Using the Tables for the standard normal distribution
Using the Tables for the standard normal distribution
Tables have been posted for the standard normal distribution. Namely The values of z ranging from -3. 5 to 3. 5
If X has a normal distribution with mean m and standard deviation s then has a standard normal distribution. Hence
Example: Suppose X has a normal distribution with mean m =160 and standard deviation s =15 then find:
This also can be explained by making a change of variable Make the substitution when Thus and
The Normal Approximation to the Binomial
The Central Limit theorem If x 1, x 2, …, xn is a sample from a distribution with mean m, and standard deviations s, Let Then the distribution of approaches the standard normal distribution as
Hence the distribution of approaches the Normal distribution with or the distribution of approaches the normal distribution with
Thus The Central Limit theorem states That sums and averages of independent R. Vs tend to have approximately a normal distribution for large n. Suppose that X has a binomial distribution with parameters n and p. Then where are independent Bernoulli R. V. ’s
Thus for large n the Central limit Theorem states that has approximately a normal distribution with Thus for large n where X has a binomial (n, p) distribution and Y has a normal distribution with
The binomial distribution
The normal distribution m = np, s 2 = npq
Binomial distribution n = 20, p = 0. 70 Approximating Normal distribution Binomial distribution
Normal Approximation to the Binomial distribution • X has a Binomial distribution with parameters n and p • Y has a Normal distribution
Approximating Normal distribution P[X = a] Binomial distribution
P[X = a]
Example • X has a Binomial distribution with parameters n = 20 and p = 0. 70
Using the Normal approximation to the Binomial distribution Where Y has a Normal distribution with:
Hence = 0. 4052 - 0. 2327 = 0. 1725 Compare with 0. 1643
Normal Approximation to the Binomial distribution • X has a Binomial distribution with parameters n and p • Y has a Normal distribution
Example • X has a Binomial distribution with parameters n = 20 and p = 0. 70
Using the Normal approximation to the Binomial distribution Where Y has a Normal distribution with:
Hence = 0. 5948 - 0. 0436 = 0. 5512 Compare with 0. 5357
Comment: • The accuracy of the normal appoximation to the binomial increases with increasing values of n
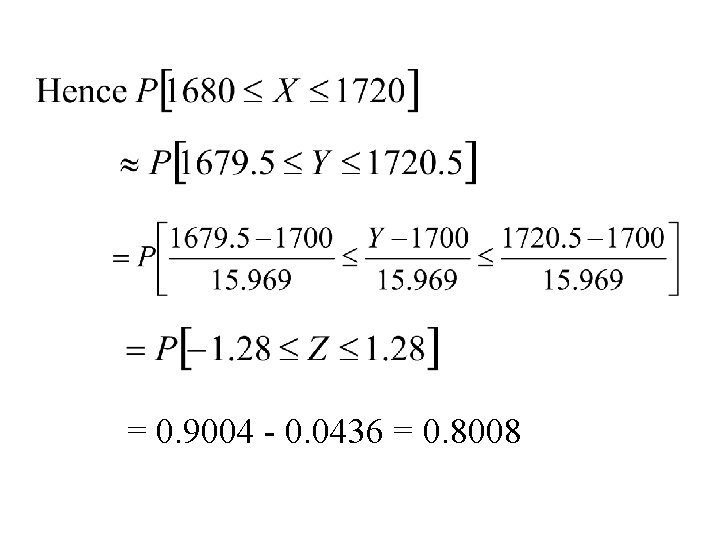
Example • The success rate for an Eye operation is 85% • The operation is performed n = 2000 times Find 1. The number of successful operations is between 1650 and 1750. 2. The number of successful operations is at most 1800.
Solution • X has a Binomial distribution with parameters n = 2000 and p = 0. 85 where Y has a Normal distribution with:
= 0. 9004 - 0. 0436 = 0. 8008
Solution – part 2. = 1. 000
- Slides: 32