi Msc FIBMS
Vitamin K & Coagulation Ahmad Shihada Silmi Msc, FIBMS IUG Medical Technology Dept
What is Vitamin K? l l 1) Fat soluble compound Necessary for the synthesis of several proteins required for blood clotting Vit K 1 (Phylloquinone) - natural form - found in plants - provides the primary source of vitamin K to humans through dietary consumption 2) Vitamin K 2 compounds (Menaquinones) - made by bacteria in the human gut - provide a smaller amount of the human vitamin K requirement Vitamin K 2
Dietary Sources Vitamin K is consumed primarily from green leafy vegetables and some fruits. It may also be found in dairy products, meats and eggs. Vitamin K Rich Foods FOOD Vitamin K (mcg) Brussel sprouts, _ cup cooked 460 Broccoli, _ cup cooked 248 Cauliflower, _ cup cooked 150 Swiss chard, _ cup cooked 123 Spinach, raw, 1 cup 120 Beef, 3. 5 oz 104 Pork, 3. 5 oz 88 Eggs, whole, 11 g 25
Physiological Effects of Vitamin K l Vitamin K serves as an essential cofactor for a carboxylase that catalyzes carboxylation of glutamic acid residues on vitamin Kdependent proteins. These proteins are involved in: 1) Coagulation 2) Bone Mineralization 3) Cell growth
Coagulation l l l The transformation of liquid blood into a solid gel Stops blood flow in the damaged area Involves a cascade of activation of plasma proteins These proteins are produced in the liver Fibrin is the final protein which produces a meshwork to trap RBC and other cells
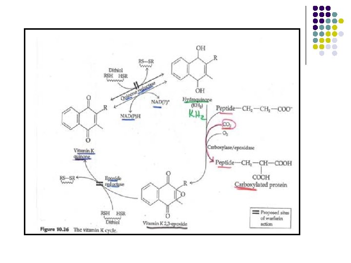
Vitamin K Dependent Coagulation l Certain clotting factors/proteins require calcium to bind for activation l Calcium can only bind after gamma carboxylation of specific glutamic acid (Glu) residues in these proteins l Glu --> Gla modification needed for Ca 2+ binding, clot formation l Vitamin K acts as a cofactor for this carboxylation reaction l The role of vitamin K in the carboxylation of specific proteins is a cyclic process called “Vitamin K Cycle” l These proteins are known as “Vitamin K dependent” proteins
Vitamin K Dependent Proteins l l l factor II (prothrombin) factor VII (proconvertin) factor IX (thromboplastin component) factor X (Stuart factor) protein C & protein S Protein Z
Clotting Cascade
PIVKA l Deficiency of vitamin K is associated with a decrease of the functional activity of these factors. l These non-functional proteins are released into the circulation in normal levels & are called Protein Induced by Vitamin K Absence or Antagonism ( PIVKA).
PIVKA Properties l l Can not bind Calcium ions. Are not adsorbed on aluminum hydroxide & barium salts. Can be activated in vitro with venom of certain snakes (Echis Carinatus). This Ecarin characteristic is the basis of their laboratory measurement.
Vitamin K Cycle Reductase Vitamin KH 2 Vitamin K Glutamic Acid Vitamin K Dependent Carboxylase Warfarin Inhibits Epoxide Reductase Vitamin K Epoxide Gamma Carboxy Glutamic Acid
Warfarin is a competitive antagonist of Vitamin K Scully, M. The Biochemist, 2002
WARFARIN: MECHANISM OF ACTION
Warfarin inhibits the vitamin K cycle Warfarin Epoxide Reductase CYP 2 C 9 Inactivation Pharmacokinetic -Carboxylase (GGCX) Vitamin K-dependent clotting factors (FII, FVII, FIX, FX, Protein C/S/Z)
INDICATIONS Ø Prophylaxis and treatment of venous thromboembolism (deep vein thrombosis and pulmonary embolism) Ø Ø Prophylaxis and treatment of Atrial fibrillation Valvular stenosis Heart valve replacement Myocardial infarction
WHY TO MONITOR WARFARIN THERAPY? l l Narrow therapeutic range Can increase risk of bleeding
MONITORING OF WARFARIN THERAPY Ø Ø Ø Prothrombin time PT ratio INR (International Normalized Ratio)
PROTHROMBIN TIME (PT) l l Time required for blood to coagulate is called PT Performed by adding a mixture of calcium and thromboplastin to citrated plasma As a control, a normal blood sample is tested continuously PT ratio (PTR) = Patient’s PT Control PT
FACTORS INFLUENCING DOSE RESPONSE l l l l Inaccurate lab testing Poor patient compliance Concomitant medications Levels of dietary vitamin K Alcohol Hepatic dysfunction Fever
DURATION OF THERAPY l l l Venous thromboembolism: Minimum 3 months, usually 6 months AMI: During initial 10 -14 days of hospitalization or until patient is ambulatory Mitral valve disease/Mechanical heart valves: Lifelong Bioprosthetic heart valves: 3 months Atrial fibrillation: Lifelong Prevention of cerebral embolism: 3 -6 months
CONTARINDICATIONS AND PRECAUTIONS Ø Ø Ø Ø Hypersensitivity to warfarin Condition with risk of hemorrhage Hemorrhagic tendency Inadequate laboratory techniques Protein C & S deficiency Vitamin K deficiency Intramuscular injections
SIDE EFFECTS Hemorrhage Ø Skin necrosis Ø Purple toe syndrome Ø Microembolization Ø Teratogenecity Agranulocytosis, leukopenia, diarrhoea, nausea, anorexia. Ø
SWITCHOVER FROM ONE BRAND OF WARFARIN TO ANOTHER/ ACENOCOUMAROL l l Check patient’s INR Start with dose of 2 mg; increase dose slowly as required
Vitamin K Deficiency Results in impaired blood clotting and, potentially, bleeding. Vitamin K deficiency can result from: l l a lack of vitamin k in the diet disorders that reduce fat absorption Taking certain drugs, including anticonvulsants and some antibiotics Use of coumarin anticoagulants
Symptoms of Vitamin K Deficiency • • • Bruising from bleeding into the skin Nosebleeds Bleeding gums Bleeding in stomach Blood in urine Blood in stool Tarry black stool Extremely heavy menstrual bleeding In infants, may result in intracranial hemorrhage
Vitamin K Deficiency in Infants Newborns are prone to vitamin K deficiency because… 1. 2. 3. 4. Vitamin K and lipids are not easily transported across the placental barrier Prothrombin synthesis in the liver is an immature process in newborns, especially when premature. The neonatal gut is sterile, lacking the bacteria that is necessary in menaquinone synthesis. Breast milk is not a good source of vitamin K Results in a hemorrhagic disease called vitamin K deficiency bleeding (VKDB) This disease is associated with breastfeeding, maladsorption of lipids, or liver disorders.
Adequate Intake for Vitamin K Life Stage Age Males (mcg/day) Females (mcg/day) Infants 0 -6 months 2. 0 Infants 7 -12 months 2. 5 Children 1 -3 years 30 30 Children 4 -8 years 55 55 Children 9 -13 years 60 60 Adolescents 14 -18 years 75 75 Adults 19 years and older 120 90 Pregnancy 18 years and younger - 75 Pregnancy 19 years and older - 90 Breast-feeding 18 years and younger - 75 Breast-feeding 19 years and older - 90 As outlined by the Food and Nutrition Board (FNB) of the Institute of Medicine in the US (January 2001)
Prevention/Treatment l l l Vitamin K can be given orally In the case of someone who improperly absorbs fat or is at high risk of bleeding, Vitamin K can be injected under the skin If a drug is causing Vitamin K deficiency, the dose is altered or extra Vitamin K is given In people who suffer from both severe liver disorders and Vitamin K deficiency, Vitamin K injections may be insufficient so blood transfusions may be necessary to replenish clotting factors It is recommended that all newborns are given an injection of phylloquinone (Vitamin K 1) into the muscle to prevent intracranial bleeding after delivery Formulas for infants contain Vitamin K
Quiz Time! Where are two ways we get Vitamin K? Name a good source of dietary Vitamin K What type of chemical reaction does Vitamin K assist in? Which anticoagulant inhibits Vitamin K? Name a sign of Vitamin K deficiency.
Summary l l l Vitamin K is a fat soluble compound necessary for the synthesis of several proteins involved in blood clotting It acts as a cofactor for a carboxylation reaction A deficiency in Vitamin K results in impaired blood clotting and possibly bleeding The anticoagulant Warfarin inhibits Vitamin K can be given orally or through injection for prevention/treatment of deficiency
Thank you!
References l l l Bowen, R. (1999). Vitamin K. Hypertext of Biomedical Sciences. Colorado State University. Accessed January 12, 2009 http: //www. vivo. colostate. edu/hbooks/pathphys/misc_topics/vitamink. html Higdon, J. (2004). Vitamin K. Linus Pauling Institude, Micronutrient Information Centre. Oregon State University. Accessed January 12, 2009 http: //lpi. oregonstate. edu/infocenter/vitamins/vitamin. K/ Johnson, L. E. (2007). Vitamin K. Merck Online Medical Library. Accessed January 12 2009 http: //www. merck. com/mmhe/sec 12/ch 154 l. html Stanfield, C. L & Germann, W. J. (2007). Principles of Human Physiology 3 rd Edition. p. 446 -448. Vitamin K. (2008). Medline Plus. U. S. National Library of Medicine. Accessed January 12, 2009 http: //www. nlm. nih. gov/medlineplus/druginfo/natural/patient-vitamink. html Vitamin K. (2005). Merck Online Medical Library. Accessed January 12 2009 http: //www. merck. com/mmpe/sec 01/ch 004 n. html Images taken from l http: //chemistry. about. com/library/graphics/blvitamink 1. htm l http: //media-2. web. britannica. com/eb-media/28/98328 -004 -5514 AFAC. jpg l http: //www. frca. co. uk/images/clotting_cascade. gif
- Slides: 40