Velkommen til Budgetsamrd 2016 Viborg stre provsti Septembers
Velkommen til Budgetsamråd 2016 Viborg Østre provsti
Septembers himmel • Septembers himmel er så blå dens skyer lyser hvide og lydt vi hører lærken slå som før ved forårstide. Den unge rug af mulden gror med grønne lyse klinger men storken længst af lande fór med sol på sine vinger. Der er en søndagsstille ro imellem træer og tage en munter glæde ved at gro som var det sommerdage. Og koen rusker i sit græs med saften om sin mule, mens bonden kører hjem med læs, der lyser solskinsgule. Hver stubbet mark, vi stirrer på står brun og gul og gylden, og røn står rød og slåen blå og purpursort står hylden. Og georginer spraglet gror blandt asters i vor have, så rig er årets sidste flor: oktobers offergave. De røde æbler løsner let fra træets trætte kviste. Snart lysner kronens bladenet og hvert et løv må briste. Når aftensolen på sin flugt bag sorte grene svinder om årets sidste røde frugt den tungt og mildt os minder. At flyve som et forårsfrø for sommerblomst at blive er kun at visne for at dø kan ingen frugt du give. Hvis modenhedens milde magt af livet selv du lærte da slår bag falmet rosendragt dit røde hybenhjerte.
Dagsorden 1. Valg af dirigent. 2. Formandens beretning. 3. Kirkekassernes budget 2017. 4. Provstiudvalgskassens budget 2017. • 5. Nyt fra provstiet. • 6. Nyt fra personalekonsulenten. • 7. Eventuelt. • •
1. Valg af dirigent
2. Formandens beretning
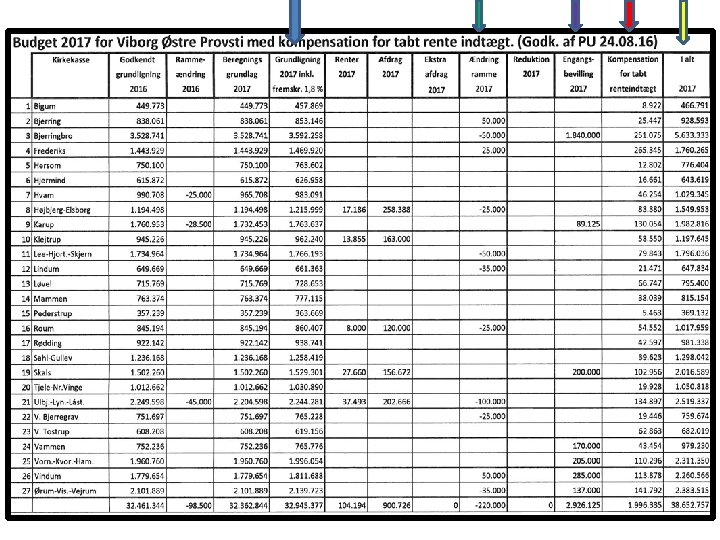
3. Kirkekassernes budget 2017 Indledning Budgetsamrådet skal • belyse de økonomiske forhold i provstiet • drøfte overordnede målsætninger i et flerårigt perspektiv • Jf. lov om folkekirkens økonomi • Vi stræber efter at opnå en god økonomi, fordi vi vil noget! – både i dag og i morgen! • Vi tænker langsigtet – og handler derfor nu • reducerer gæld • reducerer energiomkostninger • sikrer bygninger • En konsekvens af vores vision, der udspringer af folkekirkens mission
Vort kompas • ”Folkekirkens mission som kristen kirke er at forkynde Kristus som hele verdens frelser. • Dette udgangspunkt er lovgivningsmæssigt bestemt i Grundloven, der bestemmer folkekirken som den evangelisk-lutherske kirke. Forkyndelsen bygger på den grundforudsætning, at mennesker ikke ved egen indsats kan gøre sig fortjent til noget over for Gud, men kun kan modtage alt fra Gud i troen på Jesus Kristus. • Kirkens overordnede opgave danner udgangspunkt for de konkrete former, kirkelivet får i sogn, provsti og stift. Alle konkrete målsætninger må dybest set tjene denne opgave. ” • Betænkning 1477, Kirkeministeriet 2006
Hvad betyder det? • Vi har fokus på menighedens liv og vækst – hellere mennesker end monumenter – Både – og … • Initiativpulje • Energioptimering
3. Kirkekassernes budget 2017 Udskrivningsgrundlag for Viborg Kommune: kr. 12. 943. 615. 000 Fælles indtægter for Viborg Domprovsti og Viborg Østre Provsti: • Kirkeskatteindtægter v. 0, 93 %: kr. 120. 375. 620 • Udligningstilskud kr. 3. 589. 000 kr. 123. 964. 620 Fælles udgifter for Viborg Domprovsti og Viborg Østre Provsti: • Landskirkeskat kr. -19. 323. 875 • Til fordeling ml. 2 provstier kr. 104. 640. 745 Viborg Domprovsti, 57, 35% Viborg Østre provsti, 42, 65% kr. 60. 011. 467 44. 629. 278
Budget 2017 - fortsat Provstiets Indtægter : • Viborg Østre provsti, 42, 65% kr. 44. 629. 278 Indtægter i alt kr. 44. 629. 278 Provstiets Udgifter: • Kirkelige kasser • Stiftsbidrag • Provstiudvalgets rådighedsbeløb • Provstiudvalgskassen • Energioptimering kr. kr. Kr. Udgifter i alt kr. -44. 629. 278 -38. 652. 757 -221. 210 -1. 500. 000 -1. 000 -3. 255. 311
Provstiudvalgskassen budget 2017
Provstiudvalgets rådighedsbeløb – 5% Indeståender pr. 01. 09. 2016: • Nordea • Jyske Bank • Ringkøbing Landbobank • Spar Nord • Hvidbjerg Bank • Vestjysk Bank • Lån & Spar Bank • Restbeløb i 2016, 3 måneder • Samlet sum ultimo 2016 kr. kr. kr. 319 721. 282 709. 702 745. 000 746. 800 749. 294 745. 000 544. 738 4. 962. 135 Godkendte udbetalinger 2015: • Godkendte udbetalinger 2015 kr. 1. 219. 762 Godkendte udbetalinger 2016: • Godkendte udbetalinger 2016 kr. 1. 293. 400 Forventet behold. ultimo 2016 Indbetaling, jf. budget 2017 Foreløbig beholdning ultimo 2017 kr. kr. 2. 448. 973 1. 500. 000 3. 948. 973
Information fra Provstikontoret • Husk synsprotokoller skal indsendes til provstiet inden 1. oktober. I år skal alle sogne indsende synsprotokol, da der ikke har været afholdt provstesyn. Synsprotokollerne findes på DAP´en under -fanebladet Håndbøger, -Blanketsamling til menighedsråd, -kirkens bygninger og kirkegårde, -synsforretning kirke og kirkegårde. • Under håndbøger findes også udkast til kirkegårdsvedtægter.
Nyt fra Provstiet • Menighedsrådsvalg – 08. 11. 16. – Tak for 4 års indsats • I er uundværlige for Folkekirken! • Engagement og ansvar • Der er fortsat brug for jer – Rekruttering – Orienteringsmøde d. 13. 09. 16 Reformationsjubilæet - 2017 3 aftner for MR-medlemmer Luther, hvem var han? Filmen ”Luther” m. fællesspisning Hvad kom der ud af reformationen? Nu er det sognenes tur • Indskydergaranti – Ikke dækket af indskydergaranti på 750. 000 – Menighedsrådene bør en gang årligt tage stilling til placering – Systemisk vigtige finansielle institutter (SIFI) i Danmark Nye sognepræster Carl-Gustav Christensen, Frederiks 01. 15. Gitte Thorsøe, Frederiks 15. 10. 16. Ørum-Viskum-Vejrum, vakant
Gudstjenesteudvalg • Baggrund – små sogne – risiko for messefald • Gudstjenesten en fest! • Inspirere – Meningsfulde og relevante • Udredningsarbejde – Statistik – Spørgsmål • Teologisk bidrag • Inspirationsmateriale
Energioptimering • Baggrund: Vi har – – • Vedtagelse sidste år på budgetsamråd, at MR indgår i et samarbejde, ledet af PU med det formål, at – – – • reducere provstiets samlede omkostning til energi sikre bygninger mod dårligt indeklima langtidssikre økonomi til kirkeligt arbejde Gennemgang af samtlige bygninger - ½ vejs – – – • store omkostninger til opvarmning udfordringer med indeklimaet behov fornyelse af anlæg behov for et kvalificeret materiale til at foretage prioriteringer! gennemgå varmesystemer, isoleringstilstand og ventilationssystemer. bistå med oplæring i drift af styresystemer aflæggelse af rapport for menighedsråd og provstiudvalg Gennemførelse af projekter i prioriteret rækkefølge – – – Tilbagebetalingstid Indeklima Komfort
Studietur til Israel
Nyt fra personalekonsulenten
787 Du, som har tændt millioner af stjerner 1 Du, som har tændt millioner af stjerner, tænd i vort mørke en tindrende tro. Du er vort lys, og du vogter og værner os, så vi sover i tryghed og ro. 2 Tak for den lysende dag, der er gået, gaven til os, dine hænder har rakt. Tilgiv os det, som vi ikke fik nået, tilgiv alt ondt, vi fik gjort eller sagt! 3 Tak for hver glæde, der fyldte vort hjerte, hver gang du gjorde vort liv til en fest. Hjælp os at bære hver byrde, hver smerte, du ved alene, hvad tjener os bedst. 4 Tak for de mennesker, som blev vor støtte, når vi fandt vejen besværlig at gå. Hjælp os i morgen at hjælpe forknytte, mød du os selv i de svage og små! 5 Du, som har tændt millioner af stjerner, mørket i verden vil du byde trods. Du er vor Far, den, der vogter og værner, lys i det mørke, som kommer fra os. Tekst: Johannes Johansen 1981 og 1982 Mel. : Erik Sommer 1981
TAK FOR I AFTEN
- Slides: 21