UNIVERSITE DE PICARDIE JULES VERNE Facult de Pharmacie



























- Slides: 27
UNIVERSITE DE PICARDIE JULES VERNE Faculté de Pharmacie Chimie Organique- EA 3901 -DMAG-INERIS I- REACTIONS SECONDAIRES EN SYNTHESE PEPTIDIQUE II AGENTS DE COUPLAGE EN SYNTHESE PEPTIDIQUE A. Dassonville, P. Sonnet Revue conseillée : Humphrey J. M. and Chamberlin A. R. Chemical Synthesis of Natural Product Peptides : Coupling Methods for the Incorporation of Noncoded Amino Acids into Peptides Chem. Rev. 1997, 2243 -2266 21/02/2005
I- REACTIONS SECONDAIRES EN SYNTHESE PEPTIDIQUE
1. Racemisation par formation d ’oxazolones intermédiaires : 2. Formation de N-carboxyanhydride
3. Formation de dicétopipérazine 4. Formation de guanidine
II- AGENTS DE COUPLAGE EN SYNTHESE PEPTIDIQUE Revue conseillée : Han S-Y and Kim Y-A Recent development of peptide coupling reagents in organic synthesis Tetrahedron 2004, 60, 2447 -2467
1. CARBODIIMIDES 1. 1. Structures Sheedan JACS 1955, 77, 1067 Izdebski J. pet. Sci. 1997, 3, 141; Orlowska Pol. J. Chem. 1994, 68, 713 Gibson JOC 1994, 59, 7503
1. 2. Commentaires - Progrès réalisés pour solubiliser les urées lors du traitement (EDC, BDDC contenant une chaîne hydrophile) -Combinaison carbodiimide/activateur (HOSu, …) pour former des esters activés a été largement utilisé (synthèse de la Polyoxine J) (Dondoni JOC 1997, 62, 5497). Anderson JACS 1963, 85, 3039 Neftkens JACS 1961, 83, 3066 -Dans les années 90, l’efficacité des esters Pfp a été exploitée [macrolactamisations, synthèse de cyclopeptides alkaloïdes (Schmidt J. Chem Soc, Chem Comm. 1991, 1002), macrobicycles (Pernia JACS 1996, 118, 10220)] et Kretsinger suggère que les esters Tfc, obtenus à partir du di-(pchlorotetrafluorophényl)carbonate, montrent une réactivité similaire voire supérieure (Medvedkin Int. J. Pept. Protein. Res. 1994, 477).
2. ADDITIFS 2. 1. Structures Spetler J. Chem. Soc, Perkin Trans 1 1998, 1727 Carpino Org. Lett. 2003, 5, 975 2. 2. Commentaires - En 1970, König et Geiger découvre HOBt (Chem. Ber. 1970, 103, 788). - HOAt (Carpino JACS 1993, 115, 4397) est plus efficace que HOBt du fait de l’assistance de l’azote pyridinique mais il est beaucoup plus cher. L’utilisation du 6 Cl-HOBt semblerait être un bon compromis (Sabatino Lett. Peptide Sci. 2003, 9, 119). - HODhbt à la même réactivité que HOAt et le même avantage au niveau du suivi de la réaction (passage du jaune à l’incolore quand l’acylation est complète). Son utilisation a toutefois été limitée dû à la formation d’un sous-produit de réaction (ouverture du cycle).
- Récemment, son analogue HODhat a été synthétisé; il donne naissance au même sous-produit mais il est plus efficace au niveau du suivi de la réaction (jaune au rouge orangé) et donne généralement de meilleurs rendements et un taux de racémisation inférieur lorsqu’il est couplé avec DCC ou EDC (Carpino, JOC 2004, 69, 54). - En 1999, Ramage étudie le couple DIC/HOCt en phase liquide et solide. La racémisation lors de divers couplages dipeptidiques est négligeable pour tous les AAs sauf l’histidine. Un taux supérieur est obtenu lorsque l’additif est HOBt (Ramage Tetrahedron 1999, 55, 2713). - Récemment, Carpino et Heinklein ont montré l’efficacité d’additifs fluorés polyhydrogénés. Lorsque PTF est combiné avec HBTU le couplage est aussi efficace que lors de l’utilisation de HATU. De plus, il exalte l ’activité des carbodiimides en transformant l ’O-acylurée intermédiaire en acide fluorhydrique. Cependant, cet additif ne peut pas être utilisé avec des réactifs organophosphorés ou des sels de phosphonium du fait de la force de liaison P-F. - Des additifs inorganiques peuvent également être employés comme Cu. Cl 2 qui permet parfois une baisse de racémisation lorsqu’il est combiné avec d’autres agents de couplage mais il n’y a pas d’amélioration notable du rendement (Nishiyama Chem. Pharm. Bull. 1999, 47, 5767; Nishiyama TL 2001, 42, 8789). - Des complexes tels que Cu(OBt)2 et Cu(OAt)2 peuvent également être employés (Van den Nest J. Pept. Sci. 2004, 7, 115).
3. SELS DE PHOSPHONIUM 3. 1. Structures
3. 2. Commentaires - En 1970, Castro introduit Clo. P (Castro TL 1972, 4747) et Bro. P (Castro TL 1973, 3243) comme agents de couplage mais ces derniers, bien qu’efficaces pour le couplage d’AAs N-méthylés, induisent une racémisation négligeable dans le test de Young (Bz-Leu-Gly-OEt). -La découverte de HOBt ouvre alors la voie vers la synthèse de nouveaux agents de couplage tels que Clo. P -HOBT plus connu sous le nom de BOP (Castro TL 1975, 1219). Le problème est que le sous produit qu’il engendre est toxique (HMPA), pour pallier à cela Py. BOP (Coste TL 1990, 31(2), 205) est synthétisé. - En 1991, Coste étudie les réactifs halogéno-phosphonium Py. Bro. P et Py. Clo. P (Coste TL 1991, 32(17), 1967) et démontre qu’ils sont plus efficaces que Py. BOP, notamment dans le couplage d’AAs N-méthylés. Ceci s’explique par la formation d’esters de benzotriazole stables dans le cas de Py. BOP ce qui baisse la réactivité et le rendement. - Lors du couplage de thioacide avec une amine Py. NOP et Py. FOP donne majoritairement le thioamide tandis que Py. Bro. P donne l’amide majoritairement (Hoeg-Jensen JOC 1994, 59, 1257). Les sels de phosphoniums sont préférés aux sels d’uroniums pour les réactions de cyclisation car ces derniers induisent des réactions de guanilidation sur le groupe amino.
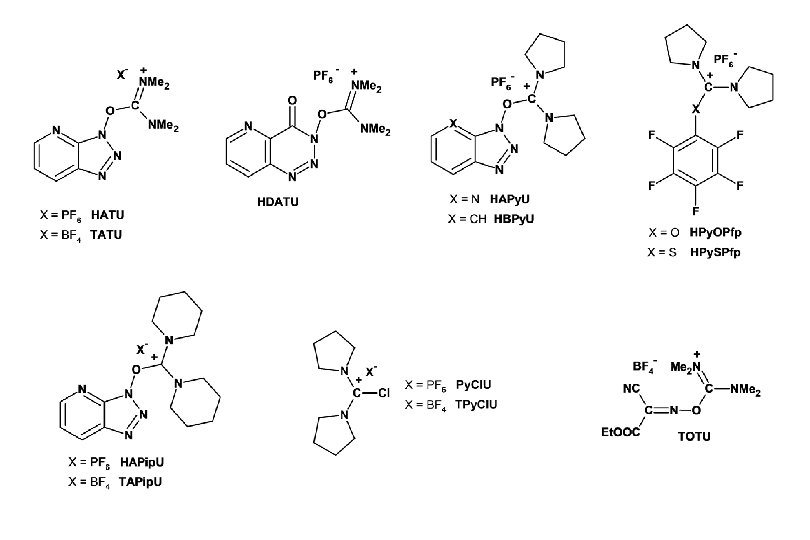
4. SELS D’URONIUM 4. 1. Structures
4. 2. Commentaires - En 1978, HBTU est découvert par Dourtoglou, c’est le premier sel d’uronium (Dourtoglou TL 1978, 1269). - Dès lors, Knorr synthétise et étudie de nombreux analogues de HBTU (Knorr TL 1989, 30, 1927). Les contre-ions le plus souvent utilisés sont les anions tétrafluoroborate et l’hexafluorophophate qui ont la propriété d’être non nucléophiles et qui, selon une étude menée sur HBTU et TBTU, n’influencent pas le rendement de couplage et la racémisation. - TSTU et TNTU sont des agents de couplage utilisés lors de réactions en milieu aqueux. - HATU, sel de guanidinium de HOAt a récemment été utilisé avec succès pour la synthèse d’une molécule très compliquée dont la dernière étape consiste en une bismacrocyclisation peptidique (Himastatin) (Kamenecka Chem. Eur. J. 2001, 7, (41), 637). - Une étude menée par Ehrlich en 1996 sur la cyclisation de L-pentapeptides montre que HATU, HAPy. U et TAPip. U sont plus efficaces que TBTU, BOP et DPPA. De plus, ils permettent de réduire les réactions de cyclodimérisations et d’épimérisation du résidu C-terminal, sous produits difficiles à éviter (Ehrlich JOC 1996, 61(25), 8831).
-HPy. OPfp a été utilisé pour la synthèse de glycopeptides en phase solide, il a montré une activité comparable à HATU (Habermann TL 1998, 39, 265). Son activité et celle de son homologue soufré ont également été testée lors de la cyclisation d’un pentapeptide à base d’alanine : Seuls, ils sont moins efficaces que HAPy. U, HATU et Py. AOP, en revanche l’ajout de HOAT exalte leur activité (Klose TL 1999, 40, 2045). - D’après une étude récente, HDATU, en phase liquide et solide, est toujours plus efficace que HDTU et parfois plus efficace que HATU (surtout en phase solide) (Carpino JOC 2004, 69(1), 54), . - Une étude menée par Albericio et Kates démontre que tous les réactifs de couplage peuvent-être incorporés efficacement en phase solide. Elle démontre également qu ’en absence de base, les sels d’uronium plus stables que les sels de phosphonium tandis qu ’en présence de base ces derniers peuvent -être légèrement plus stables (Albericio JOC 1998, 63, 9678).
5. SELS DE THIOURONIUMS 5. 1. Structures 5. 2. Commentaires - Récemment, de nouveaux agents de couplage de type thiouronium ont été synthétisés par Nájera. Ceux sont des oxydes de 2 -mercaptopyridine qui dérivent de tetraméthylurée (HOTT, TOTT; Bailen JOC 1999, 64, 8936) et de diméthylpropylurée (HODT et TODT; Albericio Tetrahedron 2001, 57, 9607). - Les dérivés de la tétraméthylurée peuvent-être facilement préparés, one-pot, à partir de tétraméthylurée. TOTT est plus efficace dans le cas de couplages difficiles avec une activité approchant celle de HATU et un taux de racémisation inférieur à celui de BOP, Py. BOP, HBTU et HATU dans le test de Young. - Pour le couplage de Cbz-Me. Val-OMe, les 4 nouveaux agents montrent une activité similaire en phase liquide (75 -82%) mais TOTT et HOTT sont plus efficaces en phase solide tant au niveau du rendement qu’au niveau de la racémisation.
6. SELS D’IMMONIUM 6. 1. Structures
6. 2. Commentaires - En 2000, Xu publie de nouveaux sels d’immonium par modification de sels d’uronium connus. La distinction structurale de ces réactifs est le remplacement d’un groupement amino de l’atome de carbone central dans les sels d’uronium par un hydrogène, un alkyle ou un aryle (Li TL 2000, 41, 721) - BOMI et BDMP ont montré une plus grande réactivité que leurs congénères AOMP, FOMP, DOMP, BPMP et SOMP pour la synthèse du tripeptide Cbz-Gly-Phe-Val-OMe (Li TL 2000, 56, 4437). - Dans le cas de couplages peptidiques avec des AAs « normaux » , les sels d’immonium donnent des résultats plus intéressants que les sels d’uronium tels que HAPy. U et HBPy. U. Ceci peut s’expliquer par la stabilisation du carbocation uronium par résonance ce qui retarderait la réactivité par rapport aux sels d’immonium correspondants - Dans le cas de couplages avec des AAs N-méthylés et , -dialkylés, les sels d ’HOAt sont plus efficaces dû, certainement, à la réactivité de l ’ester intermédiaire. - Les conditions réactionnelles idéales pour utiliser ces agents sont la 2, 6 -lutidine comme base dans le THF ou CH 3 CN.
7. IMIDAZOLIUM 7. 1. Structures Anderson JACS 1958, 80, 4423 Saha JACS 1989, 111, 4856. Akaji TL 1992, 33, 3177 Li Tetrahedron 2000, 56, 9949. Li JOC 2000, 65, 2951 Wischnat TL 2003, 44, 4393
7. 2. Commentaires - Les imidazoliums découlent de la structure des carbodiimides, ainsi CDI (découlant de DCC) a été testé avec succès dans la synthèse de Mosapride (agent gastroprocinétique). L ’utilisation d ’EDC à la place de CDI induit une baisse de réactivité. - Rapoport introduit ensuite un nouvel imidazolium, CBMIT, particulièrement utilisé pour les couplages peptidiques avec des AAs encombrés tels que la valine ou Aib (acide α-aminoisobutyrique) et qui n ’induit pas de racémisation en présence de Cu. Cl 2 ou Cu(OTf)2. . Le soucis avec cet agent de couplage est qu’il est sensible à l’humidité, ne se conserve pas et que du fait de sa polarité, le choix du solvant est restreint aux solvants polaires tel que le nitrométhane. -En 1992, Kiso introduit un nouvel agent de couplage, BOI et son précurseur CIP. Ce n ’est que plus tard que l’efficacité de CIP est évaluée dans une réaction de couplage entre deux AAs α, α-dialkylés; le couple CIP/HOAt induit alors un rendement de l ’ordre de 80% supérieur à celui obtenu avec Py. Bro. P, TODT, TOTT et CIP seul (Albericio Tetrahedron 2001, 57, 9607). - En 2000, Xu teste BEMT et BEP, avec succès, pour les couplages les plus difficiles de la Cyclosporine O (undecapeptide contenant sept AAs N-méthylés). Ils se montrent plus réactifs que Py. Brop, BTFFH ou BOP-Cl. Après sélection, BDMP a été utilisé pour les couplages les plus simples et la cyclisation. - En 2003, Wischnat reprend les travaux de Xu, améliore la stratégie de synthèse du BEMT (3 étapes à partir de la chloroacétone) et découvre BMTB qui, dans le modèle N-Boc-Me. Ile + Me. Ile-OBn, se trouve être deux fois plus actif que HATU et quatre fois plus que BEMT.
8. ORGANOPHOSPHORES 8. 1. Structures Ueki Chem. Lett. 1982, 45 Shiori JACS 1972, 94, 6203 Takuma Chem Pharm Bull 1982, 30, 3147. Shiori Chem Pharm Bull 1974, 22, 849. Diago-Meseguer Synthesis 1980, 547 Chen Tetrahedron 1991, 32, 6711 Takuma Chem Pharm Bull 1982, 30, 3147.
Miyake Chem. Lett. , 1985, 123. Panse Indian. J. Chem. 1989, 793 Ramage TL 1984, 25, 4825. Kim TL 1985, 26, 1341 Fan Synth. Commun. 1996, 50760
8. 2. Commentaires - Depuis 1972 où DPPA a été découvert par Yamaha, de nombreux autres réactifs organophosphorés ont été développés. Ces réactifs sont réputés pour conduire à une excellente régioselectivité vis à vis de l ’attaque de l ’amine. - Depuis 1982 sont introduits les agents thiophosphoniques MPTA et MPTO. Pour la cyclisation de H-DTrp-D-Glu(OBn)-Ala-D-Val-Leu-OH, MPTA est plus actif (84%) que MPTS et DPPA avec un taux de racémisation inférieur (0. 1%). - FDPP a été utilisé dans les années 1990 pour de nombreuses macrocyclisations. - DEPBT provient de DEPC et HODhbt, additif plus efficace que HOBt en tant que suppresseur de racémisation. Les conditions optimales requises sont 2éq de DEPBT et de DIEA dans le THF. Il a montré une certaine efficacité dans la synthèse de N-glycopeptides (Liu Synth. Comm. 2002, 32, 473). Pour la cyclisation de peptides (Tang Chem Lett 2000, 826) cet agent est plus efficace que BOP, HBTU et TBTU et possède la même réactivité que DPPA.
9. AGENTS HALOGENANTS 9. 1. Structures Vankataraman TL 1979, 20, 3037 Kaminski Synthesis 1987, 917. Falb J. Pept. Res. 1999, 53, 507. Zouikri J. Pept. Res. 1998, 52, 19. Carpino JACS 1995, 117, 5401.
9. 2. Commentaires - L ’acylation est un procédé intéressant pour faire réagir des AAS encombrés, néanmoins les risques de racémisation sont importants. Introduite par Fischer en 1903 (Fischer Ber. Deusch. Chem. Ges. 1903, 36, 2106), cette méthode reste donc peu utilisée malgré la réactivité et le faible coût. - Toutefois, récemment Gilon a évalué BTC sur phase solide pour la synthèse d ’AAs N-alkylés et il se montre plus efficace que HATU et DCC. Devant ces résultats, les auteurs ont utilisé BTC, avec succès, en combinaison avec HOAt/DIC pour la synthèse et la cyclisation de la Cyclosporine O. Cet agent ne semble pas être plus efficace que BEMT et ils ont rencontré des problèmes pour le couplage des AAs non méthylés. - Du fait, de la meilleure stabilité des fluorures d ’AAs vis à vis de l ’humidité, des agents fluorés ont été développés. - Il s ’avère que pour des AAs stériquement encombrés tels que Deg ( , -diéthylglycine), Me. Aib et Iva (Isovaline), les fluorures d ’acides donnent d ’excellents résultats. En 1999, Danishefsky utilise cette méthode devant l ’inefficacité (surtout du point de vue racémisation) rencontré avec BOP-Cl, DCC/HOBt et DCC/DMAP pour la synthèse de 5 -N-acétylardeenine (Depew JACS 1999, 121, 11953). - En 1995, Carpino développe une nouvelle génération de sels; les fluoroformamidiums dont la particularité est de généré le fluorure in situ. TFFH est cité comme l ’un des agents les plus puissants pour le branchement d ’AAs N-méthylés (Thern TL 2002, 43, 5013).
10. CHLOROFORMATE, PYRIDINIUM ET AUTRES AGENTS DE COUPLAGE 10. 1. Structures Mukaiyama Angew. Chem. Int. Ed. Engl. 1979, 18, 707. Fulchi Synlett 2000, 275 Li Tetrahedron 2000, 56, 8119 Li Chem. Lett. 2000, 204 Mohapatra JOC 1999, 64, 6879 Murakami TL 1996, 37, 7541
10. 2. Commentaires - La DMTMM est un agent de couplage efficace qui a l ’avantage d ’être stable et de donner des sous produits que l ’on peut facilement éliminer par lavage acide. - le sel de ter-butyl carbonate efficace, peu couteux et stable, engendrerait un taux de racémisation inférieur au couple DCC/HOBt. - DPTF est un agent de couplage que l ’on peut utiliser en milieu aqueux.