UBND TNH IN BIN S GIO DC V
UBND TỈNH ĐIỆN BIỆN SỞ GIÁO DỤC VÀ ĐÀO TẠO TỈNH ĐIỆN BIÊN Cuộc thiết kế bài giảng điện tử e-Learning Bài giảng: BÀI 2: HOÁN VỊ- CHỈNH HỢP- TỔ HỢP Chương trình Toán, lớp 11 GIÁO VIÊN: VŨ THỊ HÀ gauteddy 91@gmail. com Điện thoại di động: 01683784941 TRUNG T M GDTX HUYỆN TỦA CHÙA TỈNH ĐIỆN BIÊN Tháng 1 năm 2015
HƯỚNG DẪN CÁCH HỌC • Chuẩn bị sách vở đồ dùng học tập ( máy tính cầm tay) • Ôn lại kiến thức bài quy tắc đếm • Chú ý nghe giảng và trả lời hết các câu hỏi trắc nghiệm
§ 2 NỘI DUNG BÀI HỌC I. Hoán vị II. Chỉnh Hợp III. Tổ hợp 3
Nhắc lại kiến thức cũ Câu hỏi: Nhắc lại quy tắc cộng, quy tắc nhân? *Quy tắc cộng Một công việc được hoàn thành bởi một trong hai hành động. Nếu hành động này có m cách thực hiện , hành động kia có n cách thực hiện không trùng với bất kì cách nào của hành động thứ nhất thì công việc đó có m+n cách thực hiện. *Quy tắc nhân Một công việc được hoàn thành bởi hai hành động liên tiếp. Nếu có m cách thực hiện hành động thứ nhất và ứng với mỗi cách đó có n cách thực hiện hành động thứ hai thì có m. n cách hoàn thành công việc.
BÀI 2: HOÁN VỊ - CHỈNH HỢP -TỔ HỢP I. Hoán vị 1. Định nghĩa Ví dụ 1: Có 3 học sinh A, B, C ngồi vào 3 ghế có đánh số 1, 2, 3 cố định. Hỏi có bao nhiêu cách xếp 3 người vào 3 ghế đó?
Có 6 cách xếp : A 1 B 2 C 3 B 1 C 2 A 3 A 1 C 2 B 3 C 1 A 2 B 3 B 1 A 2 C 3 C 1 B 2 A 3 Nhận xét cách sắp xếp vị trí của 3 phần tử A, B, C ? Ta thấy mỗi cách xếp là kết quả của một sự hoán đổi vị trí của 3 phần tử A, B, C
Ví dụ 2: Trong 1 trận bóng đá, sau 2 hiệp phụ hai đội vẫn hòa nên phải đá luân lưu 11 m. Mỗi đội chọn ra 5 cầu thủ để đá 5 quả luân lưu. Hãy nêu ra 3 cách đá phạt. Giải: Gọi tên 5 cầu thủ là 5 phần tử A, B, C, D, E. để đá luân lưu HLV phân công người đá quả thứ nhất, thứ 2, thứ 3, thứ 4, thứ 5. Có thể nêu 3 cách là: Quả số Cách 1 Cách 2 Cách 3 Cách 4 1 A A C …. . 2 B B A …. . 3 C C B …. . 4 D E D …. . 5 E D E . …. .
Nhận xét: Mỗi cách sắp xếp thứ tự 5 cầu thủ là một sự hoán đổi thứ tự đá của 5 phần tử là 5 cầu thủ A, B, C, D, E Định nghĩa: Cho tập hợp A gồm n phần tử (n≥ 1). Mỗi kết quả của sự sắp xếp thứ tự n phần tử của tập hợp A được gọi là một hoán vị của n phần tử đó
VD: Hãy liệt kê tất cả các số gồm 3 chữ số khác nhau từ các chữ số 1, 2, 3. Kết quả: Các số có 3 chữ số khác nhau lập được từ các chữ số 1, 2, 3 là: 123; 132; 213; 231; 312; 321. Ta thấy số 123 và số 132 chỉ khác nhau ở thứ tự sắp xếp thứ tự các phần tử Nhận xét: 2 hoán vị của n phần tử chỉ khác nhau ở thứ tự sắp xếp.
2. Số các hoán vị VD 3: Có bao nhiêu cách sắp xếp 4 bạn An, Bình, Chi, Dung ngồi vào 1 bàn học có 4 chỗ? Giải: Gọi tắt tên 4 bạn là A. B, C, D. Cách 1: Liệt kê: 1. ABCD 2. ABDC 3. ACBD 4. ACDB 5. ADBC 6. ADCB 7. BACD 8. BADC 9. BCAD 10. BCDA 11. BDAC 12. BDCA 13. CABD 14. CADB 15. CBAD 16. CBDA 17. CDAB 18. CDBA 19. DACB 20. DABC 21. DBAC 22. DBCA 23. DCAB 24. DCBA
Cách 2: Có 4 cách chọn 1 bạn vào chỗ thứ nhất Có 3 cách chọn 1 bạn vào chỗ thứ hai Có 2 cách chọn 1 bạn vào chỗ thứ ba Có 1 cách chọn 1 bạn vào chỗ thứ tư Theo quy tắc nhân sẽ có 4. 3. 2. 1 = 24 cách Nếu đem cả lớp 11 A 5 ra xếp hàng hỏi có bao nhiêu cách xếp thứ tự? Nếu tập A có n phần tử thì sẽ có bao nhiêu cách xếp thứ tự?
BT: Trong giờ học môn GDQP 1 tiểu đội học sinh gồm 10 người xếp thành 1 hàng dọc. Hỏi có bao nhiêu cách xếp? Giải: Số cách xếp 10 người thành 1 hàng dọc = số hoán vị của 10 phần tử vậy có =3. 628. 800 cách xếp
* Cách dùng máy Fx 570 MS Nhập n để tính bài toán hoán vị SHIFT VÝ dô : Tinh 10! : =
Câu 1: Một người muốn mời 6 người bạn đến dự tiệc sinh nhật. Hỏi người đó có bao nhiêu cách sắp đặt 6 người bạn đó vào ngồi 1 hàng có 6 ghế A) 620 cách B) 720 cách C) 420 cách D) 210 cách bạn phải trả lời câu hỏi Đáp án của bạn chính xách - Click chuột để tiếp tục Đáp án của bạn chưa chính xách Click chuột để tiếp tục Ok Ok Làm lại
Câu 2: Một người muốn mời 6 bạn đến dự tiệc sinh nhật. Hỏi người đó có bao nhiêu cách sắp xếp 6 bạn vào ngồi quanh 1 bàn tròn A) 720 cách B) 620 cách C) 120 cách D) 60 cách bạn phải trả lời câu hỏi Đáp án của bạn chính xách - Click chuột để tiếp tục Đáp án của bạn chưa chính xách Click chuột để tiếp tục Ok Ok Làm lại
II. Chỉnh hợp 1. Định nghĩa VD 4. Một nhóm học sinh có 5 bạn A, B, C, D, E. Hãy kể ra một số cách phân công 3 bạn làm trực nhật: 1 bạn quét nhà, 1 bạn lau bảng, 1 bạn kê bàn ghế. Giải: Có thể có 1 số cách sau:
Quét nhà Lau bảng Kê bàn ghế A C D A D C A E D ………. . ……… Mỗi cách lấy ra 3 phần tử từ 5 phần tử như trên gọi là một chỉnh hợp chập 3 của 5
Định nghĩa: Cho tập hợp A gồm n phần tử (n≥ 1). Kết quả của việc lấy ra k phần tử khác nhau từ n phần tử của tập hợp A và sắp xếp chúng theo một thứ tự nào đó được gọi là 1 chỉnh hợp chập k của n phần tử VD. Trên mặt phẳng lấy 4 điểm phân biệt A, B, C, D. Liệt kê tất cả các véc tơ khác véc tơ 0 mà có điểm đầu và điểm cuối của chúng thuộc tập hợp 4 điểm đã cho
A B C D
Có 12 véc tơ sau
2. Số các chỉnh hợp VD 4. Một nhóm học sinh có 5 bạn A, B, C, D, E. Hãy kể ra một số cách phân công 3 bạn làm trực nhật: 1 bạn quét nhà, 1 bạn lau bảng, 1 bạn kê bàn ghế. Giải: Chọn bạn quét nhà có 5 cách. Chọn bạn lau bảng có 4 cách. Chọn bạn kê bàn ghế có 3 cách. Theo quy tắc nhân sẽ có 5. 4. 3 = 60 cách chọn Mỗi cách là 1 chỉnh hợp vậy có 60 chỉnh hợp chập 3 của 5 phần tử
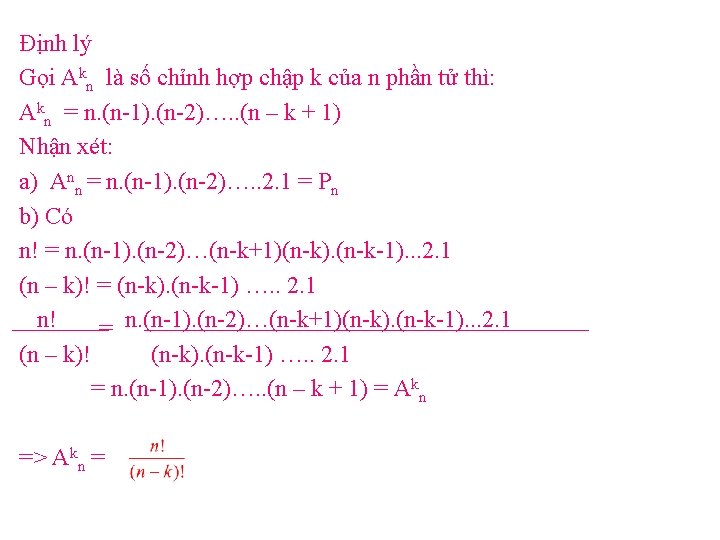
Nếu tập A có n phần tử và lấy ra k phần tử rồi sắp xếp theo 1 thứ tự thì sẽ có bao nhiêu cách? Vị trí thứ 1 có n cách Vị trí thứ 2 có n - 1 cách Vị trí thứ 3 có n - 2 cách ………………. Vị trí thứ k có n - k + 1 cách Theo quy tắc nhân sẽ có n. (n-1). (n-2)…. . (n – k + 1) cách
• VD: Có bao nhiêu cách mắc nối tiếp 4 bóng đèn được chọn từ 6 bóng đèn khác nhau? • Giải: • 6 bóng đèn này đều khác nhau nên: • Mỗi cách mắc 4 bóng đèn từ 6 bóng đèn là chinh hợp chập 4 của 6
* Cách dùng máy 570 MS để tính bài toán chỉnh hợp Nhập n VÝ dô : Tính SHIFT x Nhập k =
Câu 3: Có bao nhiêu số nguyên dương gồm 5 chữ số khác 0 và khác nhau ( đôi một) A) 12120 số B) 15120 số C) 20508 số D) 21400 số Đáp án của bạn chính xách - Click chuột để tiếp tục Đáp án của bạn chưa chính xách Click chuột để tiếp tục bạn phải trả lời câu hỏi Ok Ok Làm lại
Câu 4: Có bao nhiêu cách bầu một ban cán sự lớp gồm 3 người , một lớp trưởng, một lớp phó học tập, một lớp phó lao động trong một lớp có 30 học sinh. A) 120 B) 27000 C) 4060 D) 24360 Đáp án của bạn chính xách - Click chuột để tiếp tục bạn phải trả lời câu hỏi Đáp án của bạn chưa chính xách Click chuột để tiếp tục Ok Ok Làm lại
Bài tập : Có 1 tổ HS gồm: An, Bình, Chi, Dũng, Hải. Cô giáo chọn 3 bạn để phân công trực nhật cho nhóm HS trên. a. Hãy kể ra 1 vài cách phân công nếu nhiệm vụ trực nhật gồm 3 công việc: quét lớp, lau bảng và kê bàn ghế, mỗi bạn một công việc b. Hãy kể ra 1 vài cách phân công nếu nhiệm vụ trực nhật 3 bạn làm chung
a. Hãy kể ra 1 vài cách phân công nếu nhiệm vụ trực nhật gồm 3 công việc: quét lớp, lau bảng và kê bàn ghế, mỗi bạn một nhiệm vụ Quét lớp An Lau bảng Bình Kê bàn Chi Bình Chi An b. Hãy kể ra 1 vài cách phân công nếu nhiệm vụ trực nhật 3 bạn làm chung {An, Bình, Chi}; {An, Chi, Dũng} Chọn ra 3 trong 5 bạn và phân công 3 nhiệm vụ, đổi vị trí các bạn cho nhau tạo ra 1 cách mới Không tạo ra cách mới Chỉnh hợp Tổ hợp
III. TỔ HỢP 1. Định nghĩa tổ hợp Giả sử tập A có n phần tử ( ). Mỗi tập con gồm k phần tử của A được gọi là một tổ hợp chập k của n phần tử. Chú ý lại định nghĩa chỉnh hợp Nhắc +) sử tập A có n phần tử ( Giả ). Mỗi cách sắp xếp thứ +) Qui ước: là tổ hợp chậpchỉnh 0 củahợp n phần tự k phần tửTập của rỗng A được gọi là một chậptửk của n phần tử.
1. Định nghĩa 2. Số các tổ hợp Định lí: 2. Số các tổ hợp Kí hiệu: a. Định lí: Chøng minh: Sgk (tr 52) b. VÝ dô: VÝ dô 6 SGK: Mét tæ cã 10 ng êigåm 6 nam vµ 4 n÷. CÇn lËp mét ®oµn ®¹i biÓu gåm 5 ng êi. Hái a) Cã tÊt c¶ bao nhiªu c¸ch lËp b) Cã tÊt c¶ bao nhiªu c¸ch lËp trong ®ã cã 3 nam vµ 2 n÷ c) Có bao nhiêu cách lập trong đó có phân công rõ 1 người làm trưởng đoàn
VÝ dô 6: a) Cã tÊt c¶ bao nhiªu c¸ch lËp Mét tæ cã 10 b) Cã tÊt c¶ bao nhiªu c¸ch lËp trong ®ã cã 3 nam ng êigåm 6 vµ 2 n÷ nam vµ 4 n÷. c) Cã bao nhiªu c¸ch lËp trong ®ã cã 1 tr ëng®oµn CÇn lËp mét Giải: ®oµn ®¹i a) Mçi c¸ch lËp lµ mét tæ hîp chËp 5 cña 10 biÓu gåm 5 V× vËy sè c¸ch lËp ®oµn ®¹i biÓu lµ ng êi. Hái b) Cã c¸ch chän 3 nam tõ 6 nam. Cã c¸ch chän 2 n÷ tõ 4 n÷. Theo qui t¾c nh©n cã 20 x 6=120 c¸ch c) Theo a) sè c¸ch lËp ®oµn ®¹i biÓu lµ Víi mçi c¸ch lËp ®ã, ta chän 1 ng êitrong sè 5 ng êilµm tr ëng®oµn, vËy cã Theo quy t¾c nh©n, cã 252 x 5=1260 c¸ch lËp
Ví dụ 2: 3. Tính chất của các số a. Tính chất 1 Ví dụ 1: b. Tính chất 2 =10 =15 cc tt
Cách dùng máy Nhập n VÝ dô 2 để 570 MS tính bài toán tổ * hợp SHIFT : Nhập k =
Ví dụ 3 (SGK/ 55) Có bao nhiêu cách cắm 3 bông hoa vào 5 lọ khác nhau (mỗi lọ cắm không quá 1 bông) nếu: a. Các bông hoa khác nhau. b. Các bông hoa như nhau. Giải a. Các bông hoa khác nhau. Mỗi cách sắp xếp lại 3 bông hoa vào 3 trong 5 lọ khác nhau ta được kết quả mới nên số cách cắm là (cách) b. Các bông hoa như nhau. Mỗi cách sắp xếp lại 3 bông hoa vào 3 trong 5 lọ khác nhau ta thu được cùng 1 kết quả nên số cách cắm là (cách) cc tt
Cho tËp A gåm n phÇn tö LÊy n phÇn tö cña A s¾p thø tù Ho¸n vÞ Sè ho¸n vÞ Pn = n! LÊy k phÇn tö cña A s¾p thø tù ChØnh hîp chập k cña n Sè chØnh hîp LÊy k phÇn tö cña A (kh «ng quan t©m ®Õn thø tù ) Tæ hîp chËp k cña n Sè tæ hîp
Câu 5: Có bao nhiêu cách tặng 4 quyển sách giống nhau, 3 chiếc bút giống nhau, 2 chiếc cặp giống nhau cho 9 HS (Mỗi HS 1 món quà) A) 2600 cách B) 600 cách C) 1600 cách D) 450 cách Đáp án của bạn chính xách - Click chuột để tiếp tục Đáp án của bạn chưa chính xách Click chuột để tiếp tục bạn phải trả lời câu hỏi Ok Ok Làm lại
Câu 6 : Trong 1 cuộc đua ngựa có 12 con ngựa cùng xuất phát. Hỏi có bao nhiêu khản năng xếp loại 3 con về nhất , nhì, ba. A) 220 B) 36 C) 1320 D) 79833600 Đáp án của bạn chính xách - Click chuột để tiếp tục bạn phải trả lời câu hỏi Đáp án của bạn chưa chính xách Click chuột để tiếp tục Ok Ok Làm lại
Câu 7: Nối các câu ở cột A và B sao cho câu trả lời chính xách nhất A B E Hoán vị A. Lấy K phần tử của A( quan tâm tối thứ tự sắp xếp) B. lấy k phần tử của A ( Không quan tâm tới thứ tự ) C. Lấy k phân tử của A sắp thứ tự D. lấy n phần tử của A không sắp thứ tự C Chỉnh hợp B Tổ hợp E. Lấy n phần tử cưa A sắp thứ tự Đáp án của bạn chính xách - Click chuột để tiếp tục Đáp án của bạn chưa chính xách Click chuột để tiếp tục bạn phải trả lời câu hỏi Ok Ok Làm lại
BẢNG ĐIỂM Điểm em đã đạt được {score} Điểm tối đa {max-score} Số lần làm bài {total-attempts} Tiếp tục Trở lại
Tài liệu tham khảo +)Sgk Đại số &giải tich 11 +)Sách bài tập: Đại số& giải tích 11 +)Các dạng toán và phương pháp giải đại số và giải tich 11 ( Tác giả : Nguyễn hữu Ngọc: Nhà xuất bản giáo dục Việt Nam) +) Google
- Slides: 43