Two countries one goal joint success Antioxidant activities





















- Slides: 21
Two countries, one goal, joint success! Antioxidant activities and reactive oxygen species in flag leaves of Fusarium-inoculated wheat genotypes Szeged – Timişoara axis for the safe food and feed SZETISA 1 HURO/0901/147/2. 2. 2 Reporting period: 01. 06. 2011 – 30. 09. 2011 Ágnes Gallé Department of Plant Biology University of Szeged www. huro-cbc. eu www. hungary-romania-cbc. eu Disclaimer The content of this page does not necessarily represent the official position of the European Union. 2 nd Progress Report Meeting Szeged, 22 -23 September, 2011
Fusarium head blight (FHB) is an important disease of wheat and has worldwide distribution, which results in yield loss and mycotoxin contamination of grain when the disease is caused by a mycotoxin-producing Fusarium species. Fusarium graminearum and F. culmorum are the Fusarium species that most commonly cause FHB of wheat and both can produce trichothecene mycotoxins, predominantly deoxynivalenol (DON, also known as vomitoxin), zearalenone, nivalenol, dideoxynivalenol, 3 -acetyldeoxynivalenol Fusarium graminearum Fusarium culmorum
Vomitoxin, also known as deoxynivalenol (DON), is a type B trichothecene, an epoxy-sesquiterpeoid. When compared to other trichothecene mycotoxins which can form in grains and forages, vomitoxin is relatively mild. Vomitoxin belongs to a class of mycotoxins which are strong protein inhibitors. Inhibition of protein synthesis following exposure to vomitoxin causes the brain to increase its uptake of the amino acid tryptophan and, in turn, its synthesis of serotonin. Increased levels of serotonin are believed to be responsible for the anorexic effects of DON and other tricothecenes. Irritation of the gastrointestinal tract may also play a role in reducing feed intake.
Zearalenone is also a trichothecene mycotoxin, and has estrogen effect, and can cause inflame in the uterus in swine. Nivalenol was shown to inhibit protein synthesis in rabbit reticulocytes in vitro, with an ID 50 of 2. 5 mg/ml, probably by impairment of the ribosomal function. Nivalenol inhibited the synthesis of nucleic acids in vitro (Ueno and Fukushima, 1968). This response appeared at doses much higher than the inhibition of protein synthesis. The mechanism of nucleic acid inhibition is not known.
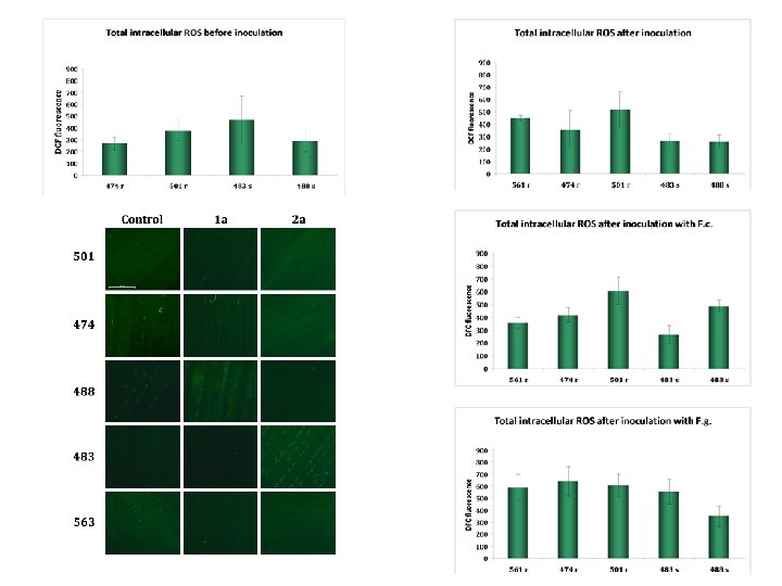
Plant material GK Mini Manó/Nobeokabozu genetic mapping population (Prof. Mesterházy Ákos ) GK Mini Manó Arthur 71 / Sava // Rusalka / NS 171. 2 /3/ F 30. 74 Resistant line to e. g. leaf rust Nobeokabozu: FHB resistant line A recombinant line from China: ‘WSY’, Wangshubai/Sumai 3/Yangangfanzhou inoculation anthesis SAMPLING Premilk stage Before inoculation sampling (ROS and total antioxidant capacity) Milk stage Dough stage
Enzymatic antioxidants
Peroxidases (POX; EC 1. 1. 7) are oxido-reductive enzymes that participate in the wall-building processes such as oxidation of phenols, suberization, and lignification of host plant cells during the defense reaction against pathogenic agents. Accumulation of lignin and phenolic compounds have been correlated with disease resistance in a number of plant–pathogen interactions. These include wheat, tomato and rice. Enhanced POX activity has been correlated with resistance in rice, wheat, barley and sugarcane following the inoculation with phytopathogens. POX activity was rather delayed or remained unchanged during the compatible interaction in susceptible plants. .
Peroxidase specific activity in heads of wheat cultivars. C, non-inoculated control; I, inoculated plants. (F. graminearum)
Some protein families (examples) which were induced during Fusarium infection : Zhou et al 2005 • Proteins with an antioxidant function: superoxide dismutase, dehydroascorbate reductase, and glutathione S-transferases (GSTs) • Expression of proteins with highest similarity to dehydroascorbate reductase and Ta. GSTF 5 (a glutathione Stransferase) differed following FHB infection in susceptible and resistant cultivars.
FUSARIUM CULMORUM Parameter POD SOD KAT GR GST Total ROS Total antioxidant capacity 561 474 501 483 488
FUSARIUM GRAMINEARUM Parameter POD SOD KAT GR GST Total ROS Total antioxidant capacity 561 474 501 483 488
CONTROL Parameter POD SOD KAT GR GST Total ROS Total antioxidant capacity 561 474 501 483 488
Conclusions: The Fusarium inoculation on the ear influenced the hole antioxidant system in the flag leaves of wheat in dough stage! There were differences between the resistant and the sensitive cultivars in POD activity inductions. BUT according our measurements differences were detecable in control circumstances. And the amount of ROS, antioxidant capacity and the GST activity correlated with the resistance.
Thank you for your attention!