Universidade Federal do Rio Grande do Norte UFRN

  • Slides: 25
Download presentation
Universidade Federal do Rio Grande do Norte – UFRN Centro de Ciências e Exatas

Universidade Federal do Rio Grande do Norte – UFRN Centro de Ciências e Exatas da Terra – CCET Departamento de Estatística – DEST Programa de Educação Tutorial - PET Cálculo Diferencial e Integral Limite • • • Limites de funções (introdução intuitiva) Limites laterais Funções contínuas (introdução intuitiva) Limites infinito e limites no infinito Propriedades de limites e técnicas para calcular limites Limites de funções trigonométricas

Limites de funções (introdução intuitiva) •

Limites de funções (introdução intuitiva) •

 • Também podemos observar essa aproximação atribuindo valores para x próximos de 2.

• Também podemos observar essa aproximação atribuindo valores para x próximos de 2. • Atribuindo a x valores próximos de 2, porém menores que 2, temos: x 1, 999 f(x) 3, 61 3, 96 3, 996 • Se atribuirmos a x valores próximos de 2, porém maiores que 2, temos: x 2, 111 f(x) 4, 41 4, 04 4, 004 • Observa-se em ambas as tabelas que, quando x se aproxima cada vez mais de 2, f(x) aproxima-se cada vez mais de 4, isto é, quanto mais próximo de 2 estiver x, tanto mais próximo de 4 estará f(x).

Limites laterais •

Limites laterais •

Funções contínuas (introdução intuitiva) • Dizemos que uma função é contínua se o gráfico

Funções contínuas (introdução intuitiva) • Dizemos que uma função é contínua se o gráfico puder ser desenhado em todos os pontos pertencentes ao domínio sem levantar o lápis. Exemplo 4: Percebe-se que ao desenhar o gráfico ao lado teríamos que levantar o lápis quando x=0 para prosseguir o desenho, com isso a função ao lado não é contínua no seu domínio.

Exemplo 5: Veja que na função ao lado, em nenhum momento levantaríamos o lápis

Exemplo 5: Veja que na função ao lado, em nenhum momento levantaríamos o lápis para desenha-la em todo o seu domínio, com isso não é difícil notar que a função é contínua. • OBS: Em contextos avançados, este critério que estamos utilizando para identificar se uma função é ou não contínua é errado, mas para o momento tal análise é suficiente.

Limites infinito e limites no infinito • x 1 10 1000 f(x) 1 0,

Limites infinito e limites no infinito • x 1 10 1000 f(x) 1 0, 01 0, 001 x 1 0, 01 0, 001 f(x) 1 10 1000

 • x -1 -1000 f(x) -1 -0, 01 -0, 001 x -1 -0,

• x -1 -1000 f(x) -1 -0, 01 -0, 001 x -1 -0, 01 -0, 001 f(x) -1 -1000

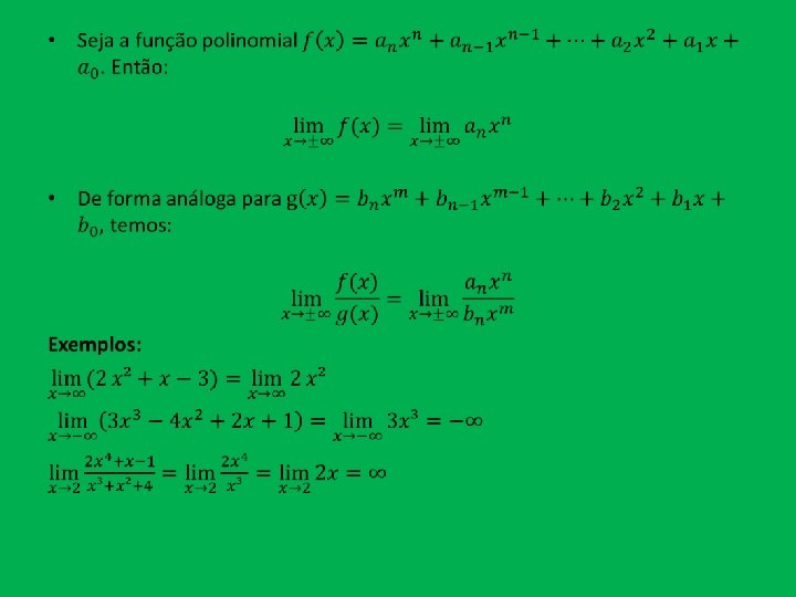
Propriedades de limites e técnicas para calcular limites •

Propriedades de limites e técnicas para calcular limites •

Limites de funções trigonométricas •

Limites de funções trigonométricas •