TRITE RADA U ZEMLJAMA U TRANZICIJI Ekonomika tranzicije





































- Slides: 37
TRŽIŠTE RADA U ZEMLJAMA U TRANZICIJI Ekonomika tranzicije
TRŽIŠTE RADA • U CPE nije postojalo tržište rada. Država je garantovala posao svima • Tražnja: Proizvodni plan • Nepodudarnost kvalifikacije i posla • Centralno određivanje plata • Obavezno članstvo u sindikatima ali njihova slaba uloga u politici dohodaka • Nepostojanje zvanične nezaposlenosti: ali siva i crna ekonomija i skrivena nezaposlenost
Tržišta rada u tržišnim ekonomijama • Rigidnosti tržišta rada pokazuje stepen regulacije: EPL (Employment Protection Law: racio minimalne zarade prema prosečnim troškovima rada, socijalno i penzijsko osiguranje), ALMP (Active Labour Market Policies: pomoć firmama koje angažuju dugoročno nezaposlene, izdaci za trening. . . ) • Indikator rigidnosti je između 1 (potpuna rigidnost) i 0 (nema rigidnosti): Nemačka (0, 3), UK (0, 43) • Zemlje u tranziciji: najniži za Poljsku (0, 45) i Rusiju (0, 43) a najviši za Belarusiju (0, 64), Mađarsku (0, 57) i Bugarsku (0, 51)
Tržišta rada u tranzicionim ekonomijama • Članstvo u sindikatima veće: CEE (49%) a OECD (40%) • Izdaci za socijalno i penzijsko osiguranje zaposlenih veće kao i porodiljskog odsustvo duže za 75 dana • Minimalna zarada prema prosečnoj zaradi viša u CEE: između 20 i 50 % ali niža u CIS • Nezaposlenost u proseku najviša na svetu (sem Belorusija, Kambodža, Vijetam i Kina) (Jovičić, 2011) (Svet: od 4% Istočna Azija do 10% CEE) • Niska stopa zaposlenosti (68% 1990, 56% 2003 u EU-CEE a 61% u EU-15)
Šok terapija ili gradualna putanja (Jovičić, 2011) • OST: pri optimalnoj brzini uništavanje državnog sektora i realokacije rada u privatni sektor visoka i dugoročna nezaposlenost se ne javlja • Međutim privatizacija je pozitivno korelisana sa naglim gubitkom poslova: Faggio (2007) povećanje učešća privatnog sektora povećava nezaposlenost i negativno utiče na ekonomski rast (niža potrošnja i agregatna tražnja)
U literaturi visoka nezaposlenost (Jovičić, 2011) Usled realokacije rada zbog uvođenja nove tehnologije sa 2 suprotstavljena efekta: 1. Efekat kapitalizacije: povećanje ekonomskog rasta donosi veće kapitalne dobitke usled kreiranja novih poslova i smanjuje nezaposlenost 2. Kreativna destrukcija: povećanje rasta usled napretka tehnologije smanjuje potrebu za nekim poslovima te nezaposlenost raste (ukidanjem radnih mesta i smanjujući potrebu za otvaranje novih)
Tržišta rada u tranzicionim ekonomijama Radna populacija (W): 15 -64 god. Radna snaga (L): broj zaposlenih (E) i nezaposlenih (U) Nezaposlenost: broj registrovanih ili neregistrovanih osoba koje traže posao Stopa nezaposlenosti: u=U/L Stopa zaposlenosti: e=E/W Stopa učešća u radnoj snazi: p=L/W=e/(1 -u) OECD nepopunjena slobodna radna mesta Vacancy rate: udeo registrovanih slobodnih radnih mesta u radnoj snazi
Stopa zaposlenosti Stopa nezaposlenosti EU – 15 prosek 61, 2 8, 7 Nove članice prosek 56, 2 14, 4 Češka 68, 0 7, 5 Estonija 65, 1 10, 1 Mađarska 56, 4 5, 7 Latvija 63, 1 10, 5 Litvanija 62, 0 12, 9 Poljska 51, 1 19, 3 Slovačka 57, 4 17, 4 Slovenija 63, 5 6, 6 Bugarska 52, 5 13, 6 Rumunija 57, 6 6, 6
MERE: 1. Zbog straha od nemira: Poljska i Mađarska prevremeno penzionisanje (1 mil) 2. Zbog niskih doprinosa za nezaposlene mnogi se ni ne registruju 3. Nastaju skrivene rezerve: ljudi koji bi želeli da rade ali ne vide mogućnosti pa se ne registruju u Službi za zapošljavanje i ekonomija u senci 4. Meka budžetska ograničenja u SOE (Rusija, Češka) 5. Emigracija: Estonija više od polovine od 14% ukupno izgubljene populacije 1990 -2004 usled čega opada učešće u radnoj snazi pored rasta nezaposlenosti
Merenje nezaposlenosti • Mera zdravlja privrede ali teško precizno merenje zbog faktora: politički, rad na crno. . . • Rast stope nezaposlenosti i pad stope zaposlenosti ne ilustruju potpuno zatvaranje radnih mesta • Gabrisch i Holscher (2006): bez scheme ranog penzionisanja, registrovanja i emigracije stope nezaposlenosti bi bile znatno veće: npr. Poljska 25% umesto 19%, Estonija 20% umesto 10%.
Period and By enterprise type Country Collective State Annual Creation Destruction 1989 Estonia 0. 37 1. 41 64. 89 1. 06 0. 00 2. 12 1993 Estonia 0. 00 22. 53 59. 96 12. 12 0. 44 13. 56 Private 1997 -2000 Privatised Private State Hungary 4. 70 4. 90 7. 80 3. 30 4. 30 6. 90 Romania 2. 20 10. 10 26. 20 2. 90 1. 30 12. 70 Russia 6. 70 5. 00 13. 50 5. 10 0. 60 4. 80 OECD All 1984 -1991 Creation Destruction France 12. 70 11. 80 Netherlands United Kingdom 8. 20 7. 20 8. 70 6. 60 United States 13. 00 10. 40
Hiring and separation rates By enterprise type Annual Collective Private State Hiring Separation 1989 Estonia 9. 89 10. 93 70. 21 6. 38 8. 6 10. 72 1993 Estonia 15. 06 37. 59 76. 51 28. 68 14. 63 27. 74 1993 Poland 37. 20 34. 80 14. 20 15. 80 1999 Poland By employment size 35. 20 31. 40 14. 00 18. 70 20 -99 100 -400 500+ Annual Hiring Separation 1989 Estonia 14. 09 11. 02 7. 78 11. 01 6. 91 9. 63 1993 Estonia 36. 19 24. 46 18. 60 31. 30 9. 68 29. 04 For OECD countries job creation and destruction rates are annual average rates as a percentage of total employment during 1984 -1991 except for United Kingdom during 1985 -1991. Source: Haltiwanger and Vodopivec (2002) for Estonia, Socha and Weisberg (2002) for Poland, Commander and Köllő (2008) for Hungary, Romania and Russia and Cahuc and Zylberberg (2004) for OECD countries
Beveridge Curve: Matching Efficiency • Makroekonomski sumirani indikator različitih rigidnosti na tržištu rada • Relacija između stope slobodnih radnih mesta (vacancy rate, v) i stope nezaposlenosti (u) • BC je bliža preseku osa što je tržište rada fleksibilnije tj. Kada se zarada prilagođava tako da svaki deo tržišta rada pruža adekvatnu mogućnosti zaposlenja, slobodna radna mesta i smanjuje se nazaposlenost • BC dalja usled EPL (zaštita posla), sistema socijalnog za nezaposlene (utiče na spremnost nezaposlenih da popune slobodno radno mesto), ALMP (pomažu u povezivanju nezaposlenih sa slobodnim radnim mestom), limitirane geografska mobilnost • Pomeranje BC udesno = rast rigidnosti koji utiče na rast U
Beveridge Curve • Matching proces: koliko efikasno radnici nalaze nov posao (centri za zapošljavanje, niža stopa članstva u sindikatima, veća mobilnost) • Stopa učešća u radnoj snazi: ako raste broj onih koji traže posao (obrazovanje, pol, godine, imigracija) • Dugoročna nezaposlenost: negativna percepcija o nezaposlenima od strane poslodavaca • Frikciona nezaposlenost
Empirijski rezultati • Poljska manje rigidnosti 1993 -1998 a 19982001 ne promenjena BC ukazuje na slab uticaj rigidnosti na nezaposlenost • Mađarska značajno pomeranje ulevo • Češka BC pomerena udesno od 1999.
Rast i nezaposlenost • Ako postoji veza znači da stopa nezaposlenosti reaguje na promene u rastu outputa • Znači moguće smanjenje U manje restriktivnom fiskalnom i monetarnom politikom • Zavisna varijabla: razlika stope nezaposlenosti u periodu t u odnosu na prethodni period • Nezavisna varijabla: stopa promene BDP • Znak negativan: rast BDP smanjuje nezaposlenost
Test za Okunov zakon • Koliko je potrebno rasta iznad trenda rasta (baziranog na dugoročnoj produktivnosti i trendu tehnologije) da bi se stopa nezaposlenosti smanjila za 1 procentni poen • Indirektna mera institucionalne sposobnosti ekonomije da upotrebi rast za zaposlenost • Veći koeficijent znači manje institucionalnih prepreka i rigidnosti • Relacija ne važi u ranom period tranzicije zato što je U rezultat institucionalno-političkih promena i makroekonomskih šokova (OST) a kada relacija važi znači da tranzicija više ne igra važnu ulogu u promenama U
Obrazovanje i Tranzicija • Bassanini i Scarpetta (2001): efekat obrazovanja na nivo outputa je oko 6% za svaku dodatnu godinu obrazovanja • Nasledstvo iz pred-tranzionog perioda: relativno nizak nivo obrazovanosti (kvalitet i kvantitet u odnosu na OECD) • U periodu tranzicije radnici s nižim obrazovanjem disproporcionalno više su gubili posao ili im je relativna zarada bila više smanjena • Nove firme i sektori su zatvarali više nego kreirali radna mesta za nisko obrazovane • Za manuelne radnike došlo je do promene zaposlenosti od nisko ka visoko kvalifikovanim • Loši prospekti zaposlenja nisko obrazovanih (nema tražnje)
Obrazovanje i Tranzicija • Nivo produktivnosti je pozitivno povezan sa većim udelom obrazovanih radnika u preduzeću • Izdaci za obrazovanje značajno smanjeni na početku tranzicije • Raspoloživost adekvatnog obrazovanja je nedovoljna i negativno utiče na performanse preduzeća (tzv. Skill imablances: adaptibilnost, tehnologija, obrazovanje)
TRŽIŠTE RADA U SRBIJI
1994 1995 1996 1997 1998 1999 2000 2001 2002 2003 2004 2005 2006 2007 2008 Nominal GDP per capita (in US$) 1367 1562 1308 1220 863 1413 1910 2542 2977 3234 3953 5393 6774 Nominal Monthly Earnings (% change) na na na 48. 2 33. 3 23. 1 91. 1 129. 6 51. 7 25. 3 23. 7 24. 1 24. 4 22. 0 17. 9 Real Monthly Earnings (% change) na na na 26. 9 3. 8 -14. 0 30. 7 38. 5 30. 5 14. 0 14. 2 6. 9 11. 4 15. 3 6. 2 Labour force (end-year) (% change) -2. 3 0. 9 1. 1 -1. 2 -0. 5 -7. 2 -2. 4 1. 8 1. 3 2. 5 -4. 5 2. 2 -1. 1 -6. 1 -2. 0 Employment (end-year) (% change) -2. 4 -0. 9 -0. 4 -1. 8 -8. 6 -2. 6 0. 2 -1. 6 -1. 3 -6. 4 0. 9 -2. 3 -1. 5 -0. 1 Employed in Private Sector (% change) na na na 5. 0 6. 0 4. 0 6. 0 -2. 0 3. 0 11. 0 Employed in Sectors other than Private (% change) na na na -7. 0 -6. 0 -10. 0 -9. 0 -6. 0 -9. 0 Unemployment (end-year) 23. 3 24. 6 25. 7 25. 9 26. 8 27. 9 24. 4 25. 5 27. 6 30. 3 31. 7 32. 4 33. 2 29. 9 28. 5 Privatisation Revenues (cumulative in % GDP) na na na 2. 4 6. 9 7. 7 10. 2 17. 4 20. 2 21. 4 Private Sector Share in GDP (%) na na na na 40 40 45 45 50 55 55 55 60 Share of industry in GDP ( %) 41. 0 40. 1 38. 6 39. 3 39. 7 38. 2 26. 0 27. 2 34. 3 23. 2 22. 8 21. 4 20. 7 Share of agriculture in GDP (%) 31. 4 31. 1 29. 4 19. 0 25. 1 17. 6 17. 2 19. 3 12. 1 13. 3 12. 0 11. 3 9. 8 10. 1 Population end-year, millions 10. 5 10. 6 8. 4 7. 5 7. 5
Tržište rada u Srbiji • 1991 -2000: smanjena zaposlenost za 200. 000 (zaposlenost u državnom i društvenom sektoru smanjena za 500. 000 a privatnom porasla za 300. 000) • Smanjenje BDP veće od smanjenja zaposlenosti (skrivena nezaposlenost oko trećine ukupno zaposlenih u DDS) • Trajanje nezaposlenost veoma duga: 47, 2 meseca u proseku: znači nezaposlenost dugoročna i permanentna • Siva ekonomija: 2, 3 miliona ljudi a polovina njih imaju posao u formalnom sektoru (pokazatelj niskih zarada). Zarada/h u sivom sektoru za 50% viša nego u formalnom sektoru
Zakon o radu 2001 • Povećao fleksibilnost tržišta rada (radi privlačenja investitora) • Smanjenje opterećenja zarada porezima i kontribucijama (radi rasta zaposlenosti i smanjenja sive ekonomije) • ALMP radi podsticaja novog zapošljavanja • Velikodušni socijalni program za one koji izgube posao ili dobrovoljno napuste
Privatizacija i smanjenje radne snage • Zaustavljanje rasta nezaposlenosti i zaštita radnih mesta važan cilj • Ugovori sa investitorima da se garantuje održavanje određenog nivoa zaposlenosti u datom periodu ili isplata otpremine (oko 200 EUR po godini staža) uz nadoknadu (niža cena preduzeća ili subvencije) • Philip Morris kupio DIN 2004. od 2400 zaposlenih 1650 prihvatilo da ode: trošak $100 mil (prosečno $65. 000 po zaposlenom isplaćeno) !? • Tranzicioni fond: država za restrukturiranje platila onima koji su ostali bez posla oko 100 EUR po godini staža: 2002. 7 biliona a 2005. 5 biliona dinara potrošeno iz budžeta sa ovu svrhu (priv. )
Zakon o radu 2005 • Cilj da se na račun poslodavca poboljša pozicija zaposlenih: • Godišnji odmor sa 218 na 220 dana • Plaćeno odsustvo sa 5 na 7 dana • Otpremnina povećana na 1/3 godišnjih plata tokom perioda zaposlenosti • Privremena zaposlenost smanjena sa 3 na 1. g. • Isplata penzionog iznosa od minumuma 3 prosečne plate
Nezaposlenost u Srbiji (Jovičić, 2011) • Od 2001 u toku procesa privatizacije stalno smanjenje broja radnih mesta koje nije kompenzirano samozapošljavanjem pa je broj zaposlenih 2001 -2009. smanjen za više od 10% • Stopa nezaposlenosti 19, 2% 2010: Srbija posle BIH i Makedonije zemlja sa najvišom stopom nezaposlenosti u Evropi: ARS za 2 godine (20082010) izgubljeno 400. 000 radnih mesta: U Srbiji u proseku svakog meseca bez posla ostane grad veličine Loznice
Nezaposlenost (Jovičić, 2011) • Rast ekonomske aktivnosti pre krize anuliran a destrukcija radnih mesta nije kreativna jer ne vodi do povećanja rasta usled napretka tehnologije već je povećanje nezaposlenosti praćeno padom proizvodnje i promenom strukture ekonomije (rast sektora usluga a u materijalnoj proizvodnji rast udela manjih preduzeća) • 2008 -2010 promena kvalifikacione strukture zaposlenih: NKV (91), KV (80), PKV (84), VKV (87), visoka školska sprema (105)
Promene u strukturi zaposlenosti: Muškarci
Promene u strukturi zaposlenosti: Žene
Changes in employment composition by occupation and sector for men Changes in sector employment composition by occupation and sector for women
Real hourly earnings percentiles for male employees in public and private sectors in Serbia, 1995 -2008
Real hourly earnings percentiles for female employees in public and private sectors in Serbia, 1995 -2008
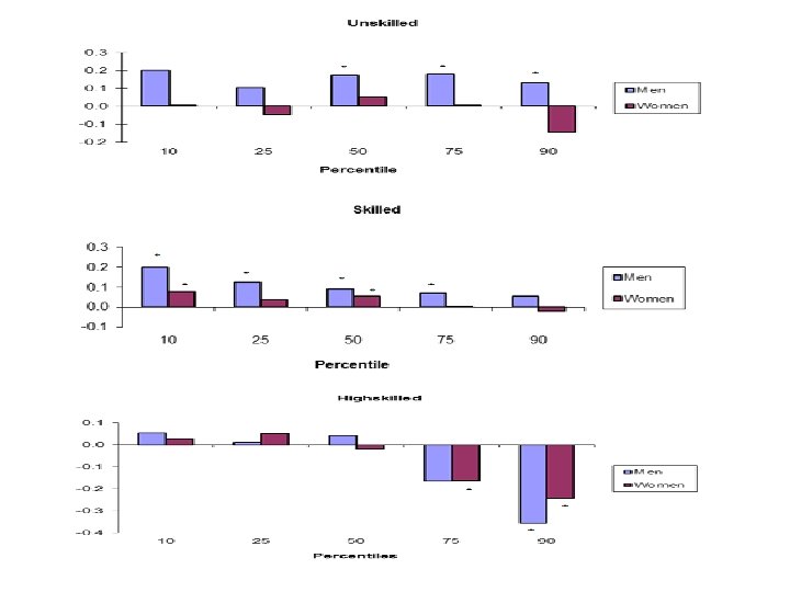
Public sector pay relative to private sector pay: conditional and unconditional differences in hourly pay for men in period 1995 -2008 with 95% confidence interval
Public sector pay relative to private sector pay: conditional and unconditional differences in hourly pay for women in period 1995 -2008 with 95% confidence interval