Unit 18 Organic Chemistry Organic Chemistry Carbon Chemistry
Unit 18 Organic Chemistry
Organic Chemistry : Carbon Chemistry 1. Carbon is different from all other elements because it forms chains, branches, and rings. Carbon can combine with many different elements such as H, O, N, S, Cl. 2. Over 6 million carbon compounds are known. A new compound is discovered every 10 minutes. 3. Some of the most valuable carbon compounds come from coal, oil, and gas. Other carbon compounds are made into plastics, clothing, food additives, drugs, etc. 4. Most organic compounds DO NOT dissolve in H 2 O. Organic chemical reactions proceed at slower rates. 5. Over 90% of carbon compounds are synthetic. The rest come from living organisms.
Carbon by itself can take on several forms. Graphite is carbon bonded in sheets. Pencils have graphite in them. As you write, the sheets peel off. Diamond is carbon bonded in 4 directions, tetrahedral.
Carbon can also be used to create “bucky balls” or “bucky tubes”. Bucky balls have been used to shrink wrap drugs. Bucky tubes although very small (nm range) are stronger than steel.
Important classes of Organic Compounds Used for fuel, cosmetics. Antifreeze, drinks Aromas, flavorings, preservatives, sugars Aromas, flavorings, solvents, sugars
Ways to show a molecule: 1. Chemical formula C 4 H 10 2. Structural formula 3. Condensed structural formula
Using the Molecule Model Kits Atoms : Colors Hydrogen: yellow Oxygen: red Carbon: black Nitrogen: blue Chlorine: green Bonds Single - one pair of e - Use one wooden peg Double = two pair of e. Use 2 springs Triple three pair of e. Use 3 springs
Isomers: Molecules with the same chemical formula, but different arrangement of atoms. With different arrangement of atoms, the properties of the chemicals are different. Small molecules only have one arrangement possible. CH 4 Methane C 2 H 6 Ethane
Propane, C 3 H 8 has only 1 isomer As molecules get bigger, isomers are possible. C 4 H 10 has 2 isomers.
C 5 H 12 has 3 isomers
Assignment Find all 9 Isomers of C 7 H 16 Extra credit Find all 18 Isomers of C 8 H 18
Using the Molecule Model Kits Atoms : Colors Hydrogen: yellow Oxygen: red Carbon: black Nitrogen: blue Chlorine: green Bonds Single - one pair of e - Use one wooden peg Double = two pair of e. Use 2 springs Triple three pair of e. Use 3 springs
Naming Organic Molecules n n Name root name according to the number of carbons in the longest continuous chain. Name the suffix according to the bonding, carbon to carbon. q q q n Single bond C – C Double bond C = C Triple bond C C end with -ane end with -ene end with -yne Name substitutions on the main chain before the root name, giving the lowest possible number.
Hydrocarbon
Name: the following: CH 3 CH 2 CH 3 Butane CH 3 CH 2 CH 3 Propane CH 3 CH 2 CH 2 CH 2 CH 3 Heptane
Substitute Naming Group Names Methyl -CH 3 Ethyl -CH 2 CH 3 Propyl -CH 2 CH 3 Butyl -CH 2 CH 2 CH 3 Halides Chloro -Cl Bromo -Br Iodo -I Fluoro -F Prefixes used when more than one group of the same kind is attached ditritetrapentahexa- two substitutes three four five six
Identify the longest continuous chain of carbons. That is the main chain, the root name comes from that. Identify all substitutes that are present on the main chain.
Number the carbons to give all substitutes the lowest possible numbers. 2, 3 -dimethylpentane
Name the following: 1. Count the number of carbons in the main chain 2. Number the carbons to give the substitutes the lowest number possible 3. Identify the substitutes and how many 2 -methyl-hexane
Name substitutes in alphabetical order. 2 -methyl Root name 5 carbons: pentane 3 -ethyl-2 -methylpentane
Draw the following molecule: 3, 4 -diethyl-5 -iodo-4 -propyl-2, 6, 7, 7 tetramethyldecane
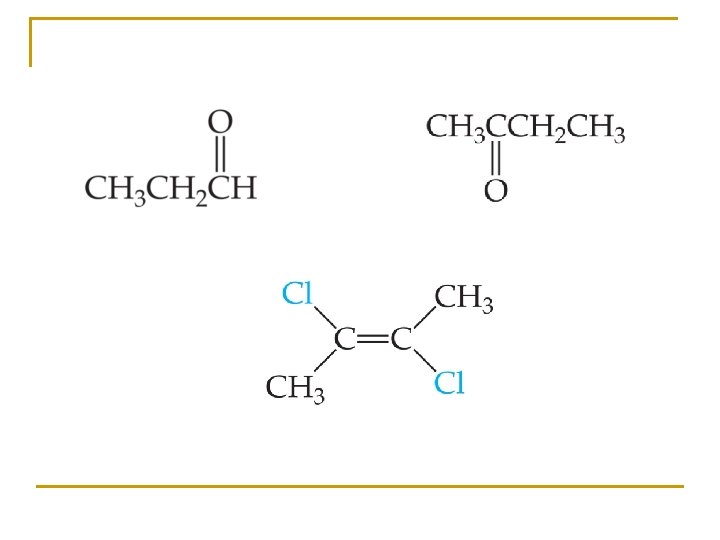
Naming organic molecules containing functional groups Drop the e, add Functional Group ending -OH Group Name Alcohol Carboxylic Acid Ketone Name - ol - oic Acid - one
Functional Group Name Aldehyde Name ending - al Drop –ane, add Double bond Triple bond - ene - yne
Name the following Organic molecules Name the carbon number that the alcohol is attached to. Name the carbon number that the ketone is attached to. Carboxylic acids will always be on carbon 1.
Name the following Organic molecules Aldehydes are always on carbon 1 Name the carbon before the double bond
Functional groups are given priority. They receive the lowest number possible. Name the following.
Fractional Distillation: The process of separating the components of a liquid mixture that depends of differences in the vaporization temperatures of the components.
Petroleum has many components that humans use. Each type of molecule will boil off at different temperatures, allowing for the separation of them. The smaller the molecule, the lower the boiling point.
Petroleum (oil) was formed by the decomposition of vast quantities of Protista. Especially diatoms which store oil to float. n n The US uses about 18, 950, 000 barrels of oil a day. We produce about 6, 500, 000 barrels a day. The difference is imported from foreign countries. A barrel of crude oil is 42 gallons. It yields about 38 gallons of fuels such as gasoline, heating fuel, but only 2 quarts of lubricating oil for cars.
Motor Oil is designed to help engines run more efficiently. Several ingredients are added. n n n Anti-wear chemicals Detergents to prevent dirt from building up on moving parts Foam inhibitors Corrosion inhibitors Dispersants to keep contaminants in suspension Friction modifiers
Oil is designed to provide the proper viscosity. Viscosity is the resistance to flow of a liquid. 10 W oil is the thinnest, designed for use in winter. 40 W oil is the thickest, designed for use in summer. Multigrade oil contains both thin and thick components for use during any season.
Polymers are chemicals made of very long chains of carbon atoms- 1000’s of carbon atoms can be linked together to form macromolecules. Most of the starting molecules come from oil. Examples of uses for polymers that are: Man made are saran wrap, garbage bags, yarn, garden hoses, car tires, park benches, paints, etc. Polymers made from plants are rayon and cotton. Polymer made from animal is silk.
Americans use a huge amount of polymers to support our life style. On the bottom of plastic items, there is placed a recycling code to tell you the kind of polymer.
There are 2 general reactions used to make polymers. n n Condensation polymerization: The molecules are added together, while a molecule of water is removed. Addition polymerization: The molecules are added together at a double bond.
Condensation polymerization: The molecules are added together, while a molecule of water is removed. Polymers of all the main organic molecule types, carbohydrates, lipid, and proteins are made with condensation polymerization. Web page
Demonstration of a condensation polymerization
Addition polymerization: The molecules are added together at a double bond. Polymerization of polyethylene requires high temperatures and high pressures. Polyethylene is used for plastic bags, garbage bags, etc. In 1978, enough polyethylene was manufactured in the U. S. to supply ever person with 50 pounds of polymer.
Drug Chemistry Drugs originate from 3 sources n Natural products q q q n Chemical Derivatives from natural products q q n Caffeine Penicillin Morphine Ampicillin LSD Synthetic q q Valium Benadryl
Drugs work on a lock and key model. One key fits one lock One molecule structure will fit in one receptor site.
Anesthetics are drugs which prevent neurons from transmitting sensations to the brain. Topical anesthetic numbs the skin Local anesthetic numbs a small area of tissue General anesthetic renders the patient unconscious. The first anesthetic used was diethyl ether, CH 3 CH 2 OCH 2 CH 3
Modern anesthetics include fluorine containing compounds. One of the earlier ones used is Halothane. It is not used much now, because it causes liver damage. It leaves the body too slow.
Modern drugs are designed to leave the body faster with less side-effects. or Suprane
For minor surgeries, like wisdom teeth extraction, Sodium pentothal may be used. Sodium Pentothal Patients tend to be sleepy after pentothal, so now they use diprivan propofol. Patients awake faster. Diprivan propofol
Analgesics are drugs which enhance our ability to tolerate pain (pain killer). n Aspirin is acetyl salicylic acid q q q Analgesic: relieves pain Antipyratic: reduces fever Thins blood Hazards of using aspirin are intestinal bleeding, allergic reactions, and Reye syndrome. The only difference between brands of pure aspirin is price. So buy the cheapest!
Tylenol and Datril contain a chemical called Acetaminophen Advil and Motrin contain Ibuprofen, Less irritation to stomach, acts as an anti-inflammatory to reduce swelling.
Aleve contains Naproxen
Food Chemistry n n The population of the Earth is 7. 0 billion people. At a growth rate of 2. 2%, over 400, 000 people are added each day to the Earth. (U. S. 311, 325, 619) Farming requires a large amount of fertilizers, insecticides, and herbicides. q Fertilizers have an N-P-K rating. Nitrates, Phosphates, Potassium. New laws in Minnesota make it illegal to use fertilizers in MN near water.
Insecticides are often chlorinated hydrocarbons, or organophosphorous compounds are used to kill unwanted insects. They remain on soil for months. Malathion Carbaryl Herbicides are usually chlorinated hydrocarbons are used to kill unwanted plants in fields. Agent Orange used during the Vietnam war, caused many health problems.
Food can be classified into 3 categories: Carbohydrates: sugars Cn. H 2 n. On monosaccharide 1 sugar glucose, galactose, fructose disaccharides 2 sugars sucrose, lactose, maltose polysaccharides many sugars starch, cellulose Lipids: fat, oil, wax lots of C and H, little O Proteins: polymers of amino acids made of C, H, O, little N, S All food polymers are made by condensation polymerization.
Caffeine is a stimulant milligrams in various drinks Brewed coffee Mountain Dew Coca Cola Dr. Pepper Sunkist Orange Soda Pepsi 135 55 45 41 40 37 Hershey’s dark chocolate bar Hershey’s milk chocolate bar 7 -Up Sprite 31 10 0 0
Food Additives are added to packaged and processed foods to: n n n n Prevent spoilage Enhance flavors Enhance color Adjust the p. H Leavening agent Prevent bacterial growth Emulsify (mix in fats)
Food colors: At one time there were over 100 chemicals used to color foods. Most have been found to cause health problems. Today, colorings are either dyes which dissolve in water, lakes which are insoluble in water, but do dissolve in fats. Blue 1: Bright blue Blue 2: Royal blue Red 40: Orange – Red 3: Cherry red Green 3: Sea Green Yellow 5: Lemon yellow Yellow 6: Sunset orange Citrus Red 2: approved for chicken skin and oranges
Clean Up! n n n Wash all glassware (not metal or ceramic square) Put clean paper in the bottom of drawer Put Classroom equipment on the cart. (thermometers, flint lighters, etc. ) Tighten screws of handle and lock on drawer Wash safety glasses and put in sterilizer
Review See drawings 9. 4 bonds 2 a. 3 -ethyl-2 -methylpentane 10. see drawings b. 2 -fluoro-1 -butene 11. 3 pairs of electrons, (6 e-) c. 3 -methyl-2 -hexanol 12. to help you tolerate pain d. 2 -bromo-5 -Iodo-3 -heptanone 3 a. Alcohol -ol b. aldehyde -al c. double bond -ene 4. Very large molecule made of monomers (molecules) with a carbon base that makes a long chain of carbons 5. Condensation polymer (take out a molecule of water each time a molecule is added on )(proteins, starch, cellulose) Addition polymer (breaking a double bond each time an other molecule is joined to the molecule)( polyethylene, polystyrene) 6. Multigrade oil with 2 different size molecules in it for year round use. 7. detergent, dispersant, friction modifiers, antifoam, anticorrosion, antiwear 8. The study of carbon based molecules 1.
SU-CHEM-DU Clues to our six elements (at bottom) 5. Iodine 7. Same element as question 1 8. Same element as question 2 9. Same element as question 15 10. Sulfur 11. Same element as question 5 13. Same element as question 10 14. Same element as question 6
Table 20. 5
Things that can be used on the final Periodic Table Lewis Structures exam. n n n n Mole Wheel Formula Sheet Calculator Common Ions Solubility (precipitates) Ice Cube Family Trip Blank Periodic Table (you wrote on) Heat of Formation Car Analogy Le Chatelier’s Principles Nomenclature guides n n n Orbital Notation/e. Configuration Reduction Potentials (volts) Naming Organic Molecules DH and Reaction Note Book Graphs: Radioactivity Rate of Reaction NO electronic device except a calculator!!!!!
- Slides: 69