Valores de Referncia da Taxa de Filtrao Glomerular

















































- Slides: 49
Valores de Referência da Taxa de Filtração Glomerular em Recém-Nascidos Muito Prematuros. Glomerular Filtration Rate Reference Values in Very Preterm Infants. Rachel Vieux, Jean-Michel Hascoet, et al Pediatrics 2010; 125; e 1186 Apresentação: Tatiane Melo de Oliveira Coordenação: Márcia Pimentel de Castro www. paulomargotto. com. br Brasília, 7 de setembro de 2012
Introdução Há uma preocupação crescente com dados biológicos que refletem a função renal em prematuros. Os dados publicados sobre os efeitos da prematuridade na idade adulta, baixo peso ao nascer e especialmente déficit de néfrons tem contribuído para este interesse na função renal dos prematuros. No entanto, é difícil avaliar precisamente a depuração renal glomerular em prematuros e estabelecer níveis de risco de lesão renal glomerular aguda nesta população, que já está em maior risco por causa da prematuridade.
Introdução É importante estabelecer valores de referência para a taxa de filtração glomerular em prematuros. Estes valores podem ajudar a classificar prematuros em grupos de risco, permitindo aos médicos adaptar doses de drogas para a depuração renal, reduzindo efeitos colaterais renais. Estudos anteriores sobre a função renal em prematuros ou foram com base em um número reduzido de crianças ou a taxa de filtração glomerular (TFG) simplesmente apresentou valores como a média e SD ou SEM.
Objetivo Determinar os valores de referência atualizados da TFG em uma grande coorte de prematuros extremos; Apresentar valores de referência “fáceis de usar” em curvas com percentis.
Métodos
População do Estudo de coorte multicêntrico, realizado em 3 UTIN acadêmicas francesas. Foram incluídos todos os recém-nascidos (RN) com idade gestacional (IG) entre 27 e 31 semanas, da Unidade ou que vinham de fora. Nas primeiras 48 h de vida, após consentimento por escrito dos pais.
População do Estudo Critérios de exclusão: Insuficiência renal no momento da inclusão definida como creatinina > 130 μmol/L e uréia 9, 1 mmol/L, plasmáticos. Malformação renal grave diagnosticada por ecografia gestacional. * 1 mmol/L de uréia = 0, 166 x mg/d. L de uréia * 1 mg/d. L de creatinina = 88. 4 μmol/l.
Avaliação da Função Renal A TFG foi medida: No momento da inclusão e uma vez por semana durante o primeiro mês de vida – 7°, 14°, 21° e 28° (± 1 dia). A TFG foi avaliada por medição da depuração da creatinina. A urina foi coletada durante 12 h em saco coletor, com especial atenção para evitar vazamentos. A coleta sanguínea foi realizada logo após a coleta urinária por punção venosa delicada e imediatamente levada ao laboratório com objetivo de evitar hemólise.
Avaliação da Função Renal Creatinina foi determinada por um método padronizado de cinética Jaffe, realizada em CX 5 (SYNCHRON Clinical System [Beckman Coulter, Villepinte, França]). O coeficiente de variação foi determinada de 3, 20% para 65 μmol/L e 2, 15% para 470 μmol/L. ) A área de superfície corporal foi determinada pela fórmula de Du. Bois e Dubois: Área de superfície corporal = peso 0, 425 x altura 0, 725 x 0, 007184 (altura em cm e peso em kg).
Projeto de Estudo e Análise Primeiro: revisão da literatura para determinar todos os fatores que poderiam alterar TFG em prematuros. Em seguida: análise doa efeito desses fatores sobre a TFGs dos bebês em nossa população. Finalmente: com os fatores que foram determinados como significativamente associado com o clearance glomerular no passo anterior, construiu-se um modelo para determinar valores de referência da TFG para estes prematuros.
Projeto de Estudo e Análise Revisão da Literatura Pubmed Palavras chaves: função renal e prematuro. Links de vários artigos. A busca foi limitada ao artigos publicados nos últimos 10 anos (1998 -2008) em inglês ou francês.
Projeto de Estudo e Análise Efeito desses fatores na população estudada Passo 1: A partir dos fatores publicados na literatura, determinaram-se aqueles que foram significativamente associados com a depuração glomerular (média da TFG a partir do dia 7 ao dia 28) na análise bivariada usando teste t de Student ou análise de variância (para variáveis com > 2 categorias).
Projeto de Estudo e Análise Passo 2: O efeito sobre a taxa de filtração glomerular de cada fator que atingiu um valor de significância de P< 0, 10 nesta análise bivariada foi então testado, tendo em conta o tempo, com um modelo linear misto com medidas repetidas ajustados em: tempo do dia 7 ao dia 28, o fator de proteção ou de risco publicadas, a idade gestacional e peso ao nascer. Verificou-se uma interação entre essas variáveis e tempo (ou seja, foi o efeito destas variáveis diferentes ao longo do tempo? )
Projeto de Estudo e Análise Passo 3: Fatores que atingiram um valor de significância de P<0, 05 na última análise foram considerados para uma nova análise a ser repetidas, com TFG como variável dependente. As variáveis independentes foram o tempo, a interação tempo -variável e todos os fatores significativos de proteção ou de risco. O modelo final foi escolhido para ter o melhor ajuste estatístico definido como menor probabilidade máxima restrita e menor critério de Akaike de informação.
Projeto de Estudo e Análise Determinação dos valores de referência para a TFG Passo 1: Cálculo dos valores de referência para a TGF baseou-se no modelo final usando coeficientes de regressão ajustados, permitindo a remoção dos fatores de risco que prejudicam a filtração glomerular. Passo 2: Nós verificamos o ajuste do nosso modelo para a nossa população em sub-amostras de variável por IG ou variável tempos diferentes de medida. Passo 3: A validação interna do nosso modelo foi obtida usando uma técnica de inicialização, gerando 1000 amostras. * Software estatístico SAS 9. 1 (SAS Institute Cary, NC)
Resultados
Características Gerais da População Amostra: 275 crianças que estavam com idade gestacional de 27 a 31 semanas Incluídos prospectivamente de outubro de 2004 a agosto de 2006. Durante este período, 66 crianças com a mesma IG foram excluídos, seja por terem atendido os critérios de exclusão (n = 38) ou por falta de consentimento dos pais (n = 28).
Características Gerais da População
Características Gerais da População A morbidade no final do período de estudo (dia 28) foi: 82 (29, 8%) lactentes necessitaram de oxigênio aos 28 dias de vida, 56 (20, 4%) apresentaram hemorragia intraventricular (graus 1 a 4), 29 (10, 5%) apresentaram gruas 1 a 3 de enterocolite necrosante, e 10 (3, 6%) crianças tinham morrido. *algumas crianças apresentaram-se com diversas patologias
Descrição da Função Renal 17 resultados da TFG foram excluídos devido a coleta urinária não ter sido correta (4 no dia 7, 2 no dia 14, 6 no dia 21 e 5 no dia 28). A TFG aumentou durante o 1° mês de vida: Dia 7 - 18, 5 ± 12, 6 Dia 14 - 20, 6 ± 13, 1 Dia 21 - 22, 2 ± 11, 7 Dia 28 - 26, 2 ± 19, 6 Este aumento foi inversamente correlacionado com a IG.
Descrição da Função Renal
Fatores de risco que diminuem a TFG encontrada na literatura médica recente 16 artigos, sendo que 9 reconheceram fatores de risco e 4 reconheceram fatores protetores para função renal. Fatores de risco: inibidores da ciclooxigenase, antibióticos nefrotóxicos, tratamento pré-natal com sulfato de magnésio, hipotensão arterial sistêmica, hipovolemia, asfixia perinatal, sepse, CIUR, anomalias congênitas do rim e do trato urinário. Fatores protetores: uso de corticóide antenatal, diuréticos, metilxantinas e dopamina ≤ 5 μg/Kg/min.
Fatores de risco que diminuem a TFG encontrada na literatura médica recente Antibióticos nefrotóxicos: aminoglicosídeos, glicopeptídeos, inibidores da síntese de ácido nucleico (nitroimidazolícos e rifampicina). Hipotensão arterial sistêmica: necessidade de suporte vasoativo pela dobutamina ou dopamina > 5 μg/kg/min. Hipovolemia: necessidade de fluidos intravenosos para expansão. Asfixia perinatal: Apgar < 7 no 5° minuto. Restrição do crescimento intrauterino: peso ao nascer menor que o terceiro percentil para a IG na curva do Yudkin. Dopamina como um potencial fator de proteção quando prescritos em doses ≤ 5 μg/kg/min.
Efeito desses fatores na população estudada
Efeito desses fatores na população estudada Passo 1: Nenhum fator de proteção foi significativo. Fatores de risco significativos foram: diuréticos, dopamina, inibidores da COX (ciclooxigenase), antibióticos nefrotóxicos, hipotensão arterial sistêmica, sepse, baixa IG e baixo peso ao nascer. Passo 2: Fatores de risco significativos para TFG inferior por meio de análise de medidas repetidas multivariada: baixo peso ao nascer, baixa IG, inibidores da COX, sepse e crescimento intrauterino restrito.
Efeito desses fatores na população estudada Passo 3: Os modelos multivariados foram ajustados com base nos fatores a partir do passo 2. O modelo que atingiu o melhor ajuste estatístico definido como menor probabilidade máxima restrita e menor critério de Akaike de informação é descrito na Tabela 3.
Efeito desses fatores na população estudada
Determinação dos valores de referência para TFG Passo 1: Coeficientes do modelo do presente trabalho (Tabela 3) foram aplicadas a todas as crianças que não apresentam fatores de risco (inibidores da COX, septicemia, RCIU). Os valores de referência para cada IG são (Tabela 4): Dia 7: TFG = - 63, 57 + 2, 85 x IG Dia 14: TFG = - 60, 73 + 2, 85 x IG Dia 21: TGF = - 58, 97 + 2, 85 x IG Dia 28: TGF = - 55, 93 + 2, 85 x IG
Determinação dos valores de referência para TFG
Determinação dos valores de referência para TFG Passo 2: TFG estimada pelo modelo apresentou um bom ajuste para TFG pela depuração da medida nas 146 crianças que estavam livres dos fatores de risco mencionados. Isto era verdade, quer quando a amostra era considerada como um todo ou quando a análise foi realizada em subamostras menores de acordo com a IG ou para o tempo de medida (Tabela 5).
Determinação dos valores de referência para TFG
Determinação dos valores de referência para TFG Passo 3: A validação interna do modelo com a técnica de inicialização foi boa (diferença média entre a TFG medida e estimada = 1, 35 m. L/min/1, 73 m 2; P = 0, 82).
Discussão
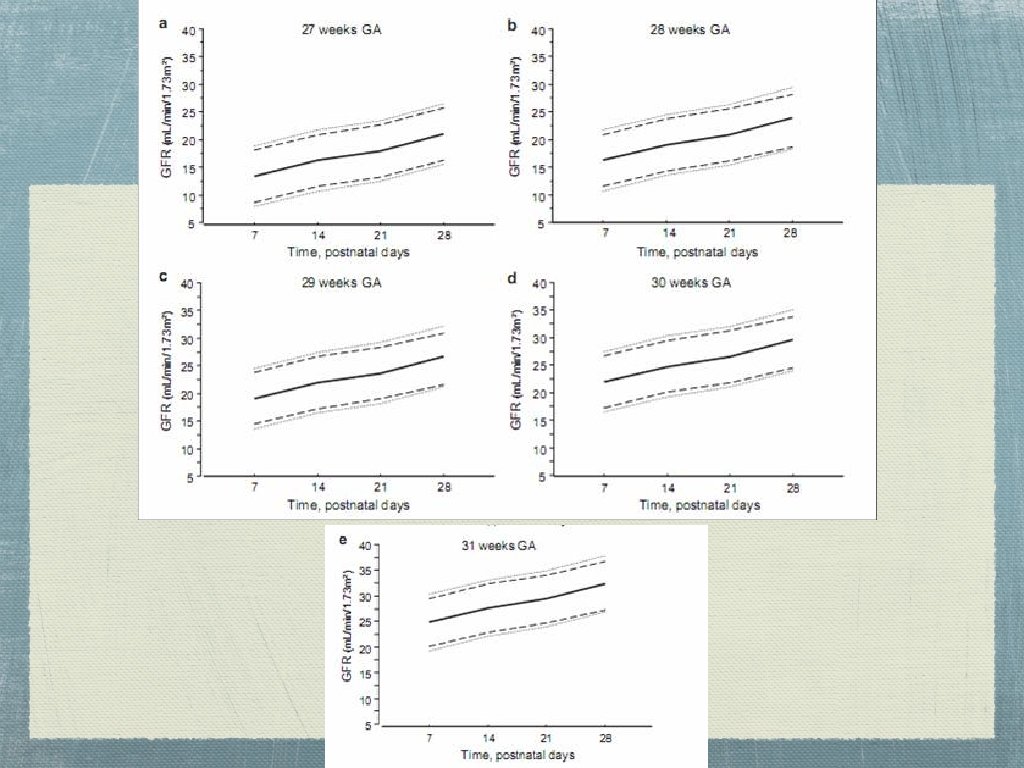
Interesse do Estudo Utilidade de valores de referência na Prática Clínica Apresentou-se duas representações gráfica e tabular de mediana e percentis 3, 10, 90 e 97 de TFG para cada IG a partir da 27 a 31 semanas, durante o primeiro mês de vida. Esta informação pode ser muito útil para os médicos em sua prática cotidiana na UTIN, o que lhes permite classificar prematuros de acordo com a depuração renal e para monitorar e avaliar lesão renal. O diagnóstico da TFG inesperadamente baixa nessas crianças devem levar a doses adequadas de medicamentos que são eliminados principalmente por clearance renal, diminuindo assim o risco de efeitos adversos.
Interesse de Estudo Abordagem metodológica e populacional usada para estabelecer valores de referência para TFG Ao estabelecer os valores normais, é comum excluir todos os pacientes que são reconhecidamente portadores de valores anormais para as medida particularmente estudadas. Consequentemente, o tamanho da amostra sobre a qual os valores de referência são estabelecidos é baixa e, em seguida, a população de referência intrinsecamente difere de um padrão da população a que os valores de referência são destinadas a ser aplicadas.
Interesse de Estudo A população do estudo é uma amostra relativamente grande de prematuros. Foram excluídas crianças que apresentaram diagnóstico prénatal de malformação renal grave, porque o seu tratamento após o nascimento é diferente da dos RN prematuros que apresentam outros fatores de risco para insuficiência renal. Também foram excluídos os prematuros que já tinham insuficiência renal no momento do nascimento.
Interesse de Estudo Não excluiu-se os RN que apresentavam fatores de risco de alteração TFG, numa primeira fase. Crianças que apresentaram fatores de risco foram excluídos apenas a partir da descrição tabular numérica e a aplicação gráfica dos valores de referência.
Interesse de Estudo A não exclusão deste grupo teve como objetivo: Aderir à população para a qual os valores de referência são destinados (população prematuro polimórfica da UTIN), e Aumentar a precisão no modelo da TFG como resultado de um aumento do número de crianças incluídas na análise e para uma maior precisão no efeito de cada variável na TFG.
Interesse de Estudo Além disso, estabeleceu-se estes valores de referência da TFG em uma população multicêntrica. As 3 UTIN francesas incluídas neste estudo estão localizadas em áreas geográficas distantes (nordeste e sul da França); Tem protocolos de atendimento diferentes. Proporcionando uma diversidade interessante para a população do estudo e permitindo a generalização das curvas para outras unidades.
Comparação de valores de referência para os valores publicados Bueva e Guignard: incluiu um total de 66 pré-termo quanto RN a termo estáveis. Gallini et al: incluiu 83 RN que estavam com IG <32 semanas e não apresentavam fatores de risco para comprometimento da função renal. Ambos os estudos apresentaram TFG como meios e SD ou SEM, mas não em percentuais.
Comparação de valores de referência para os valores publicados O estudo atual é o primeiro a avaliar valores de referência da TFG para RN muito prematuros em uma grande coorte de 275 crianças. As vantagens do nosso estudo são: Grupo relativamente grande; Apresentação de valores de referência dos RN prematuros com TFG durante um período de 1 mês em gráficos com a mediana e percentis, permitindo que o nível de comprometimento da TFG seja avaliada rapidamente.
Limitações O tempo entre os pontos de medição na análise longitudinal: Embora GFR é uma função dinâmica, não é possível medir continuamente para averiguar a sua cinética. O método de medição: O padrão-ouro para determinar a taxa de filtração glomerular é clearance de inulina, mas a necessidade de esvaziamento voluntário da bexiga torna impossível em RN. Mas o clearance de creatinina é uma medida aceita e viável no RN (utilizada em todas as UTI Neonatais).
Limitações Validação externa: O presente estudo não foi submetido a validação externa. Validação externa implicaria a realização de punção venosa em muitos recémnascidos prematuros, exclusivamente para a finalidade de verificar dados. Os valores de referência da TFG estimada eram adequados para cada IG e para cada ponto de medição. Validação interna: Realizada por meio de um método de inicialização em toda a população, com não menos do que 1000 combinações diferentes da amostra.
Conclusão As curvas de referência e quadros apresentados são baseados em uma coorte multicêntrica. Modelagem estatística da TFG permitindo predição dos valores normais da TFG para crianças de uma dada IG através de uma fórmula matemática simples.
Conclusão Os gráficos são feitos para serem usados por neonatologistas que trabalham na UTI Neonatal para adaptar doses de drogas ou para determinar grupos de risco em estudos retrospectivos ou prospectivos que medem TFG. A aplicação destes valores de referência para TFG em UTI Neonatal irá determinar a sua utilidade prática e clínica.
O que se sabe sobre este tema: A função renal é frágil em prematuros extremos. Doses de medicamentos com depuração glomerular devem ser adaptadas para TFG, ainda não há normograma da TFG para prematuros extremos. O que estudo adiciona: Este estudo apresenta um nomograma de TFG em bebês muito prematuros, que é fácil de usar na prática clínica e que deve ser útil para os médicos que trabalham em UTI Neonatal.
Consultem também Injúria renal aguda Autor(es): Paulo R. Margotto. Márcia Pimentel de Castro Taxa de filtração glomerular (TFG) baixa, secundária a uma resistência vascular aumentada ao nível das artérias glomerulares. Enquanto 2% a 3% do débito cardíaco, vai para os rins na vida intra-uterina (esses órgãos não têm a função de controlar o meio interno, função esta desempenhada pela placenta), ao nascimento este percentual do débito cardíaco como fluxo sanguíneo renal deve ser sextuplicado em poucos dias, atingindo 12% a 18% no RN a termo, aproximando-se de 25% que é o nível de adultos. A taxa de filtração glomerular é de aproximadamente 26 ml/min/1. 73 m² com 34 semanas de idade gestacional. Com 25 semanas, a TFG é de 2 ml/min/1. 73 m², alcançando níveis de maturação na idade de 9 -12 meses (aproximadamente 125 ml/min/1. 73 m²). Podemos calcular a TFG pela fórmula: K x comprimento do RN creatinina sérica (fórmula de Schwartz), sendo K uma constante, cujo valor é 0. 33 para RN de baixo peso e 0. 45 para RN a termo (K representa a creatinina urinária por unidade de peso corporal). Existe, então, limite da capacidade do RN para resistir ao stress de uma sobrecarga de água.
AAuron and MJ Mhanna. Serum creatinine in very low birth weight infants during their first days of life. J Perinatol 26: 755, 2006.