VARIAO DA VELOCIDADE DA LUZ AO MUDAR DE

  • Slides: 25
Download presentation

VARIAÇÃO DA VELOCIDADE DA LUZ, AO MUDAR DE MEIO, EM GERAL ALTERANDO A SUA

VARIAÇÃO DA VELOCIDADE DA LUZ, AO MUDAR DE MEIO, EM GERAL ALTERANDO A SUA DIREÇÃO DE PROPAGAÇÃO.

VELOCIDADE DA LUZ (vácuo - ar) ÍNDICE DE REFRAÇÃO DA LUZ EM UM MEIO

VELOCIDADE DA LUZ (vácuo - ar) ÍNDICE DE REFRAÇÃO DA LUZ EM UM MEIO (n) Número que representa quantas vezes em um meio, a velocidade da luz é menor que no vácuo

Considere o índice de refração da luz em um meio como sendo n=2 e

Considere o índice de refração da luz em um meio como sendo n=2 e velocidade v.

V=225. 000 km/s V=200. 000 km/s V=125. 000 km/s

V=225. 000 km/s V=200. 000 km/s V=125. 000 km/s

LEI DE SNELL RI • RI: Raio incidente. normal • RR: Raio refratado i

LEI DE SNELL RI • RI: Raio incidente. normal • RR: Raio refratado i • i: ângulo de incidência Meio 1 • r: ângulo de refração Meio 2 r RR

Ao passar do meio 1 para o meio 2, se o raio refratado se

Ao passar do meio 1 para o meio 2, se o raio refratado se aproxima da normal, a velocidade da luz diminui. Ao passar do meio 1 para o meio 2, se o raio refratado se afasta da normal, a velocidade da luz aumenta.

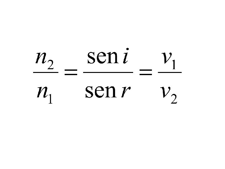
1 1 2 2

1 1 2 2

REFLEXÃO TOTAL Considere a luz passando de um meio mais refringente para um meio

REFLEXÃO TOTAL Considere a luz passando de um meio mais refringente para um meio menos refringente (n 1>n 2) 2 1

REFLEXÃO TOTAL DA LUZ – NGULO LIMITE

REFLEXÃO TOTAL DA LUZ – NGULO LIMITE

CÁLCULO DO NGULO LIMITE L 1 2 N

CÁLCULO DO NGULO LIMITE L 1 2 N

Fibra óptica MIRAGENS

Fibra óptica MIRAGENS

PROFUNDIDADE APARENTE

PROFUNDIDADE APARENTE

observador 2 1 imagem objeto

observador 2 1 imagem objeto

AR P AGUA P´ I O

AR P AGUA P´ I O

L MINAS DE FACES PARALELAS i E D r

L MINAS DE FACES PARALELAS i E D r

O ângulo de incidência na primeira face é igual ao ângulo de refração na

O ângulo de incidência na primeira face é igual ao ângulo de refração na segunda face. Portanto os raios incidente e refratado sâo paralelos.

DESVIO LATERAL

DESVIO LATERAL

PRISMA A i 1 r 1 1 2 r 2 i 2 2 1ª

PRISMA A i 1 r 1 1 2 r 2 i 2 2 1ª face A: ângulo de abertura do prisma i 1: ângulo de incidência na 1ª face r 1: ângulo de refração na 1ª face r 2: ângulo de incidência na 2ª face i 2: ângulo de refração na 2ª face 1 2ª face

EQUAÇÕES DO PRISMA

EQUAÇÕES DO PRISMA