Universidad de Los Andes Facultad de Ciencias Econmicas


































- Slides: 34
Universidad de Los Andes Facultad de Ciencias Económicas y Sociales Catedra: Microeconomía asignatura: Microeconomía II Semestre: A-2018 Profesora Clarimar Pulido
Unidad I: Teoría de la Competencia Imperfecta Tema 2: Oligopolio 2. 1. Características de los mercados olipólicos 2. 2. Diferenciación entre oligopolio y competencia monopolística 2. 3. Modelos Olipólicos: 2. 3. 1. Cournot y el equilibrio de Nash 2. 3. 2. Stackelberg 2. 3. 3. Bertrand 2. 3. 4. Cártel o colusivo 2. 3. 5. Firma dominante 2. 3. 6. Rigidez de precios y la demanda quebrada
“La estructura del mercado es una descripción de la conducta de los compradores y los vendedores en ese mercado” (Fischer y Dornbush) Mientras que los costos determinan el límite inferior de los precio, el mercado y la demanda del bien o servicio determinan el límite superior, allí radica la importancia de conocer las estructuras del mercado.
Elementos que definen la estructura de mercado Numero de empresas (oferentes) en el mercado Libertad de entrada de nuevos competidores Grado de estandarización del producto Poder de mercado
Clasificación de los Mercados Tipo de mercado Numero de empresas Libertad de Estandarizaco entrada n del producto Competencia perfecta Muchas Ilimitada Homogeneo Competencia monopilistica Muchas/ varias Ilimitada Diferenciado Solo una Totalmente bloqueada Unicio limitada Diferenciado o no diferenciado Monopolio Oligopolio Pocas
Supuestos del Oligopolio 1. Existe pocas empresas en la industria. 2. El bien o servicio producido puede o no ser diferenciado, por tanto tiene competencia cercana. 3. Existen barreras de entrada. 4. Los consumidores son precio aceptantes. 5. No existe menejo perfecto de la información
La característica fundamental del mercado oligopolio es la interdependencia de las empresas, es decir, cuando las empresas toman sus decisiones consideran las acciones. reacciones de sus competidoras. Según Pindyck y Rubinfeld: “ Cuando las empresas toman decisiones, deben sopesar las reacciones de sus competidoras sabiendo que éstas también sopesarán sus reacciones a las suyas…las reacciones son dinámicas y evolucionan con el tiempo”.
El equilibrio en oligopolio La característica de interdependencia entre las empresas lleva a modificar el concepto de equilibrio, que ya que cada empresa quiere obtener el mejor resultado posible dado lo que hacen sus competidores, y simultáneamente los competidores obtendrán el mejor resultado posible dado lo que hace la empresa. Este concepto fue explicado por Jhon Nash en 1951: cada empresa elige la mejor estrategia posible a la vista de lo que hacen las emrpesas competidoras.
Modelos de Oligopolio Fijadores de Cantidades: § El modelo de Cournot § El modelo de Stackelberg Fijadores de Precio: § § § Modelo de Bertrand: producto homogéneo Competencia basada en productos diferenciados Cartel liderazgo de precio Empresa Dominante Demanda quebrada
Oligopolio fijador de cantidades
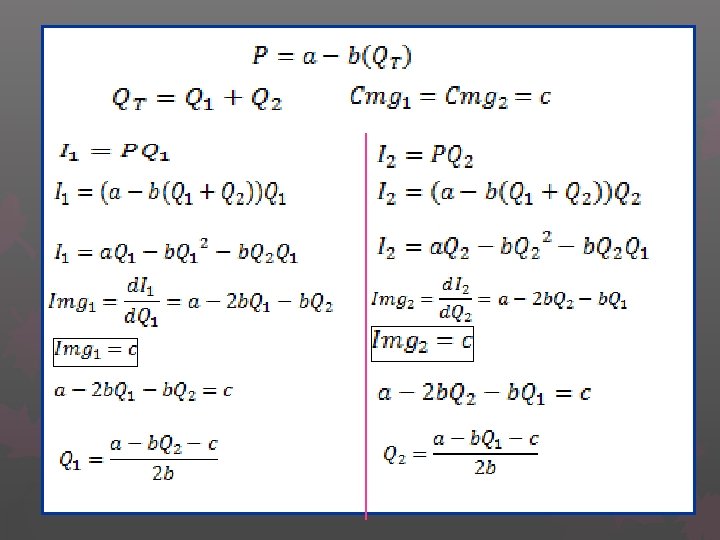
Modelo de Cournot Existen dos dupolistas. El producto que ofrecen es idéntico (Bienes homogéneos). Los duopolistas son maximizadores de beneficio. Cada empresa decide la cantidad que llevará al mercado y toman sus decisiones al mismo tiempo. Cuando un duopolista toma su decisión toma en cuenta la decisión de su competidora. El precio al cual se vende el producto depende de la cantidad total que producen ambas empresas. Cada empresa conoce la curva de demanda del mercado. Cada empresa considera fijo el nivel de producción de su competidora. Los dupolistas tienen la misma estructura de costos
El nivel de produccion de equilibrio que maximiza los beneficios de cada uno de los duopolistas esta dado por la intersección entre las dos curvas de reacción Q 1 Curva de reacción empresa 2 (a-c)/2 b Curva de reacción empresa 1 Q 1* Q 2* (a-c)/b Q 2
Modelo de stackelberg 1934 • Las decisiones de producción se toman en forma secuencial. • Uno de los duopolistas sabe que el nivel de producción del otro duopolista depende de el nivel de producción que el decida llevar al mercado, al percatarse de esta influencia sobre su competidor, fija primero su nivel de producción. • El duopolista que fija primero su nivel de producción se denomina “El Líder”, el otro duopolista se considera “El Seguidor”. • Como el duopolista Seguidor considera como dado el nivel de producción del Líder, fijará su nivel de producción considerando su propia función de reacción. • El duopolista Líder, lleva al mercado el nivel de producción que le permite maximizar su beneficio, no obstante, para fijar su nivel de producción considera la reacción de la Seguidora. Es decir maximiza su beneficio considerando la función de reacción del Seguidor.
Recordamos: Supongamos que la empresa 1 es lider, decide moverse primero. Ella es maximizadora de beneficios:
> El modelo expone que es ventajoso moverse de primero. El Líder podrá colocar una mayor cantidad de producto en el mercado, y suponiendo que los duopolistas poseen estructuras de costos idénticas, obtendrá un mayor beneficio. Esta ventaja se deriva del hecho que la empresa Líder presenta su decisión como un hecho consumado, por lo tanto, la otra empresa se verá obligada a actuar como seguidora.
Q 1 P (a+c)/2 Q 2(Q 1) P* Q 1(Q 2) Q 1* D 1 Q 1 Img 1 Q 2 Q 2* Q 2
Oligopolio fijador de precios
Modelo de Bertrand Criticó el modelo de Cournot indicando que si ambos duopolistas vendían el mismo bien (homogéneo) para el comprador lo que realmente importaba era la diferencia de precios que cobran las empresas. Los compradores preferirán comprar al. duopolista que venda al precio más bajo. Para Bertrand, cada empresa debía elegir su precio suponiendo que el de la rival queda fijo
La demanda de mercado es conocida e igual a: P=a-b(Q 1+Q 2) Cm 1=Cm 2=c Si la emrpesa 1 por ejemplo establece el precio P 1, la empresa 2 tendra tres opciones: P 2>P 1 y no venderá nada P 2<P 1 y captura el mercado P 2=P 1 y se reparten el mercado entre las dos empresas
Como el modelo es simétrico, la opción de vender a un precio más bajo que el de la competencia será la estrategia que elijan ambas empresas. Por tanto para Bertrand: • No existe equilibrio de Nash mientras las empresas tengan incentivos a bajar el precio. • El proceso reiterativo de bajar el precio continuará hasta que alcance su límite económico natural que es el coste marginal. Luego, el equilibrio ocurre cuando P=Cmg.
• En el equilibrio dado que se supone que ambos duopolistas son idénticos y por lo tanto Cmg 1=Cmg 2, ambas empresas llevarán la misma cantidad al mercado, es decir Q 1=Q 2. • La solución de precio y cantidad es exactamente idéntica a la de competencia perfecta (P=Cmg) (A esta solución en el oligopolio se le denomina solución cuasi-competitiva).
Criticas al modelo: • Cuando las empresas producen un bien homogéneo es natural que compitan con fijación de cantidades. • Aunque las empresas fijen precio, que vendan a un mismo precio, que proporción de ventas totales irán a cada empresa, aunque se suponga que se dividen el mercado en partes iguales no tiene por que ser así.
Modelo de competencia basada en los precios de productos diferenciados Los mercados oligopolistas tienen en realidad cierto grado de diferenciación, y la cuota de mercado no solo depende del precio sino de las diferencias de diseño, durabilidad, calidad, etc. En estos casos es normal que las empresas compitan eligiendo precios en lugar de cantidades.
El equilibrio de Nash se encuentra en el punto donde se interceptan las curvas de reaccion. P 1 Curva de reacción de la empresa 1 P 1* Curva de reacción de la empresa 2 P 2* P 2
Modelo Colusivo o Cartel Los modelos vistos hasta ahora se basan en que cada empresa maximiza su propio beneficio y tomaban sus decisiones, pero ¿que sucede si consideramos que las empresas emprenden acciones cooperadas? Esto se denomina cartel. Supongamos dos empresas eligen niveles de producción con el fin de maximizar los beneficios conjuntos, es decir, elegir Q 1 y Q 2 que maximizan los beneficios de toda la industria
Modelo liderazgo de precios Un mecanismo para el establecimiento del precio es mediante la colusión implícita o señales de precios, mediante un aviso de prensa, una empresa anuncia que ha subido el precio y espera que el competidor lo interprete como una señal de que también tiene que subir los suyos. Consideremos la empresa 1 como la lider, y la empresa 2 la seguidora:
La condición de primer orden: Img 1=Cmg 1 nos permite obtener el precio que establecerá la empresa líder. Si se venden productos identicos: La empresa seguidora considera el precio dado por la emrpesa lider (P), y producira el nivel de Q 2 donde Img 2=Cmg 2 Esta condición determina la oferta del seguidor S(P)
Al precio P, la demanda de mercado D(P), la empresa seguidora ofrecerá S(P), la diferencia entre la demanda de mercado y la parte que será abastecida por la empresa seguidora será la oferta de la empersa lider, la cual denominamos demanda Residual R(P)=D(P)-S(P). La empresa lider debera producir la cantidad Q 1 que maximice sus beneficios: Es decir, donde Img=Cmg
S(P) Cmg R(P) D(P) Img
Modelo empresa dominante S(P) D(P) Cmg. D Dd Qp Q* QT Img
Modelo de la demanda quebrada P* D Q* Img