Vitamin B 6 Pyridoxine Protein Burner Introduction Vitamin
Vitamin B 6 (Pyridoxine), Protein Burner
Introduction Vitamin B 6 was discovered in the 1930 s. Vitamin B 6 occurs in several forms, all of which can be converted to the most active coenzyme form, Pyridoxal Phosphate (PLP). PLP has a vital role in catalyzing dozens of chemical reactions in the body. Vitamin B 6 is unusual as a B vitamin in that it is so extensively stored in muscle tissue.
Cont. Sources: Whole grains, organ meats, eggs and legumes. Requirements: Adults: 2. 2 mg/day Children: 1. 2 mg/day Infants: 3 mg/day
Cont.
B 6 Vitamin B 6 consists of three substituted pyridines: Ø Pyridoxal: which carries an aldehyde group (–CHO) at C-4, Ø Pyridoxol : Is the corresponding alcohol (–CH 2 OH), and Ø Pyridoxamine: The amine (–CH 2 NH 2).
4 -Pyridoxic acid
Metabolism of pyridoxine-related compounds in mammals
Cont. Almost all conversion reactions involving amino acids require pyridoxal phosphate, including: Ø Transaminations, Ø Deamination, Ø Decarboxylations, Ø Dehydrogenations, Ø Transsulfuration and Condensation e. t. c.
Cont. Glutamate dehydrogenase
Reaction catalyzed by glutamate dehydrogenase.
Decarboxylation Process of removal of carboxilic functional group is known as decarboxylation e. g: Methionine Homocysteine Cystathionine synthase Serine PLP Cystathionine Cysteine Decarboxylase PLP Taurine Homoserine
Cont. Glycogen phosphorylase, the enzyme for glycogen degradation, also contains pyridoxal phosphate as a cofactor. Glucose is stored as glycogen in muscle tissue to Provide energy on-site and when it is first needed. PLP is a coenzyme to the enzyme glycogen phosphorylase, which catalyzes the release of glucose from glycogen. In another process, known as gluconeogenesis, PLP is needed to convert amino acids to glucose.
Vitamin B 6 assists energy production from protein and carbohydrates.
Cont. Many important neurotransmitters are synthesized using PLP-dependent enzymes are: Ø Ø Serotonin, Dopamine, Gamma-aminobutyric acid (GABA), and Norepinephrine. Tryptophan Homocysteine PLP Niacin. cysteine
Vitamin B 6, folate, and vitamin B 12 convert the undesirable homocysteine to the useful amino acids cysteine and methionine.
Cont. PLP can help: Ø PLP also functions in the synthesis of heme, a part of hemoglobin, Ø Some forms of vitamin B 6 help hemoglobin pick up and release oxygen and Ø Help in nucleic acid synthesis.
Cont.
Relation between hypoglycemia and alcohol intoxication Ethanol has been a part of the human diet for centuries. Excess consumption leads to toxication. Cytoplasmic Metabolism: Ethanol cannot be excreted and must be metabolised by liver (mainly). Alcohol CH 3 CH 2 OH +NAD+ CH 3 CHO (Acetaldehyde) (Ethanol) Dehydrogenase
Cont.
Cont. Deficiency symptoms: Hypochromic microcytic anaemia, glossitis, pigmented Scaly dermatitis similar to pellagra, numbness and tingling sensations in the extremities, Irritability, depression and convulsive seizures. Tuberculosis patients who are on long term therapy With anti-tuberculosis drug INH (isonicotinic acid hydrazine) suffer from B 6 deficiency.
Cont. This drug has a structure similar to B 6 and antagonises the action of B 6. Hence, along with INH, they have to be given large doses of B 6. INH is a drug used to treat tuberculosis and supplemental vitamin B 6 must be given during treatment. B 6 deficiency occurs in women taking oral contraceptives.
Cont. The drug penicillamine used in: Ø Rheumatoid arthritis, Ø Wilson’s disease and Ø Cystinuria e. t. c. Deficiency occur so, supplementation is required.
Thank you
Vitamin B 12
Introduction B 12, vitamin (cobalamin, cyanocobalamin, hydroxocobalamin). A component of the vitamin B complex essential to the growth and repair of all body cells. Vitamin B 12 is a generic term for several cobaltcontaining compounds, of which cyanocobalamin is the most stable form. Synthetic vitamin B 12 contains a cyanide group not found naturally.
C 63 H 90 N 14 O 14 PCo
CN, CH 3 or Adenosine
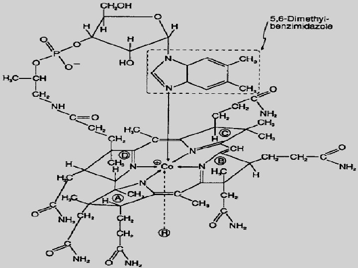
Cont. Structure of the cobalamin family of compounds. A through D are the four rings in the corrinoid ring system. The B ring is important for cobalamin binding to intrinsic factor. If R = -CN, the molecule is cyanocobalamin (vitamin B 12); if R = 5'-deoxyadenosine, the molecule is adenosylcobalamin; if R = -CH 3, the molecule is methylcobalamin.
Cont. Sources: Liver, meat, fish, eggs and milk. Requirements: Children : 2µgm/day Adults : 3µgm/day Pregnancy and Lactation: 4µgm/day
Cont. Absorption, transport, and cellular uptake of vitamin B 12 in humans. IF, Intrinsic factor; TCII, transcobalamin II; circles in the membranes of the ileal mucosal cell and peripheral tissues represent transport molecules for IF/B 12 and TCII/B 12, respectively.
Cont. Cobalamin Coenzyme forms are: Ø Methylcobalamin and Ø Deoxyadenosyl cobalamin.
Function
Cont. In addition to its growth and repair abilities, the vitamin is essential for the formation of mature red blood cells and central nervous system function. It interacts with folic acid coenzymes and is involved in the synthesis of DNA and methionine, an essential amino acid. Experiments with laboratory mice suggest that vitamin B 12, when combined with vitamin C, may inhibit the formation of cancerous tumors in mice.
Cont. B 12 along with folic acid is required for the development of RBCs beyond megaloblastic stage. It acts as coenzyme for the mutase enzyme which Converts methyl malonyl co. A into succinyl co. A. It is involved in the conversion of ribonucleotides to deoxyribonucleotides.
cont. Deficiency: Result from intestinal malabsorption and poor dietary intake. Symptoms: Megaloblastic anemia, Glossitis and inflammation of mouth, methyl malonic aciduria.
Treatment of Cobalamin deficiency Route of administration Initial treatment Maintenance treatment Intravenous 1000 µg/day for 1 week Oral 1000 µg/day for 1 month 1000µg/month for Pernicious anemia throughout life 125 -500µg/day for Food Cobalamin malabsorption; 1000µg/day for Pernicious anemia Andres et. al. ; Canadian Medical Association Journal; 2004; 171 (3) – 251
Thank you.
Folate (folacin)
Introduction Folate, the anion of folic acid, is made up of three different components: a pteridine derivative, 4 aminobenzoate, and one or more glutamate residues. After reduction to tetrahydrofolate (THF), folate serves as a coenzyme. Folate deficiency is relatively common, and leads to disturbances in nucleotide biosynthesis and thus cell proliferation.
Cont. As the precursors for blood cells divide particularly rapidly, disturbances of the blood picture can occur, with increased amounts of abnormal precursors for megalocytes (megaloblastic anemia). Later, general damage ensues as phospholipid synthesis and the amino acid metabolism are affected. In contrast to animals, microorganisms are able to synthesize folate from their own components.
Cont. The growth of microorganisms can therefore be inhibited by sulfonamides, which competitively inhibit the incorporation of 4 -aminobenzoate into folate. Since folate is not synthesized in the animal organism, sulfonamides have no effect on animal metabolism.
cont. Composed pteridin ring attached to para amino benzoic acid(PABA) and conjugated with glutamic acid residues.
Cont. Sources: Fresh green vegetables, liver, whole grains, meats and legums. Requirements: Children Adults Pregnancy and lactation : 300µg/day : 400µg/day : 800µg/day
Absorption, transport and storage Tetrahydrofolate (THF)
Tetrahydrofolate (THF)
Tetrahydrofolic acid and the one-carbon substituted folates.
Cont. 5 -Formyl-tetrahydrofolate is more stable than folate and is therefore used pharmaceutically in the agent known as folinic acid and in the synthetic (racemic) compound leucovorin.
Uses of Folic acid is required for the synthesis of: Ø Certain amino acids, Ø Purines, and Ø Pyrimidine: Thymine.
One carbon metabolites compounds
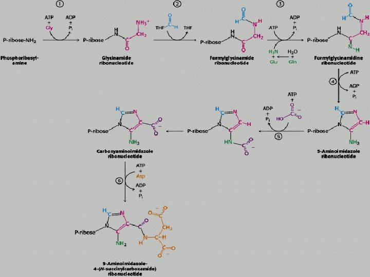
The origins of the atoms in the purine ring are indicated.
Glycine, serine, ethanolamine and choline:
Cont. The coenzyme form : Tetrahydro Folic acid(FH 4) FH 4: Carrier of one carbon and it is involved in one carbon transfer reactions. One carbon may be in the form of Formyl (-CHO) group. Tryptophan FH 4 Formate N 10 formyl FH 4 C-2 purine ring
Cont. Histidine FIGLU N 5 N 10 methylene FH 4 C-8 purine ring Glycine N 5 N 10 methylene FH 4 Thymidine monophosphaate
Cont. Deficiency: Results from low dietary intake, malabsorption syndrome and during pregnancy.
Cont. Deficiency leads to megaloblastic anemia and growth failure. FH 4 required for purine ring synthesis which again required for the synthesis of DNA and RNA. FIGLU excretion test: In the deficiency of folic acid, there is no FH 4 so formaminoglutamate accumulates in the blood and excreted in the urine. This is one of the test to detect the megaloblastic anemia whether it is due to folic acid or vitamin B 12 deficiency.
Folic acid Deficiency Promotes Birth Defects Such As Spina Bifida Spina bifida is one of a class of birth defects characterizeed by the incomplete or incorrect formation of the neural tube early in development. In the united states, the prevalence of neural-tube defects is approximately 1 case/1000 births. A variety of studies have demonstrated that the prevalence of neural-tube defects is reduced by as much as 70% when women take folic acid as a dietary supplement before and during the first trimester of pregnancy.
Cont. One hypothesis is that more folate derivatives are needed for the synthesis of DNA precursors when cell division is frequent and substantial amounts of DNA must be synthesized.
Treatment of Folate deficiency Route of administration Treatment Intravenous 50 µg/day for 1 week Oral 10 µg/day for 1 week Harrison’s Principles of Internal Medicine; 16 th Ed. ; 2005; Pg. No. - 607
Anticancer Drug Targets Thymidylate synthase and dihydrofolate reductase are choice targets in cancer chemotherapy because the generation of large quantities of precursors for DNA synthesis is required for rapidly dividing cancer cells.
Thank you.
- Slides: 71