Uncertainty Orientation and the Self Individual Differences in

























































- Slides: 57
Uncertainty Orientation and the Self Individual Differences in How We Process and Evaluate Information with regard to the Self 10/7/2020
The Uncertain Mind: Individual Differences in Facing the Unknown Richard Sorrentino, Chris Roney, Judy Short, and Students The University of Western Ontario
Two Types of Uncertainty Orientation
The Uncertainty-Oriented Person u u u Needs to Know About the Self and the World Approaches Uncertain Situations in Order to Resolve the Uncertainty Most North American Social Psychologists believe all people are like this
The Certainty-Oriented Person u u u Needs to maintain clarity about the self and the world Approaches Certainty and Avoids Confusion We believe the majority of North American people are in fact like this
Measurement of Uncertainty Orientation u Two Components u n. Uncertainty: Used to infer one’s desire to resolve uncertainty Authoritarianism: Used to infer one’s desire to maintain clarity Uncertainty-oriented (UO) = Hi n. Uncertainty, Lo Authoritarianism Certainty-oriented (CO) = Lo n. Uncertainty, Hi Authoritarianism u u u
7
Uncertainty Orientation and Self. Assessment
u u u Self-assessment theories say that we want to find out about our abilities, regardless of whether we are likely to be good or bad at that ability. Self-enhancement theories say that we want to find out about our abilities only if we are good at them. We do not want to find out anything bad. The theory of uncertainty orientation says that uncertainty-oriented persons want to find out about their abilities, regardless of whether they are likely to be good or bad at that ability BUT certainty-oriented persons do not want to find out about their abilities, regardless of whether they are likely to be good or bad at that ability.
Mean number o f subtest items chosen by uncertainty-oriented (UO) and certainty-oriented (CO) persons as a function of condition diagnosticity. From Sorrentino & Hewitt (1984). orientation (U/O Ascending and Descending Conditions (Sorrentino & Hewitt, 1984) M uncertainty
UNCERTAINTY ORIENTATION AND COGNITION Memory
• Cognitive theorists argue that we should recall incongruent information better than congruent information because we should attend more to incongruent than congruent information. This would increase the chances of storing the information into long-term memory. • We say that this is true only for UOs. COs should not attend to incongruent information any more and perhaps less than congruent information.
C Mean % recall of congruent and incongruent information by uncertainty and certainty -oriented persons (UO and CO) (Driscoll, Hamilton, & Sorrentino, 1992)
Mean % recall of congruent and incongruent information by uncertainty and certainty -oriented persons (UO and CO) (Driscoll, Hamilton, & Sorrentino, 1992) Note: residuals of interaction illustrated
Uncertainty Orientation and Cognition Memory Other studies: King & Sorrentino (1988): Cognitive schemas and distortion of Memory Sorrentino et al. , (1995): Close Relationships, Memory, and Trust as a Heuristic
Uncertainty Orientation and Cognition Information Processing 10/7/2020
Previous theories relating personal relevance or importance to information processing: u u Automatic vs. Controlled (Fazio, Schneider & Shriffin) Heuristic vs. Systematic (Chaiken & Eagly) Peripheral vs. Central Routes (Petty & Cacioppo) All say systematic forms of information processing increase and nonsystematic decrease with increased importance
WRONG !!! See two studies by Olson et al. , (1988; Sorrentino, Bobocel, Gitta, Olson & Hewitt) 10/7/2020
Differences in Attitudes toward comprehensive exams as a function of strength of arguments, source expertise, and personal relevance for UOs vs. COs Note: Bars indicate increases or decreases in attitude as one goes from Low to High Personal Relevance
Differences in Attitudes toward comprehensive exams as a function of one-sided vs. two-sided arguments, and personal relevance for UOs vs. COs Note: Bars indicate increases or decreases in attitude as one goes from Low to High Personal Relevance
Information Processing Model of Uncertainty Orientation Increases in uncertainty will lead to increases in systematic processing of information for UOs but decreases for COs. Uncertainty includes imbalanced or incongruent situations, discrepant information, inconsistencies in thoughts or behaviors as well as not knowing what will happen in the future. Increases in certainty will lead to increases in systematic processing of information for COs but decreases for UOs. Certainty includes balanced or congruent situations, nondiscrepant information, consistencies in thoughts or behaviors, as well as knowing what will happen in the future. All of the above increases with increases in personal relevance. Fru = Fu + Fc = (U-C)R(Pu - Pc).
Uncertainty Orientation and Intelligence
Mean IQ Scores as a function of Uncertainty Orientation, Achievementrelated motives, and Task Diagosticity. Note SO = success-oriented, FT = failure-threatened, UO = uncertainty-oriented, CO = certaintyoriented. From Sorrentino, Brouwers, Hanna, & Roney, 1996) (1996)
SO FT Interaction residuals of mean IQ Scores
Motivation and Action Model of Uncertainty Orientation u u u Primary motivation increases in situations congruent with one’s uncertainty orientation. e. g. , success-oriented persons become more positively motivated and failure-threatened persons become more negatively motivated. This is true for UOs in uncertain situations and COs in certain situations. Secondary motivation increases in situations incongruent with one’s uncertainty orientation. e. g. , failure-threatened persons become more positively motivated and success-oriented persons become more negatively motivated. All of this increases with increases in personal relevance u e. g. , Fru = (Ms - Maf)(U-C)R(Pu - Pc).
An Informational and Affective Model of Thought and Action
Uncertainty Orientation, Health and Clinical Psychology 10/7/2020
Uncertainty Orientation and Health Compliance Behaviour Brouwers & Sorrentino (1993)
Protection Motivation Theory (Rogers, Rogers and Maddux) says that as threat (severity, vulnerability) and efficacy (self efficacy and response efficacy) increase, motivation to undertake actions to protect the self increases. We say that this is true for UOs, but not for COs
Uncertainty Orientation and Self. Disclosure Physiological Effects of Revealing Traumatic Events about the Self From Brouwers & Sorrentino (submitted) 10/7/2020
Pennebaker’s self-penetration theory says that revealing traumatic aspects about the self should increase skin conductance and generally increase physical and mental well-being. We say that this would work for UOs, but might be harmful for COs
CO UO UO CO
Mean Change in Heart Rate as a function of High and Low Disclosure Intensity. Borrowers & Sorrentino (submitted)
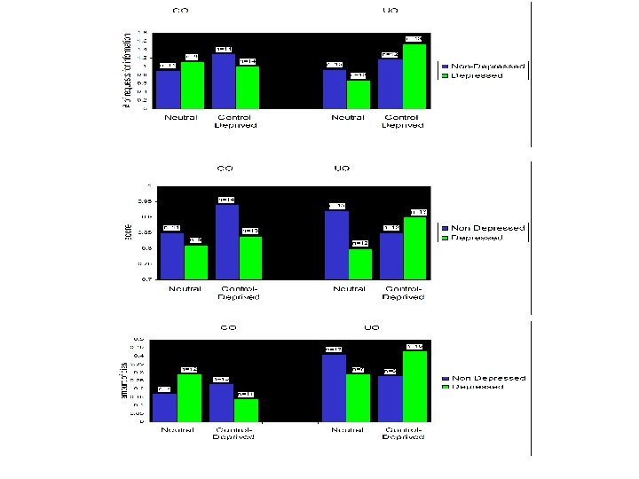
Uncertainty Orientation, Depression, and Control Information Processing and Performance when Moderately Depressed. From Walker & Sorrentino (2000) 10/7/2020
Weary and others argue that moderate depression leads to increased information processing and performance because moderately depressed persons are motivated to restore control over their lives. We say that this could be harmful for COs
Uncertainty Orientation and Close Relationships
Trust and Uncertainty Orientation Sorrentino, Holmes, Hanna, & Sharp (1995) 10/7/2020
Uncertainty Orientation, Trust, and Attachment Styles Carswell & Sorrentino (submitted) 10/7/2020
Field U
Expt’l
Uncertainty Orientation and Educational Psychology: The Merits of Cooperative Learning and the Jigsaw Method Huber, Sorrentino, Davidson, Roth, & Epplier (1992)
Huber et al (1992, Study 1)
Huber et al. (1992, Study 3)
Huber et al. (1992, Study 4)
(Thank you) 10/7/2020