Uji Dua Sampel Berpasangan Uji Tanda Uji Mc
Uji Dua Sampel Berpasangan Uji Tanda Uji Mc. Nemar
Uji Mc. Nemar Fungsi Pengujian : • Untuk menguji perbedaan atau perubahan proporsi dua buah populasi yang hanya memiliki dua kategori berdasarkan proporsi dua sampel berpasangan. • Uji ini banyak dipakai untuk mengetahui apakah ada perbedaan atau perubahan proporsi sebelum dan sesudah kelompok sampel tertentu yang hanya memiliki dua kategori diberi perlakuan, dimana anggota kelompok sampel tersebut merupakan kontrol terhadap dirinya sendiri. Persyaratan Data : • Dapat digunakan untuk data berskala nominal dengan dua kategori.
Uji Mc. Nemar • Prosedur Pengujian : • 1. Buat Tabel Silang 2 x 2, seperti contoh pada Tabel berikut. Tanda + dan - dipakai untuk menunjukkan adanya perubahan. • Misalnya dalam sel A dan D terjadi perubahan dari + ke - dan dari - ke +. Sementara dalam sel B dan C tidak terjadi perubahan.
Uji Mc. Nemar Contoh Tabel Silang 2 X 2
Uji Mc. Nemar • 2. Tentukan frekuensi-frekuensi harapan (E) dari sel A dan sel D, E = ½ (A+D). Frekuensi harapan harus ≥ 5. • 3. Jika E ≥ 5, hitung harga χ2 menggunakan rumus (1). Tetapi jika E < 5, Uji χ 2 Mc Nemar tidak boleh digunakan, dan untuk penggantinya dapat dipakai Uji Binomial. • 4. Gunakan Tabel χ2. Tentukan probabilitas (p) yang dikaitkan dengan terjadinya suatu harga sebesar χ 2 untuk harga df =1, untuk pengujian dua sisi. • 5. Jika p yang diamati ternyata ≤ α , maka tolak Ho.
Uji Mc. Nemar Rumus (1) :
Nama Cemas sebelum UN Cemas setelah UN A + + B - - C - + D + - E + + F - + G + - H + + I - + J + - K + + AA + + BB - + CC - - DD - - EE - + EF + - EG + + EH + + JA - + Contoh (n=20) Sebelum Sesudah - + + 4 7 - 3 6 Ho: Tidak ada pengaruh UN terhadap kecemasan Ha: Ada pengaruh UN terhadap kecemasan Nilai hitung : [|A-D| – 1 ] 2 2 Mc. Nemar = ------------ (A+D) 2 Mc. Nemar = (2 -1) 2 / (10) = 0. 1 Nilai kritis = 3. 841 vs nilai hitung 0. 1 Kesimpulan Ho gagal ditolak/UN tidak mempengaruhi kecemasan
Contoh Soal • Seorang peneliti ingin menguji efek dari obat X dengan melihat perubahan pada gejala penyakit dari buruk (gawat) ke tingkat sedang pada 70 orang pasien, datanya diringkas sbb: Sebelum Sesudah Total Buruk Sedang 9 25 34 Buruk 16 20 36 Total 25 45 70
Contoh Soal • Jawab: Ho: Perubahan dari + ke – adalah sama dengan perubahan dari – ke + Ho: Tidak ada pengaruh obat X terhadap penurunan derajat kesakitan pasien Ha: Ada pengaruh obat X terhadap penurunan derajat kesakitan pasien (Perubahan dari buruk ke sedang lebih banyak dari pada perubahan dari sedang ke buruk) = 0. 05 (1 -tailed) 2 (table, 0. 05/2; df=1) = 5. 024 atau (5. 41 pada = 0. 02) 2 (hitung) = 3. 45 Keputusan: Ho gagal ditolak Kesimpulan: Obat X tidak berpengaruh
Uji Tanda • Fungsi Pengujian : • Untuk menguji perbedaan/perubahan ranking (median selisih skor/ranking) dua buah populasi berdasarkan ranking (median selisih skor/ranking) dua sampel berpasangan. • Persyaratan Data : • Data paling tidak berskala ordinal.
Uji Tanda • Prosedur Pengujian : • 1. Urutkan nilai jenjang setiap pasangan dari anggota kelompok sampel pertama dan kedua. • 2. Kepada masing-masing pasangan berikan tanda + (plus) dan - (minus) sebagai kode/tanda selisih jenjang dari setiap pasangan. • 3. Tentukan harga N, yaitu jumlah semua pasangan yang memiliki tanda + dan -.
Uji Tanda • 4. Tentukan pula nilai x, yaitu jumlah pasangan yang memiliki kesamaan tanda lebih sedikit. • 5. Jika N ≤ 25 , lihat Tabel Binomial yang menyajikan kemungkinan satu sisi/one tailed untuk kemunculan harga x dari pengamatan di bawah Ho. Uji satu sisi digunakan apabila telah memiliki perkiraan ranking kelompok sampel tertentu akan lebih besar atau lebih kecil dari ranking kelompok sampel yang lainnya. Seandainya kita belum mempunyai perkiraan, harga p dalam Tabel Binomial dikalikan dua (harga p = p x 2).
Uji Tanda • 6. Jika N > 25 , gunakan rumus (2). Sedangkan tabel yang digunakan adalah Tabel kurva normal yang menyajikan kemungkinan satu sisi/one tailed untuk kemunculan harga z pengamatan di bawah Ho. Uji satu sisi digunakan apabila telah memiliki perkiraan ranking kelompok sampel tertentu akan lebih besar atau lebih kecil dari ranking kelompok sampel yang lainnya. Jika belum memiliki perkiraan, harga p dalam Tabel A dikalikan dua (harga p = p x 2). • 7. Jika p diasosiasikan dengan harga x atau z yang diamati ternyata < α , maka tolak Ho.
Uji Tanda Rumus (2)
Contoh Soal • Sekelompok mahasiswa Fakultas Kesehatan melakukan penelitian yang berkaitan dengan “Tingkat Pengetahuan Pasca pelatihan dari para kader kesehatan”. Penelitian dilakukan pada 8 kader yang dipilih secara random. • Kader dinilai dalam hal tingkat pengetahuan tentang KB sebelum dan setelah mengikuti pelatihan, kemudian diberi ranking antara 1 -5.
Contoh Soal • • Hipotesis penelitian ini adalah : Ho : r 1 = r 2 , dm = 0 Ha : r 1 ≠ r 2 , dm ≠ 0 =0. 05
Contoh Soal Berdasarkan data hasil penelitian yang tercantum pada Tabel di atas dapat dihitung : 1. Kader yang memiliki tanda + = 4 orang. 2. Kader yang memiliki tanda 0 = 2 orang. 3. Kader yang memiliki tanda - = 2 orang.
Contoh Soal • Keputusan Pengujian : • 1. Dalam penelitian ini jumlah N = 6 (4 bertanda plus dan 2 bertanda minus). • 2. Harga x yang lebih kecil, x = 2 (tanda minus < tanda plus). • 3. Lihat Tabel Binomial untuk N = 6 dan x = 2, harga p = 0, 344 (uji satu sisi). • 4. Untuk hipotesis penelitian ini, perlu dilakukan pengujian dua sisi, berarti p (= 2 x 0, 344 = 0, 688) > (= 0, 05). • 5. Karena p > : Ho gatol.
Contoh Soal • Kesimpulan : • Berdasarkan pengujian di atas dapat disimpulkan, tidak ada perbedaan tingkat pengetahuan tentang KB dari kader sebelum dan setelah mengikuti pelatihan
Contoh Soal • Mahasiswa semester akhir dari Jurusan K 3 berkeinginan melakukan penelitian mengenai “Tingkat Pengetahuan akan budaya Safety dari Pekerja PT ABC yang Diberi pelatihan budaya Safety”.
Contoh Soal • Ho : dm = 0 • Ha : dm ≠ 0 • =0. 01
Contoh Soal
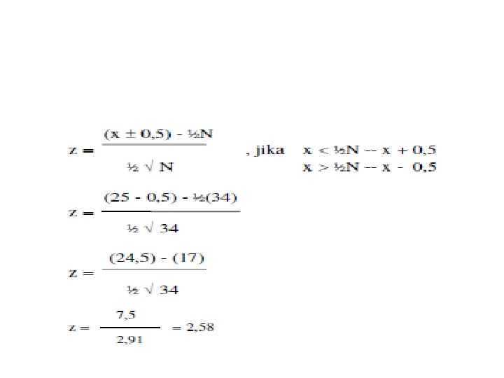
• Keputusan Pengujian : • 1. Dari Tabel di atas terlihat, jumlah tanda (-) lebih banyak dari tanda (+), yaitu x = 25 (= jumlah tanda -). • 2. Diketahui pula, ada diantaranya yang tidak mengalami perubahan yang diberi tanda 0 = 6, berarti dari sebanyak 40 orang responden, yang mengalami perubahan sebanyak N = 34 (40 -6) • Untuk mencari harga p dari N = 34 dan x = 25, gunakan rumus 2.
• 3. Lihat Tabel kurva normal untuk z = 2, 58, harga p = 0, 0049 • 4. Untuk hipotesis penelitian ini, perlu dilakukan pengujian dua sisi, berarti p (= 2 x 0, 0049 = 0, 0098) < . Berarti p (= 0, 0049) < • 5. Karena p < : tolak Ho
• Kesimpulan : • Berdasarkan pengujian di atas dapat disimpulkan bahwa ada perubahan tingkat pengetahuan budaya safety yang sangat nyata dari Pekerja PT ABC yang Diberi pelatihan budaya Safety.
Latihan Soal ID Diare sebelum musim hujan Diare sesudah musim hujan 1 + - 2 - 3 ID Diare sebelum musim hujan Diare sesudah musim hujan 14 - + + 15 - + 16 - + 4 - + 17 - + 5 - - 18 - + 6 - - 19 + - 7 + + 20 + - 8 + + 21 - + 9 + - 22 - + 10 - + 23 + + 11 - + 24 - + 12 - - 25 - + 13 + - 26 - - Apakah hujan mempengaruhi kejadian diare ? = 0. 05
Latihan Soal • Suatu perusahaan ingin mengetahui pengaruh adanya kenaikan insentif terhadap kesejahteraan kary. Dlm penelitian itu dipilih 22 pegawai scr random. Data kesejahteraan sebelum diberi insentif (X 1), dan sesudah diberi (X 2). • X 1 : 89 45 56 34 67 89 90 76 56 70 67 68 59 50 45 90 67 89 98 76 45 78 • X 2 : 56 89 65 78 89 57 78 90 87 78 80 65 78 90 56 78 34 45 68 79 67 56 • Buktikan hipotesis yg menyatakan insentif berpengaruh secara signifikan terhadap kesejahteraan karyawan? = 0. 05
- Slides: 28