Vibration Control Vibration Control Acceptable levels of vibrations
Vibration Control
Vibration Control • • Acceptable levels of vibrations Balancing of rotating machine Critical speed of rotating shaft Isolator design – Isolation with base motion – Isolation with fixed base • Vibration absorber design – Undamped absorber – Damped absorber 2
Acceptable levels of vibrations 3
Vibration Measurement • • • Zero to peak (zk) Peak to peak (pk-pk) Root mean square (RMS) Average Peak ratio Form factor (FF) 4
Vibration Measurement 5
Vibration Measurement 6
Vibration Measurement 7
Balancing of rotating machine Static balancing -Dynamic balancing 8
Balancing of rotating machine Static balancing 9
Balancing of rotating machine Static balancing 10
11
Critical speed of rotating shaft 12
Critical speed of rotating shaft 13
Critical speed of rotating shaft 14
15
16
Isolator design Isolation with fixed base 17
Isolator design Isolation with fixed base 18
19
20
Isolator design Isolation with base motion 21
Isolator design Isolation with base motion 22
Isolator design Isolation with base motion 23
24
25
26
27
28
29
Vibration Absorber • Undamped Vibration Absorber • Damped Vibration Absorber 30
Undamped Vibration Absorber 31
Undamped Vibration Absorber 32
Undamped Vibration Absorber 33
Undamped Vibration Absorber 34
Undamped Vibration Absorber 35
Undamped Vibration Absorber 36
Undamped Vibration Absorber 37
38
39
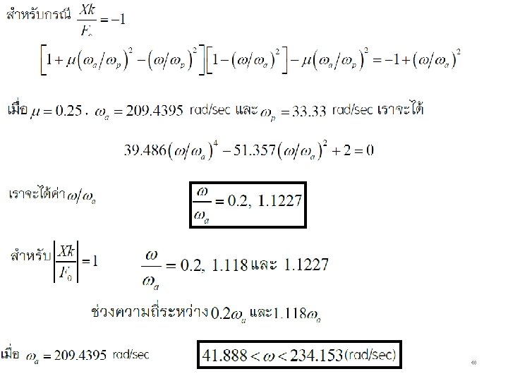
40
41
- Slides: 41